Disacharide

Disachariden zijn relatief eenvoudige koolhydraten, die worden gevormd door de condensatiereactie tussen twee monosachariden, bijvoorbeeld twee glucose-moleculen die samen een maltose-molecuul vormen, of een glucose- en een fructosemolecuul waaruit een sacharose-molecuul ontstaat. De gevormde binding is een voorbeeld van een glycosidische binding. Disachariden zijn, net als monosachariden, oplosbaar in water.
Nadere bepaling


Het specifieke chemische karakter van een disacharide (dimeer) hangt af van de identiteit van de deelnemende monomere suikers, van de specifieke binding tussen de koolstofatomen, en van de vraag welke zuurstofatomen van de twee eenheden bij de condensatiereactie betrokken zijn. De binding wordt aangeduid met twee cijfers tussen 1 en 6, die aangeven welke twee koolstofatomen met elkaar verbonden zijn. Wanneer het koolstofatoom op positie 1 betrokken is bij de binding zijn er twee configuraties mogelijk: α en β. Bij monosacharides opgelost in water kunnen de α en β configuratie in elkaar overgaan en vormen ze een evenwicht met elkaar, maar wanneer de 1-positie deel is van een glycosidebinding, is de α- of β-configuratie gefixeerd.
Disachariden met een hemiacetaal zijn reducerende suikers: hun reducerend vermogen is groot genoeg om koper in de vorm van Cu2+ tot Cu1+ te reduceren. Niet-reducerende suikers zijn stabieler dan reducerende suikers.
Soorten disachariden
Dit betreft alleen de hexosen die belangrijk zijn voor de mens. Ze hebben allemaal dezelfde brutoformule: C6(H2O)6. De lineaire structuur bepaalt de naam (Glucose, Fructose, Galactose), maar elk molecuul kan verschillende ringvormige structuren aannemen die bepalend zijn voor de binding die ze met andere monosachariden aangaan.
Glucose-glucose
- Maltose (moutsuiker): glucose α(1→4) glucose. Maltose is een reducerende suiker. Maltose is een dimeer dat kan ontstaan bij de afbraak van zetmeel: het heeft dezelfde glycosidische binding. Vrijwel alle organismen kunnen maltose afbreken met het enzym maltase.
- Cellobiose: glucose β(1→4) glucose. Cellobiose is een reducerende suiker. Cellobiose is een dimeer dat kan ontstaan bij de afbraak van cellulose. Het menselijk lichaam heeft geen enzym dat geschikt is om cellobiose af te breken.
- Gentiobiose: glucose β(1→6) glucose.
- Trehalose: glucose α,α(1→1) glucose. Trehalose is een niet-reducerende suiker. Trehalose komt voor in gist, paddenstoelen en ook in kleine hoeveelheden in planten en dieren. Het is zeer stabiel. Het beschermt eiwitten tegen beschadiging door bevriezing en uitdroging.
Glucose-fructose

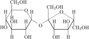
- sacharose (rietsuiker, bietsuiker): glucose α(1→2) fructose. Sacharose is niet-reducerend; daardoor is het weinig hygroscopisch (vocht-aantrekkend) en gemakkelijk te bewaren. Het is wereldwijd het meest gebruikte zoetmiddel. Bij het weergeven van de relatieve zoetkracht van zoetstoffen wordt deze stof vaak als norm gebruikt. Het komt van nature voor in bijna alle fruit (appels, mango's, nectarines, blauwe bessen) en sommige groenten (wortelen, ui). Daarnaast zit het van nature veel in suikerriet en heeft men vanuit de voederbiet de suikerbiet gekweekt, wat die gewassen geschikt maakt voor de productie van suiker. Vrijwel alle organismen kunnen sacharose afbreken met sacharase of invertase.
Glucose-galactose
- Lactose (melksuiker): galactose β(1→4) glucose. Lactose is reducerend en zwak zoet (het heeft ongeveer 35% van de zoetkracht van sacharose). Lactose komt van nature alleen in melkproducten voor. Het kan worden afgebroken door het enzym lactase. Mensen die geen of onvoldoende lactase produceren zijn daardoor lactose-intolerant.
Andere disachariden
Galactose-glucose
Dit disacharide kan synthetisch geproduceerd worden.
Fructose-fructose
Er komen twee vormen voor in de natuur waarbij 2 fructose moleculen aan elkaar gekoppeld zijn. Deze zijn op twee plaatsen met elkaar gekoppeld, waarbij er dus een extra watermolecuul vrijkomt, vandaar de toevoeging anhydride:
- Difructose anhydride III
- Difructose anhydride IV
Galactose-galactose
Bij padden komt in de eicellen een binding tussen 2 galactose moleculen voor. Hierbij is het zuurstof atoom in de binding echter gesubstitueerd door een zwavel atoom, vandaar de naam:
- Thio-digalactose
Opmerkingen
Thio-digalactose is in principe geen koolhydraat omdat het niet aan de algemene formule Cn(H2O)m voldoet. Toch wordt het tot de disachariden gerekend door het voorvoegsel "thio" gevolgd door de suikernaam. In analogie met ribose (in RNA) een suiker, en desoxeribose (in DNA), wat tot de suikers gerekend wordt ondanks dat er een zuurstofatoom verwijderd is.