Natuurproduct (scheikunde)


Een natuurproduct in de strikt scheikundige betekenis van het woord is een chemische stof die voorkomt in de natuur, geproduceerd wordt door een organisme en als zuivere stof geïsoleerd en gekarakteriseerd kan worden.[2] Het begrip hangt nauw samen met het concept biomolecuul.[a]
In een organisch-chemische context wordt het begrip gehanteerd om te duiden op gezuiverde en relatief kleine organische verbindingen (met een moleculaire massa lager dan 1500 g/mol) die geïsoleerd zijn uit natuurlijke bronnen en zelf het resultaat zijn van biochemische syntheseroutes uit het primaire of secundaire metabolisme van het organisme . Natuurproducten worden daarom ook wel ruwweg ingedeeld in primaire en secundaire metabolieten. Binnen een medicinaal-chemische context wordt de definiëring van natuurproducten meestal vernauwd tot de secundaire metabolieten. Secundaire metabolieten zijn stoffen die niet essentieel zijn voor het overleven van het organisme, maar het organisme toch een zeker evolutionair voordeel geboden hebben.[3][b]
Een groot aantal natuurproducten bezit interessante farmacologische of biologische eigenschappen, die ingezet kunnen worden bij de behandeling van uiteenlopende aandoeningen. Daarom worden natuurproducten vaak aangewend als leidverbinding (lead compound, of kortweg lead) bij de zoektocht naar nieuwe geneesmiddelen.[5] De organische synthese speelt in het proces van optimalisatie een belangrijke rol, omdat zij toelaat nieuwe analoga (stoffen met een gemodificeerde structuur en vaak met een verbeterd activiteitsprofiel) van het oorspronkelijke natuurproduct te synthetiseren. Ook computationele technieken, zoals de computationele chemie en de moleculaire modellering, helpen bij het zoeken naar die modificaties van natuurproducten die een verhoogde activiteit kunnen opleveren.[6] Natuurproducten en synthetische derivaten hebben hun weg gevonden in toepassingen als chemisch bestrijdingsmiddel, als kleurstof en in de cosmetica.
Verder spelen natuurproducten een belangrijke rol in de totaalsynthese. Nieuwe natuurproducten bezitten vaak een bijzonder ingewikkelde of innoverende moleculaire architectuur, hetgeen een uitdaging vormt voor de organische synthese als wetenschappelijk onderzoeksdomein. Diverse Nobelprijzen werden uitgereikt aan wetenschappers die zich door de natuur lieten inspireren om vernieuwende synthesemethoden te ontwikkelen. Noemenswaardig in dit verband zijn Robert Burns Woodward (1965) en Elias James Corey (1990).[7]
Geschiedenis





Grondslagen van de organische en de natuurproductchemie
Het begrip natuurproduct stamt uit het begin van de 19e eeuw, toen de grondslagen van de organische chemie werden gelegd. De organische chemie werd op dat moment beschouwd als de chemie van de stoffen waaruit planten en dieren zijn opgebouwd. De organische chemie was een relatief complexe vorm van chemie en stond in schril contrast met de anorganische chemie, waarvan de eenduidige basisprincipes in 1789 door de Fransman Antoine Lavoisier nauwkeurig waren vastgelegd in zijn werk Traité élémentaire de chimie.[8]
Isolatie van natuurproducten
Lavoisier toonde aan het einde van de 18e eeuw aan dat organische stoffen bestonden uit een beperkt aantal elementen: in hoofdzaak koolstof en waterstof, aangevuld met zuurstof en stikstof. Men ging zich snel toeleggen op de isolatie van deze stoffen, vaak omdat zij een interessante farmacologische werking bezaten. Aangezien planten de belangrijkste bron van dergelijke verbindingen waren, werden vooral alkaloïden en glycosiden geïsoleerd. Zo was het immers reeds lang bekend dat opium, een kleverig mengsel van alkaloïden (waaronder codeïne, morfine, noscapine, thebaïne en papaverine) uit de bolpapaver (Papaver somniferum), een verdovende en tegelijkertijd geestverruimende werking bezat. Reeds in 1805 werd morfine door de Duitse apotheker Friedrich Sertürner geïsoleerd en in de jaren 70 van de 19e eeuw werd ontdekt dat het koken van morfine met azijnzuuranhydride een stof opleverde met een sterke pijnonderdrukkende werking: heroïne.[9] In 1815 isoleerde Eugène Chevreul uit dierlijk weefsel cholesterol, een kristallijne stof die behoort tot de klasse der steroïden, en in 1820 werd strychnine, een alkaloïde, geïsoleerd.
