Zuuranhydride
Een zuuranhydride is in de scheikunde een verbinding die, in principe, ontstaan is door water aan een zuur te onttrekken. Een zuur is een stof die kan afstaan.[noot 1] Deze waterstof-ionen zijn vaak gekoppeld aan een zuurstof-atoom. Door van een zuur-molecuul een waterstof-ion te gebruiken en van een ander de OH-groep kan water gevormd worden. De resterende molecuuldelen hebben vervolgens beide een bindingsplaats "over", waarmee ze met elkaar koppelen.
Carbonzuuranhydrides
De vorming van carbonzuren tot carbonzuuranhydrides, met azijnzuuranhydride als voorbeeld heeft de volgende reactievergelijking:
![]() |
De reactie waarin het zuuranhydride gemaakt wordt is een evenwichtsreactie die door het verwijderen van het gevormde water naar het anhydride gedwongen wordt. Deze reactie is endotherm en verloopt alleen naar het gewenste product door het verwijderen van het gevormde water. Industrieel worden de anhydrides meestal vanuit andere uitgangsstoffen bereid. De reactie verloopt de andere kant op, naar het zuur, als water wordt toegevoegd, in een exotherm proces.
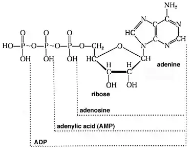
Fosforzuuranhydrides

Deze reactie beperkt zich niet tot de vorming van Carbonzuuranhydrides. In de biologie zijn ADP en ATP een bekend voorbeeld van zuurahydrides, nu op basis van fosforzuur. Het energieverschil tussen ATP en ADP wordt door cellen gebruikt om hun levensprocessen op gang te houden. Ook van de andere leden van de stikstofgroep, behalve stikstof zelf, zijn pyro-verbindingen bekend.
Noot
- ↑ Hier beperkt het begrip zuur zich tot de definitie van Brønsted, Lewiszuren blijven buiten beschouwing.
