Wittig-reactie
De wittig-reactie is een chemische reactie van een aldehyde of een keton met een trifenyl-fosforylide (wittig-reagens). Een groot probleem van het gebruik van eliminatiereacties voor het verkrijgen van alkenen is dat er vaak mengsels van alkenen worden verkregen, wat resulteert in relatief lagere opbrengsten en in scheidingsproblemen. De wittig-reactie is een alternatieve methode voor de synthese van alkenen. Hij is in 1954 ontdekt door de Duitse scheikundige Georg Wittig, die in 1979 voor deze ontdekking de Nobelprijs voor de Scheikunde kreeg. Het nucleofiel dat feitelijk wordt gebruikt in deze reactie wordt een ylide genoemd. Het is een carbanion dat is gebonden aan een positief geladen fosforgroep (trifenylfosfine) dat het negatief geladen koolstofatoom stabiliseert.

Het verkrijgen van het ylide
Het ylide wordt verkregen door trifenylalkylfosfonium-zout te deprotoneren met een sterke base, gebruikelijk een organometaal-achtige base zoals butyllithium of fenyllithium. De waterstofatomen van het koolstof dat direct aan het fosforatoom van het trifenylfosfine zit zijn enigszins zuur waardoor er een proton kan worden geabstraheerd wat resulteert in de vorming van het ylide.
De additie van yliden
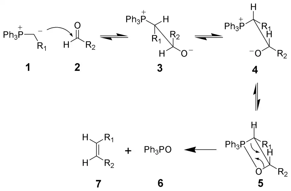
De reactie van het ylide met het aldehyde of keton resulteert in de vorming van een alkeen met de dubbele binding verbonden aan de carbonyl-koolstof. Het bijproduct van deze reactie is trifenylfosfineoxide. Het ylide is een sterk nucleofiel, daarom ligt het evenwicht sterk in de richting van de producten en is de reactie irreversibel. Het mechanisme van de reactie is als volgt: het nucleofiel (de negatieve koolstof van het ylide) valt aan op de partieel positieve koolstof van het aldehyde of keton. Het fosfor reageert als lewiszuur en bindt aan de basische zuurstof, wat resulteert in de vorming van een oxafosfetaan. Het oxafosfetaan is een onstabiele vierring die uiteenvalt in het product en trifenylfosfineoxide.

- 1= Ylide
- 2= Aldehyde of keton
- 3= Na nucleofiele additie verkrijgt men het betaïne
- 4= Rotatie van de koolstof-koolstofbinding
- 5= Oxafosfetaan
- 6= Trifenylfosfineoxide
- 7= Z-alkeen
Toepassingen wittig-reactie
Wittig-reacties worden veel gebruikt in de productie van vitamines (vitamine A en vitamine D), carotenoïdes (beta-caroteen), farmaceutische stoffen en antibiotica.