Synthese van natuurproducten
Een tweede belangrijke stap, naast de isolatie, vormde de synthese van organische verbindingen. Daar waar de synthese van anorganische stoffen reeds lange tijd bekend was (vermeldenswaardig is de productie van zwavelzuur, salpeterzuur, waterstofchloride, magnesiumsulfaat, calciumchloride en natriumhydroxide), bleek de synthese van organische stoffen een moeilijke horde te zijn. In 1827 stelde de Zweedse scheikundige Jöns Jacob Berzelius dat voor de synthese van organische stoffen een onontbeerlijke natuurkracht, de zogenaamde vis vitalis of levenskracht, nodig was. Dit filosofisch idee, het vitalisme, had tot ver in de 19e eeuw veel aanhangers, zelfs na de introductie van de atoomtheorie (die echter ook zijn wortels vindt in een filosofische strekking, namelijk het atomisme). Het vitalisme-idee sloot vooral aan bij opvattingen in de geneeskunde: de meeste traditionele genezingspraktijken gingen ervan uit dat ziekte het resultaat was van één of andere onevenwichtigheid in de essentiële energieën die het leven van het niet-leven onderscheidt. Een eerste poging om het vitalisme-idee in de wetenschap te doorbreken werd gedaan in 1828, toen de Duitse scheikundige Friedrich Wöhler erin slaagde ureum, een natuurproduct dat wordt aangetroffen in urine, te bereiden door het verhitten van ammoniumcyanaat, een anorganische stof:[10]
Met deze reactie toonde Wöhler aan dat er geen levenskracht nodig was om organische stoffen te bereiden. Dit idee werd echter zeer sceptisch onthaald en pas 20 jaar later, met de synthese van azijnzuur door Hermann Kolbe uit koolstofdisulfide, aanvaard. De organische chemie ontwikkelde zich vanaf dat moment tot een zelfstandig onderzoeksgebied dat zich toelegt op de studie van koolstofhoudende verbindingen, aangezien dat element als gemeenschappelijk werd aangetroffen in diverse uit de natuur afgeleide stoffen. Een belangrijke factor hierin was de karakterisatie van organische stoffen aan de hand van hun fysische eigenschappen (smeltpunt, kookpunt, oplosbaarheid, kristalliniteit, kleur, ...).
Structuurtheorieën
Een derde stap was de structuuropheldering van organische stoffen: hoewel de elementaire samenstelling van zuivere organische stoffen (of zij nu van natuurlijke of synthetische oorsprong waren) vrij accuraat kon worden bepaald, stelde de moleculaire structuur nog een probleem. De drang om aan structuuropheldering te doen volgde uit een dispuut tussen Friedrich Wöhler en Justus von Liebig, die beiden een zout van zilver bestudeerden dat dezelfde samenstelling maar verschillende eigenschappen had. Wöhler bestudeerde zilvercyanaat, een ongevaarlijke stof, terwijl von Liebig zilverfulminaat onderzocht, een zout dat explosieve eigenschappen bezit.[11] De elementenanalyse wijst uit dat beide zouten uit gelijke hoeveelheden zilver, koolstof, zuurstof en stikstof bestaan. Volgens de toen gangbare ideeën moesten beide stoffen dus ook dezelfde eigenschappen bezitten, hetgeen echter niet het geval was. Uiteindelijk werd door Berzelius het begrip isomeer ingevoerd, waarbij niet alleen het aantal en het type elementen van belang is voor de eigenschappen en de chemische reactiviteit, maar ook de plaats van atomen in een verbinding. Dit vormde een directe aanleiding voor de ontwikkeling van structuurtheorieën, zoals de radicaaltheorie van Jean-Baptiste Dumas en de substitutietheorie van Auguste Laurent.[12] Het duurde echter tot 1858 voordat door Friedrich Kekulé een definitieve structuurtheorie werd geformuleerd. Hij poneerde dat koolstof tetravalent is en met zichzelf kan binden tot koolstofketens, zoals zij ook voorkomen in natuurproducten.[13]
Verruiming van het begrip
Het begrip natuurproduct, dat aanvankelijk sloeg op organische verbindingen die uit planten konden worden geïsoleerd, werd tegen het midden van de 19e eeuw door de Duitser Justus von Liebig uitgebreid tot dierlijke stoffen. Hermann Emil Fischer richtte vanaf 1884 zijn aandacht op de studie van koolhydraten en purinen, werk waarvoor hij in 1902 de Nobelprijs kreeg toegekend. Hij slaagde er ook in diverse koolhydraten, waaronder glucose en mannose, op synthetische wijze in het laboratorium te maken. Na de ontdekking van penicilline door Alexander Fleming in 1928 werden ook schimmels en andere micro-organismen toegevoegd aan het arsenaal van bronnen van natuurproducten.[9]
Mijlpalen
Tegen de jaren 30 van de 20e eeuw waren reeds enkele grote klassen van natuurproducten bekend. Belangrijke mijlpalen waren:
- Terpenen, voor het eerst systematisch bestudeerd door Otto Wallach (Nobelprijs 1910), later door Lavoslav Ružička (Nobelprijs 1939)
- Kleurstoffen gebaseerd op porfine (chlorofyl en heemverbindingen), bestudeerd door Richard Willstätter (Nobelprijs 1915) en Hans Fischer (Nobelprijs 1930)
- Steroïden, bestudeerd door Heinrich Otto Wieland (Nobelprijs 1927) en Adolf Windaus (Nobelprijs 1928)
- Carotenoïden, bestudeerd door Paul Karrer (Nobelprijs 1937)
- Vitaminen, bestudeerd door onder anderen Paul Karrer, Adolf Windaus, Robert R. Williams, Walter Haworth (Nobelprijs 1937), Richard Kuhn (Nobelprijs 1938) en Albert Szent-Györgyi
- Hormonen, bestudeerd door Adolf Butenandt (Nobelprijs 1939) en Edward Calvin Kendall (Nobelprijs 1950)
- Alkaloïden en anthocyanen, bestudeerd door onder anderen Robert Robinson (Nobelprijs 1947)
Technische vooruitgang
Het onderzoek naar de chemie van natuurproducten (voorkomen, isolatie, karakterisatie en synthese) werd na de Tweede Wereldoorlog sterk uitgebreid, geholpen door steeds geavanceerdere analysetechnieken. De introductie van kernspinresonantie (NMR-spectroscopie) in de jaren 50 betekende een grote stap voorwaarts.[14] Ook de massaspectrometrie, de chromatografie en de röntgendiffractie hebben hiertoe bijgedragen.
