Julia-olefinering
De Julia-olefinering (ook bekend als de Julia–Lythgoe-olefinering of de Julia-koppeling) is de chemische reactie van fenylsulfonen (1) met aldehyden (of ketonen) tot alkenen (3) na alcohol-functionalisering en reductieve eliminatie met natriumamalgaam[1][2] of samarium(II)jodide.[3] De reactie is vernoemd naar de Franse chemicus Marc Julia.

Deze transformatie heeft een sterke voorkeur voor het trans-alkeen.
Alle stappen kunnen worden uitgevoerd in een enkel reactievat, en gebruik van R3X is optioneel. Zuivering van sulfonintermediair 2 leidt echter tot een hogere opbrengst en zuiverheid. R3 is over het algemeen acetyl or benzoyl, en azijnzuuranhydride of benzoylchloride wordt gebruikt voor het maken van 2. Diverse reviews zijn uitgebracht over deze reactie. Several reviews have been published[4][5]
Reactiemechanisme
De eerste stappen zijn eenvoudig. Het fenylsulfonanion (2) reageert met een aldehyde en vormt alkoxide 3. Dit alkoxide wordt gefunctionaliseerd met R3-X en geeft het stabiele intermediair 4. Het exacte mechanisme van de natriumamalgaam-reductie is niet bekend maar het is aangetoond dat dit verloopt via vinylradicaal 5[3]. Protonering van het vinylradicaal geeft het gewenste product 6.

De stereochemie van het alkeen (6) is onafhankelijk van de stereochemie van sulfonintermediair 4. Er wordt gedacht dat de radicaalintermediairen in evenwicht zijn zodat het thermodynamisch gunstige trans-alkeen het meest wordt gevormd.
Variaties
Heteroarylsulfonen
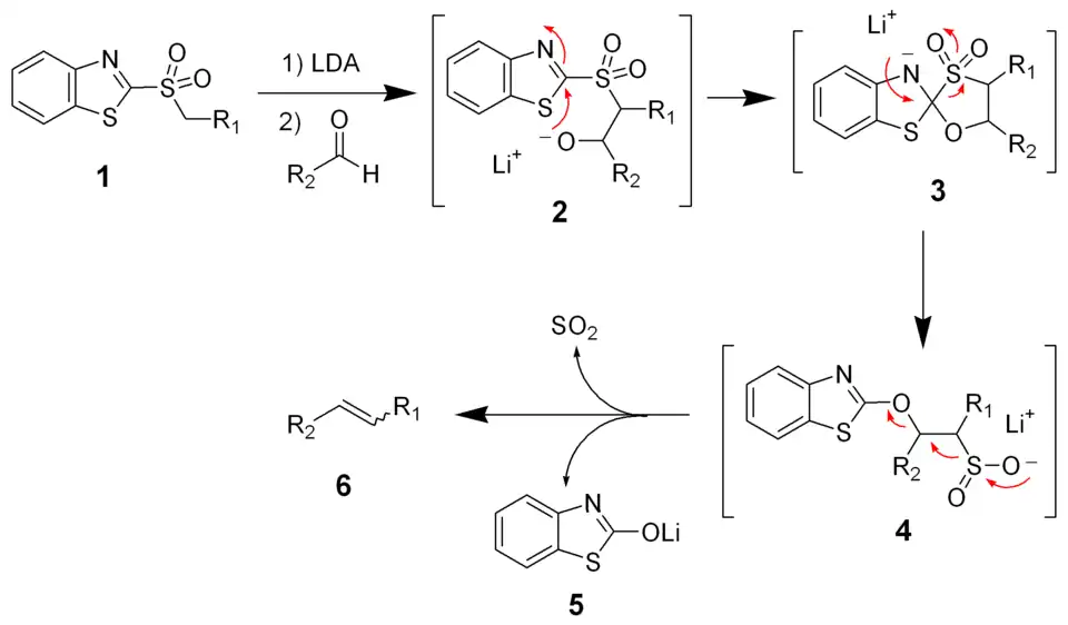
Het vervangen van fenylsulfonen door heteroarylsulfonen verandert het reactiemechanisme aanzienlijk[6]. Het populairste voorbeeld is met benzothiazoolsulfon[7]. De reactie van het benzothiazoolsulfon (1) met lithiumdi-isopropylamide (LDA) geeft een gemetalleerd benzothiazolylsulfon, wat snel reageert met aldehyden (of ketonen) om zo alkoxide-intermediairen te geven (2). In tegenstelling tot fenylsulfonen is dit intermediair instabiel en ondergaat het een Smiles-omlegging[8] om zo sulfinaatzout 4 te vormen. Het sulfinaatzout elimineert spontaan zwaveldioxide en lithiumbenzothiazolon (5) en vormt daarbij het gewenste alkeen (6).

Aangezien deze variant van de Julia-olefinering geen intermediairen in evenwicht bevat is de uiteindelijke stereochemie afhankelijk van de stereochemie van de carbonyladditie. Als gevolg vormt deze reactie vaak een mengsel van alkeenstereoisomeren.
Julia-Kocienski-olefinering
In de Julia-Kocienski-olefinering[9] is een tetrazool het alkylerende reagens. Het volgt hetzelfde mechanisme als in de benzothiazool-variant. In een voorbeeld[10] met t-butyltetrazoylmethylsulfon wordt ofwel natriumbis(trimethylsilyl)amide bij -70°C in tetrahydrofuraan ofwel cesiumcarbonaat bij +70°C gebruikt.

Zie ook
- Horner-Wadsworth-Emmons-reactie
- Johnson-olefinering
- Peterson-olefinering
- Wittig-reactie
- ↑ Julia, M.; Paris, J.-M. Tetrahedron Lett. 1973, 14, 4833-4836. (DOI:10.1016/S0040-4039(01)87348-2)
- ↑ Kocienski, P. J.; Lythgoe, B.; Ruston, S. J. Chem. Soc., Perkin Trans. 1 1978, 829.
- ↑ a b Keck, G. E.; Savin, K. A.; Weglarz, M. A. J. Org. Chem. 1995, 60, 3194-3204. (DOI:10.1021/jo00115a041)
- ↑ Kocienski, P. J. Phosphorus and Sulfur 1985, 24, 97-127. (Review)
- ↑ Kelly, S. E. Comp. Org. Syn. 1991, 1, 792-806. (Review)
- ↑ Blakemore, P. R. J. Chem. Soc., Perkin Trans. 1 2002, 2563–2585. (Review)
- ↑ Baudin, J. B.; Hareau, G.; Julia, S. A.; Ruel, O. Tetrahedron Lett. 1991, 32, 1175. (DOI:10.1016/S0040-4039(00)92037-9)
- ↑ Truce, W. E.; Kreider, E. M.; Brand, W. W. Org. React. 1970, 18, 99. (Review)
- ↑ Paul R. Blakemore, William J. Cole, Philip J. Kocieński, Andrew Morley Synlett 1998, 26-28. (DOI:10.1055/s-1998-1570)
- ↑ Christophe Aïssa J. Org. Chem. 2006, 71, 360 - 363. (DOI:10.1021/jo051693a)