Glycosidische binding

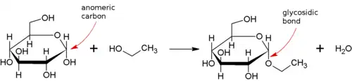
Een glycosidische binding of glycosidebinding is een covalente binding tussen een koolhydraat (suiker) en een andere molecuul, al of niet een ander koolhydraat. Een glycosidische binding wordt gevormd tussen de hemiacetaal- of hemiketaalgroep van een koolhydraat (of een molecuul afgeleid van een koolhydraat) en de hydroxylgroep van een verbinding zoals een alcohol. Een stof die een glycosidebinding bevat, wordt een glycoside genoemd.
Glycosidebindingen in de hierboven besproken vorm staan bekend als O-glycosidische bindingen, verwijzend naar de glycosidische zuurstof die het glycoside verbindt met de aglycon of reducerende eindsuiker. Naar analogie beschouwt men ook S-glycosidische bindingen, waarbij de zuurstof van de glycosidebinding is vervangen door een zwavelatoom. Op dezelfde manier bestaan er ook N-glycosidebindingen. Stoffen die N-glycosidebindingen bevatten, worden ook wel glycosylamines genoemd. Al deze gemodificeerde glycosidebindingen hebben een verschillende vatbaarheden voor hydrolyse.
O-glycosidische bindingen zijn onontbeerlijk voor de polymerisatie van monosachariden tot polymeren. De N-glycosidische binding is aanwezig in de bouwstenen van RNA en DNA of in vrije nucleotiden. De oriëntatie van een glycosidische binding kan α of β zijn.[1]
Zie ook
- ↑ Schuit, F.C (2000). Medische biochemie. Bohn Stafleu Van Loghum, Houten, pp. 176. ISBN 9031330205.