Bronnen van natuurproducten
Natuurproducten worden aangetroffen in diverse levensvormen: planten, dieren en micro-organismen. Vooral de in zee levende organismen (sponzen, koralen, etc.) zijn een belangrijke bron van medicinaal interessante verbindingen. Ook uit giffen worden nuttige verbindingen geïsoleerd. Verder worden natuurproducten aangetroffen in gist- en bacterieculturen, die tevens gebruikt worden om bepaalde natuurproducten op grotere schaal aan te maken.
Planten

Planten zijn van oudsher de belangrijkste bron van natuurproducten met een uitgesproken biologische activiteit. Reeds lang is bekend dat bijvoorbeeld de bast van de wilg (Salix) een koortsremmende en pijnstillende werking heeft.[15] Dit is toe te schrijven aan de aanwezigheid van salicine, dat tijdens de 19e eeuw verder onderzocht werd. Dit onderzoek resulteerde uiteindelijk in de synthese van acetylsalicylzuur, tegenwoordig een courante ontstekingsremmer.
Planten zijn rijk aan metabolieten met uiteenlopende chemische structuren, zoals alkaloïden, terpenoïden, fytosterolen en polyfenolen.[16][17] Deze diversiteit is voor een belangrijk deel toe te schrijven aan natuurlijke selectie; planten die veel biologisch actieve verbindingen produceren zijn beter in staat herbivoren af te weren. Voorbeelden van bioactieve plantenstoffen met hun bron zijn:
- Atropine uit de wolfskers (Atropa belladonna)
- Cocaïne uit de cocaplant (Erythroxylum coca)
- Digitoxine uit het vingerhoedskruid (Digitalis purpurea)
- Kinine uit Cinchona-soorten
- Morfine uit de bolpapaver (Papaver somniferum)
- Nicotine uit de tabaksplant (Nicotiana tabacum)
- Pilocarpine uit Pilocarpus jaborandi
- Podofyllotoxine uit Podophyllum-soorten
- Reserpine uit Rauvolfia serpentina
- Sparteïne uit de brem (Cytisus scoparius)
- Tubocurarine uit de liaan (Chodondendron tomentosum)
- Vincristine uit de roze maagdenpalm (Catharanthus roseus)
Sommige plantenstoffen zijn dusdanig krachtig dat zij zonder verdere modificatie op de markt gebracht kunnen worden als geneesmiddel. Voorbeelden daarvan zijn paclitaxel (antikankermiddel uit de taxusplant) en artemisinine (antimalariamiddel uit de zomeralsem). De meeste plantenstoffen worden echter verder gemodificeerd tot analoga met een verbeterd activiteitsprofiel.[18]
Mariene organismen
Sinds de jaren 80 van de 20e eeuw zijn organismen uit zee een grote bron van nieuwe farmacologisch actieve natuurproducten.[19] Tussen 1990 en 2010 werden ongeveer 10 000 nieuwe mariene natuurproducten geïsoleerd en gekarakteriseerd.[20] Vooral koralen, sponsdieren, zakpijpen en mariene micro-organismen (algen) produceren een grote variabiliteit aan secundaire metabolieten met uiteenlopende eigenschappen, gaande van ontstekingsremming en antivirale werking tot antibacteriële eigenschappen en cytostatische activiteit. Betreffende kankerremming zijn vooral de macrocyclische lactonen (macroliden), geïsoleerd uit diverse sponzensoorten, prominent vertegenwoordigd met onder andere epothilone, peloruside A, laulimalide, dictyostatine en zampanolide.[21]
Micro-organismen
Micro-organismen, zoals bacteriën en schimmels, waaronder gisten, zijn reeds lang van grote waarde bij de ontdekking van farmacologisch nuttige natuurproducten. De meeste micro-organismen produceren een uitgebreid arsenaal aan natuurproducten, die een evolutionair voordeel bieden ten opzichte van concurrerende organismen.
Het onderzoek naar micro-organismen heeft pas een hoge vlucht genomen na de ontdekking van penicilline door Alexander Fleming in 1928.[22] Penicilline wordt geproduceerd door schimmelsoorten uit het geslacht Penicillium en heeft een uitgesproken antibacteriële werking. Latere screenings van schimmels hebben een structureel diverse verzameling antibacteriële stoffen aangetoond, zoals de cefalosporines (net als de penicillines behorende tot de klasse der bètalactamantibiotica), tetracyclines, aminoglycosiden, rifamycines en chlooramfenicol.
