Tetrazool
| Tetrazool | ||||
|---|---|---|---|---|
| Structuurformule en molecuulmodel | ||||
| ||||
Structuurformule van tetrazool
| ||||
| Algemeen | ||||
| Molecuulformule | CH2N4 | |||
| IUPAC-naam | 1,2,3,4-tetrazool | |||
| Andere namen | tetra-azacyclopentadieen | |||
| Molmassa | 70,05338 g/mol | |||
| SMILES | C1=NNN=N1
| |||
| InChI | 1S/CH2N4/c1-2-4-5-3-1/h1H,(H,2,3,4,5)
| |||
| CAS-nummer | 288-94-8 | |||
| EG-nummer | 206-023-4 | |||
| PubChem | 67519 | |||
| Wikidata | Q58826308 | |||
| Beschrijving | Kleurloze kristallen | |||
| Waarschuwingen en veiligheidsmaatregelen | ||||
| ||||
| H-zinnen | H225 - H302 - H319 - H332 | |||
| EUH-zinnen | geen | |||
| P-zinnen | P210 - P305+P351+P338 | |||
| Fysische eigenschappen | ||||
| Aggregatietoestand | vast | |||
| Kleur | kleurloos | |||
| Dichtheid | 1,477 g/cm³ | |||
| Smeltpunt | 157-158 °C | |||
| Kookpunt | 220 °C | |||
| Matig oplosbaar in | water, ethanol | |||
| Slecht oplosbaar in | di-ethylether | |||
| Evenwichtsconstante(n) | pKa = 4,9 | |||
| Tenzij anders vermeld zijn standaardomstandigheden gebruikt (298,15 K of 25 °C, 1 bar). | ||||
| ||||
Tetrazool is een heterocyclische organische verbinding met als brutoformule CH2N4. Het komt voor als kleurloze kristallen, die matig oplosbaar zijn in water en ethanol. Er bestaan 3 isomeren van tetrazool, maar het evenwicht ligt voornamelijk naar de kant van de twee tautomeren (1 en 2):

Isomeren van tetrazool
Het neutrale molecuul vertoont geen bijgevoegde aromatische stabiliteit echter het tetrazolyl-anion is dat wel door het vrijkomen van een elektronenpaar verandert het stikstofatoom van sp3 hybridisatietoestand, naar sp2, hierdoor komt een p-orbitaal beschikbaar dat overlapping met het andere pi-systeem mogelijk maakt. Het aantal pi-elektronen komt dan op 6, hierdoor voldoet het systeem aan de regel van Hückel.
Synthese
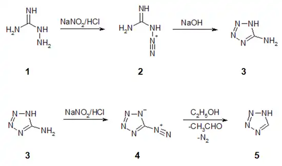
Tetrazool kan bereid worden uit reactie van hydrazinecarboximidamide (1) met natriumnitriet in zoutzuur. Hierbij wordt een zout (2) gevormd, dat onder invloed van natriumhydroxide cycliseert tot 5-aminotetrazool (3). Dit is een uiterst explosieve verbinding, waardoor de synthese onder inerte atmosfeer en bij lage temperatuur moet geschieden. Dit 5-aminotetrazool wordt opnieuw behandeld met een mengsel van natriumnitriet en zoutzuur, wat tot de vorming van een zout (4) leidt. Behandeling van dit zout met ethanol leidt tot vorming van tetrazool (5) en stikstofgas.

Synthese van tetrazool
Toepassingen
De zouten van tetrazool spelen een belangrijke rol in de biochemie. Tetrazool zelf wordt in de farmacie verwerkt in bepaalde geneesmiddelen, zoals bijvoorbeeld losartan, pentetrazol en valsartan.