Alhoewel de meeste geneesmiddelen die afgeleid zijn van natuurproducten uit micro-organismen toegepast worden als antibiotica, kan een aantal van dergelijke metabolieten ook gebruikt worden in andere domeinen van de farmacie. Een schoolvoorbeeld is asperlicine, een mycotoxine dat geïsoleerd werd uit Aspergillus alliaceus. Deze stof is tevens een antagonist van het peptidehormoon cholecystokinine, dat betrokken is bij de regulering van de eetlust. Verder is het hormoon een neurotransmitter en speelt het een rol bij paniekaanvallen. Analoga van asperlicine kunnen ingezet worden om angsten te onderdrukken.[23]
Toxinen

Gifstoffen of toxinen van planten (fytotoxinen), slangen, spinnen, schorpioenen, insecten, micro-organismen en schimmels (mycotoxinen) staan erom bekend zeer krachtig te zijn, doordat ze reeds werkzaam zijn bij zeer lage concentraties en vitale mechanismen in het lichaam stil kunnen leggen.[24][25][26] Dit laatste gebeurt doorgaans doordat het toxine op een of meerdere eiwitten bindt en daardoor verstoring veroorzaakt. Als zodanig worden gifstoffen gezien als de ideale manier om de werking van receptoren, enzymen en ionkanalen te bestuderen.
Toxinen kunnen uiteenlopende chemische structuren bezitten. Er wordt een onderscheid gemaakt tussen de (poly)peptidetoxinen (eiwittoxinen), zoals het botulinetoxine dat door de bacterie Clostridium botulinum wordt geproduceerd, en de niet-peptidetoxinen. Toxinen van deze laatste groep bevatten doorgaans relatief kleine moleculen met een hoge mate aan structurele diversiteit; voorbeelden zijn tetrodotoxine (uit het gif van de kogelvis) en pseudaconitine (uit het sap van de monnikskap). Het gif van de pijlgifkikkers, bestaande uit onder andere epibatidine, batrachotoxine en diverse pumiliotoxinen en histrionicotoxinen, werd bij de indianen gebruikt om gifpijlen te maken.[27]
Gifstoffen zijn vanwege hun uitgesproken krachtige werking een goede basis om tegengiffen en geneesmiddelen te ontwikkelen.[28] Zo leidde het peptidetoxine teprotide, dat aangetroffen wordt in het gif van de addersoort Bothrops jararaca, tot de ontwikkeling van de antihypertensiva captopril en cilazapril.[29] Het neurotoxine botulinetoxine wordt in de plastische chirurgie gebruikt om de aangezichtsspieren selectief tijdelijk te verlammen en zodoende rimpelvorming te onderdrukken (botox-therapie).
Indeling
Natuurproducten zoals zij door organismen worden aangemaakt via een intern mechanisme, kunnen op diverse wijzen geclassificeerd worden. De belangrijkste indelingen zijn gestoeld op de biologische functie enerzijds en op de biosynthese anderzijds. Daarnaast kunnen natuurproducten ook ingedeeld worden naar hun chemische structuur en structurele verwantschappen.
Biologische functie
Natuurproducten worden beschouwd als metabolieten van een levend wezen en zij worden ingedeeld in de primaire en de secundaire metabolieten. Deze indeling was reeds aan het einde van de 19e eeuw door de Duitse arts Albrecht Kossel onder de aandacht gebracht.[30][31]
Primaire metabolieten
Primaire metabolieten hebben een intrinsieke biologische functie die van vitaal belang is voor het overleven van het betrokken organisme. Het zijn basisbouwstenen die een belangrijke rol spelen bij allerhande cellulaire processen, zoals de assimilatie van voedingsstoffen, het opwekken van energie, de groei van de cel en de opbouw van cellulaire componenten.[32] Bovendien zijn de meeste van deze metabolieten universeel, hetgeen inhoudt dat zij voorkomen bij een zeer groot aantal organismen uit diverse stammen en rijken. Onder de primaire metabolieten worden gerekend: aminozuren (voor de opbouw van eiwitten), koolhydraten (voor de opbouw van polysachariden), vetzuren (voor de opbouw van fosfolipiden en celmembranen) en nucleïnezuren (voor de opbouw van DNA en RNA).[32]
Enzymen die betrokken zijn bij de cellulaire respiratie of de fotosynthese, kunnen eveneens als primaire metabolieten beschouwd worden, aangezien zij in essentie zijn opgebouwd uit aminozuren en van fundamenteel belang zijn voor de goede werking van het organisme. Vaak zijn enzymen geassocieerd met co-factoren (co-enzymen), die dan weer van belang zijn voor de werking van het enzym zelf. Een belangrijke groep van co-factoren behoort tot de vitamine B-familie. Er zijn acht vitamines die tot die familie gerekend worden, waaronder thiamine (vitamine B1), riboflavine (vitamine B2), pantotheenzuur (vitamine B5), foliumzuur (vitamine B11) en cobalamine (vitamine B12).
Secundaire metabolieten

A. morfine (alkaloïde)
B. safrol (fenylpropanoïde)
C. discodermolide (polyketide)
D. artemisinine (terpenoïde)
Secundaire metabolieten zijn niet essentieel voor het overlevingsmechanisme, maar ze bieden het organisme wel een aantal competitieve voordelen ten opzichte van de omgeving. Secundaire metabolieten worden doorgaans gevormd uit primaire metabolieten en bezitten veelal nuttige medicinale eigenschappen. Verder zijn ze vaak soort- of geslachtspecifiek en is hun moleculaire architectuur divers en erg complex. Anders dan bij primaire metabolieten is de biologische functie van secundaire metabolieten vaak onbekend.[33] Diverse mogelijke functies zijn reeds voorgesteld:[34] als verdedigingsmiddel tegen concurrerende soorten, als transportmiddel voor metaalionen binnen het organisme, als symbiosemiddel tussen micro-organismen en andere soorten, als hormonen en als medium dat de differentiatie tussen organismen bevordert.
Belangrijke klassen secundaire metabolieten zijn onder andere: alkaloïden (basische metabolieten waarvan de biosynthese doorgaans start met aminozuren), fenylpropanoïden (plantenmetabolieten die structureel gebaseerd zijn op fenylalanine), polyketiden (waarvan de biosynthese is gestoeld op acetyl-CoA) en terpenoïden. Feromonen zijn secundaire metabolieten die een belangrijke rol spelen bij de communicatie tussen organismen binnen dezelfde soort.[34] Feromonen kunnen zelf nog verder ingedeeld worden, afhankelijk van de specifieke biologische functie: vluchtferomonen (bij sociale insecten, zoals mieren), ovipositieferomonen (bij muggen), alarmferomonen (bij bijen) en seksferomonen (bij alle insecten). De moleculaire structuur van feromonen kan vrij eenvoudig zijn, zoals het alarmferomoon isopentylacetaat bij bijen, maar ook behoorlijk complex, zoals grandisol bij de katoensnuitkever (Anthonomus grandis). De stereochemie speelt bij deze verbindingen een belangrijk rol, aangezien de ruimtelijke structuur van belang is voor een optimale binding op een receptor en dus voor een correcte signaaloverdracht.
Biosynthese
De biosynthese van een natuurproduct is een alternatieve indelingsmethode, hoewel deze niet altijd waterdicht is. Immers, van talrijke natuurproducten is de biosyntheseroute niet bekend of (nog) niet opgehelderd. Derhalve is het niet mogelijk om alle natuurproducten in te delen.[35][36]
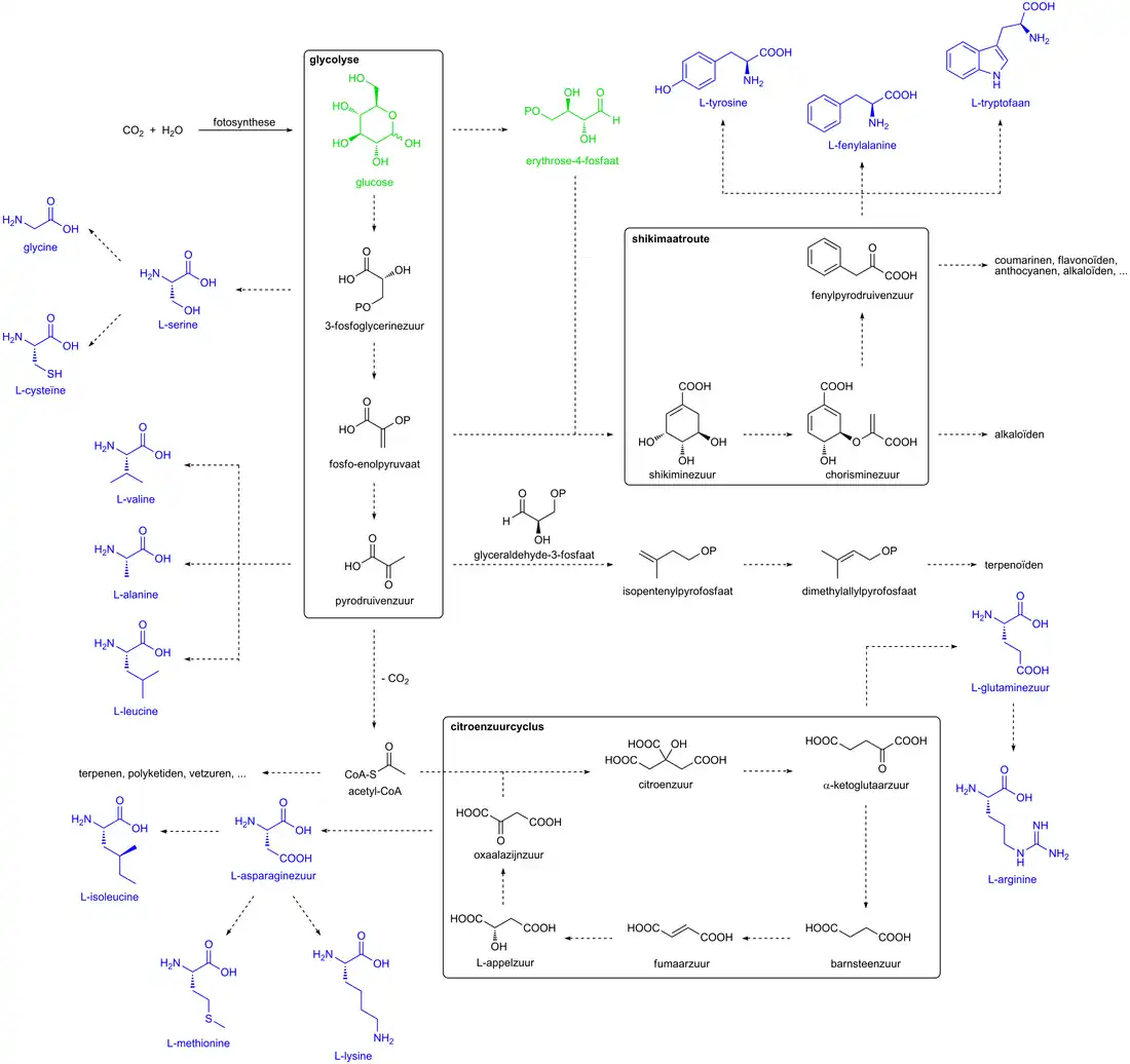
De belangrijke biosyntheseroutes vertrekken van primaire metabolieten, die zelf aangemaakt worden uit zeer eenvoudige bouwstenen: koolstofdioxide als bron voor koolstof, water en zuurstofgas als bron voor zuurstof en ammoniak (onder de vorm van ammonium) als bron voor stikstof. Alle syntheseroutes maken gebruik van een groot aantal diverse enzymen, die elk de specifieke transformaties katalyseren. In planten is de fotosynthese de belangrijkste biosyntheseroute voor de productie van koolhydraten. Koolstofdioxide wordt opgenomen en samen met water, onder invloed van zonlicht, omgezet in glucose. Monosachariden, zoals glucose en fructose, dienen dan weer als opbouwmateriaal voor polysachariden, zoals chitine, zetmeel, cellulose en glycogeen.
Glucose is de startverbinding in de glycolyse, een proces waarbij onder invloed van diverse enzymen glucose wordt afgebroken tot pyrodruivenzuur. Dit pyrodruivenzuur is dan weer een belangrijk intermediair in andere biosyntheseroutes. Het kan samen met glyceraldehyde-3-fosfaat omgezet worden in dimethylallylpyrofosfaat (DMAPP) en isopentenylpyrofosfaat (IPP). Deze twee zijn de natuurlijke analoga van isopreen en worden gebruikt om terpeenskeletten mee op te bouwen.
De acetaatroute omvat de synthese van vetzuren, polyketiden, terpenen en prostaglandinen. De centrale bouwsteen in dit proces is acetyl-CoA, een co-enzym dat een reactieve acetylgroep bezit. Acetyl-CoA wordt gevormd doordat het uit de glycolyse afkomstige pyrodruivenzuur gedecarboxyleerd wordt. In de citroenzuurcyclus wordt acetyl-CoA samen met oxaalazijnzuur omgezet tot citroenzuur. Tijdens dit cyclisch proces worden talrijke nuttige primaire bouwstenen gevormd, waaronder barnsteenzuur, fumaarzuur en appelzuur.[37]
De shikimaatroute is een metabole route die voorkomt in schimmels, bacteriën, algen en planten.[38] Zij start vanuit shikiminezuur (of de geconjugeerde base, shikimaat), dat op zijn beurt gevormd wordt uit fosfo-enolpyruvaat en erythrose-4-fosfaat. Shikiminezuur bezit een gehydroxyleerde cyclohexeenring en is daarom de belangrijkste precursor voor de biosynthese van aromatische verbindingen, waaronder fenolen en derivaten daarvan. Shikiminezuur wordt met fosfo-enolpyruvaat omgezet in chorisminezuur, dat als startverbinding voor de biosynthese van diverse alkaloïden wordt gebruikt. Uit het chorisminezuur wordt verder fenylpyrodruivenzuur gevormd (via een Claisen-omlegging naar prefeenzuur), dat de basis vormt voor de synthese van fenylalanine, tyrosine, kaneelzuur, coumarinen, flavonoïden, anthocyanen en alkaloïden.

Chemische structuur
De classificatie van natuurproducten volgens hun chemische structuur is gestoeld op de aanwezigheid van gemeenschappelijke structurele fragmenten. Dit kunnen functionele groepen, ringsystemen of combinaties hiervan zijn. Deze classificatiemethode is echter van minder belang, aangezien natuurproducten met verschillende eigenschappen in dezelfde klasse terecht kunnen komen (bijvoorbeeld alle stoffen met een benzeenring in), hetgeen minder goed is voor het bewaren van het overzicht. Bovendien is het zo dat talrijke natuurproducten, vooral wanneer zij een hogere complexiteitsgraad bezitten, ingedeeld kunnen worden in meerdere klassen. Ook dit komt het overzicht niet ten goede.
De grote klassen van chemische structuren zijn onder andere:
- Aminozuren, peptiden en proteïnen
- Koolhydraten: monosachariden, disachariden, oligosachariden en polysachariden
- Glycosiden
- Nucleosiden en nucleotiden
- Vetten: vetzuren en wassen
- Polyketiden
- Isoprenoïden (terpenoïden):
- Terpenen: monoterpenen, sesquiterpenen, diterpenen, triterpenen, tetraterpenen, polyterpenen
- Steroïden
- Carotenoïden
- Aromatische verbindingen: fenylpropanoïden, tanninen, flavonoïden
- Heterocyclische verbindingen: pyridinen, piperidinen, pyrrolen, pyrrolidinen, chinolinen, isochinolinen, chinazolinen, indolen, imidazolen, indolizidinen, pyrrolizidinen, chinolizidinen, purinen, pyrimidinen, pteridinen, porfyrinen, furanen
- Gehalogeneerde verbindingen
Dergelijke lijsten zijn niet volledig, maar gezien de structurele verscheidenheid is dat ook niet mogelijk.
Ringsystemen
Natuurproducten hebben doorgaans een gemeenschappelijke factor, namelijk de aanwezigheid van een of meerdere cyclische structuren. Wetenschappers van het Max Planck Instituut voor Moleculaire Fysiologie in Duitsland slaagden er in 2005 in om op basis van de structuurformule van ongeveer 200 000 natuurproducten een hiërarchische ordening op te stellen, gebaseerd op kleine ringsystemen. Er werd vertrokken van een classificatie op basis van de ringgrootte en de aanwezigheid van heteroatomen en onverzadigdheden. Als enkelvoudige ringen tot grotere polycyclische structuren gekoppeld worden, ontstaat een diepergaande classificatie.[39]

Isolatie, opzuivering en karakterisatie
Het afscheiden en karakteriseren van natuurproducten uit hun natuurlijke bron is in de regel geen gemakkelijke opgave. Dit heeft meerdere oorzaken.[40] Ten eerste komen natuurproducten voor in weefsels van organismen; deze weefsels hebben een complexe matrix waaruit het natuurproduct afgescheiden moet worden. Bij eencelligen (algen en micro-organismen) is dit een relatief gemakkelijke taak, maar bij meercellige organismen met volledig gedifferentieerde weefsels is dit een stuk moeilijker. Ten tweede komen natuurproducten doorgaans slechts in zeer kleine hoeveelheden voor; typisch in ppm-concentraties. Dit bemoeilijkt de detectie en de analyse van de componenten. Ten derde zijn natuurproducten vaak geassocieerd met andere (macro)moleculen, zoals eiwitten, celmembranen of organellen, hetgeen de afscheiding eveneens moeilijk maakt. Het vergt kennis van de moleculaire interacties en het type natuurproduct om een efficiënte isolatie- en opzuiveringsprocedure op te zetten. Bij nieuwe natuurproducten gaat dit meestal gepaard met trial-and-error.
Bioprospectie en farmacognosie
De structurele diversiteit van vooral secundaire metabolieten, maakt het aantrekkelijk om organismen van een zo groot mogelijke diversiteit te onderwerpen aan zogenaamde screenings. Dit zijn uitgebreide extractie- en karakterisatieprocedures die de wetenschappers in staat moeten stellen om nieuwe natuurproducten te isoleren en identificeren. Dit hele proces wordt aangeduid als bioprospectie.
Wanneer een nieuw metaboliet is geïdentificeerd, worden meestal vrij snel meerdere preliminaire testen uitgevoerd om informatie te vergaren over de potentiële biologische activiteit. Zo kan er getest worden tegen kankercellen, bacterieculturen en weefsels. De farmacognosie speelt hierbij een belangrijke rol: deze tak van de farmacie onderzoekt of natuurproducten een medicinale activiteit bezitten en dus potentiële kandidaten zijn om gebruikt te worden in de geneesmiddelenontwikkeling. Talrijke natuurproducten dienen immers als een leidverbinding om nieuwe geneesmiddelen te synthetiseren.[41]
Isolatie en opzuivering
Er kunnen verschillende redenen zijn waarom een natuurproduct geïsoleerd wordt:[40]
- Omdat de stof in kwestie een nuttige biologische of farmacologische activiteit bezit
- Omdat er voldoende materiaal voorhanden zou zijn om een volledige karakterisatie (structuuropheldering) te kunnen doen of om chemische derivatisatie te kunnen verrichten zonder de molecule volledig te moeten synthetiseren

Natuurproducten starten als een complex mengsel, namelijk in het organisme zelf. Uit tienduizenden verschillende moleculen die in biologische weefsels aanwezig zijn, dient er slechts 1 selectief te worden afgezonderd. Om dit te kunnen, is het vaak interessant al iets over de structuur te kennen (in geval het een onbekend natuurproduct betreft, is dit onmogelijk). Een belangrijke parameter is de hydrofobiciteit of vetoplosbaarheid: sommige verbindingen zijn zeer goed oplosbaar in apolaire media en zullen zich dus niet in de waterige extracten bevinden. Deze parameter wordt door veel structurele factoren bepaald: de grootte van het natuurproduct, de aanwezigheid van specifieke functionele groepen en de aanwezigheid van ladingen op de molecule. Zo zijn koolhydraten typische wateroplosbare natuurproducten, terwijl terpenen doorgaans niet-wateroplosbaar (en dus lipofiel) zijn. Verdere factoren die van belang zijn bij de isolatieprocedure zijn de stabiliteit van de verbinding, de vluchtigheid en de hoeveelheid.
Typische methoden die bij de isolatie en opzuivering gebruikt worden zijn extractie (vloeistof-vloeistof-extractie, Soxhlet-extractie), neerslag van onoplosbare componenten, adsorptie, chromatografische methoden, kristallisatie en lyofilisatie.[42] Aangezien de meeste natuurproducten relatief slecht of helemaal niet in water oplosbaar zijn, wordt het weefsel van het organisme eerst onderworpen aan extracties met een polair organisch oplosmiddel, doorgaans methanol, acetonitril of ethylacetaat. De zeer goed in water oplosbare componenten (zouten, sachariden) en de zeer apolaire componenten (vetzuren, fosfolipiden, terpenen) zullen hierin niet oplossen. Deze apolaire componenten kunnen afgescheiden worden door middel van petroleumether, dichloormethaan of tolueen en verder opgezuiverd worden. Vluchtige componenten kunnen via stoomdestillatie afgescheiden worden.
Vloeistof-vloeistof-extracties gebeuren typisch in een scheitrechter. Na filtratie van het vaste residu kan de organische fase gewassen worden met water of een waterige oplossing van een zuur of een base, al naargelang het type natuurproduct. Ook dit gebeurt in een scheitrechter. Bij de isolatie van bijvoorbeeld alkaloïden, uitgesproken basische componenten, zal het wassen met zuur water leiden tot de vorming van zouten. Deze zouten gaan over van de oorspronkelijke organische fase naar de waterige fase en zijn bijgevolg relatief selectief afgescheiden. Door de waterige fase met de alkaloïdezouten opnieuw aan te zuren en een geschikt organisch oplosmiddel toe te voegen, kunnen de alkaloïden gerecupereerd worden. Soms is het nodige om meerdere extracties na elkaar te doen, om op die manier diverse fracties te verkrijgen. Op dit punt kunnen de oplosmiddelen verwijderd worden door de substantie in te dampen met behulp van een draaiverdamper. Wat overblijft is meestal een mengsel van natuurproducten van ongeveer gelijke polariteit. Het gebruik van dunnelaagchromatografie (TLC) kan snel een idee geven van de complexiteit van het mengsel. Meer geavanceerde chromatografische technieken, zoals high-performance liquid chromatography (HPLC), gelpermeatiechromatografie (GPC) of gaschromatografie (GC), kunnen gebruikt worden om het mengsel te scheiden in afzonderlijke componenten.[43] Hierbij wordt ook gebruikgemaakt van massaspectrometrie, om al enige kennis te verkrijgen over de structuur van de stof.
Voor sommige natuurproducten zijn individuele isolatieprocedures ontwikkeld, zoals voor cafeïne (cafeïne-extractie).
Karakterisering
Isolatie en opzuivering worden vrijwel steeds gevolgd door een karakterisatie van het natuurproduct. De opheldering van de structuur is vaak een uitdaging, zeker wanneer het een volledig nieuw natuurproduct betreft. Om aan een structuuropheldering te doen worden diverse technieken gebruikt. Het aanwenden van massaspectrometrie levert informatie op over de massa en vaak ook over de aanwezige structuurfragmenten (bijvoorbeeld fenylgroepen, alkylgroepen, heteroatomen, halogenen), aangezien zij karakteristieke signalen in het massaspectrum opleveren.[44] Informatie over de aan- of afwezigheid van bepaalde functionele groepen kan geleverd worden door infraroodspectroscopie. Verder wordt gebruikgemaakt van kernspinresonantie (NMR-spectroscopie) om de structuur volledig op te helderen.[45] Wanneer het natuurproduct kristallijn blijkt te zijn, kan ook röntgendiffractie (XRD) ingezet worden. Zo werd bijvoorbeeld de chemische structuur van penicilline in 1945 opgehelderd door Dorothy Crowfoot Hodgkin; werk waarvoor zij in 1964 de Nobelprijs kreeg toegekend.
Synthese
Natuurproducten, vooral deze met een uitgesproken farmacologisch profiel, zijn sedert de begindagen van de organische chemie in de 19e eeuw het onderwerp van synthese. De organische synthese tracht moleculen op te bouwen, uitgaande van minder complexe bouwstenen. Ureum kan beschouwd worden als het eerste natuurproduct dat op een synthetische wijze verkregen is; in 1828 door Friedrich Wöhler. Sedertdien heeft de synthese zich verder ontwikkeld en kwamen steeds complexere natuurproducten in het vizier. Belangrijke mijlpalen betreffende de synthese van natuurproducten zijn:[46]
- Glucose, door Hermann Emil Fischer in 1890
- Kamfer, door Gustaf Komppa in 1903
- α-terpineol, door William Henry Perkin in 1904
- Tropinon, door Robert Robinson in 1917
- Heem b, door Hans Fischer in 1934
- Equilenine, door Werner Emmanuel Bachmann in 1939
- Kinine, door Robert Burns Woodward en William von Eggers Doering in 1944[47]
- Strychnine, door Robert Burns Woodward in 1954[48]
- Cobalamine, door Robert Burns Woodward en Albert Eschenmoser in 1973
- Ginkgolide B, door Elias James Corey in 1988[49]
- Taxol, door Kyriacos Costa Nicolaou in 1994[50]
Daar waar synthese vroeger vooral een methode was om na te gaan of de voorgestelde structuur wel de correcte was, is het onderzoeksveld nadien verschoven.[46] Tegenwoordig worden natuurproducten gesynthetiseerd als ze in te lage concentraties voorkomen om ze op een rendabele commerciële schaal te kunnen isoleren. Synthese wordt ook toegepast omdat het informatie kan opleveren over de biosynthese van het natuurproduct en omdat het leidt tot nieuwe kennis van synthesemethoden en -strategieën. Een synthese kan op twee manieren aangepakt worden: als totaalsynthese of als semisynthese.
Totaalsynthese
De totaalsynthese is een onderzoeksveld dat zich richt op de synthese van natuurproducten, startend vanuit kleine en eenvoudige moleculen. Een synthese volgt doorgaans vrij snel op de structuuropheldering van een nieuw natuurproduct. Door het toepassen van bekende reacties kan de moleculaire architectuur van het natuurproduct opgebouwd worden. Een totaalsynthese start met het opstellen van een globaal syntheseplan.[46] Daarin worden de transformaties uiteengezet, die het belangrijkst zijn bij de opbouw. Om zo'n plan op te stellen wordt meestal gebruikgemaakt van de retrosynthetische analyse (retrosynthese) van het natuurproduct: de structuur wordt dan in gedachten afgebroken tot kleinere bouwstenen. Deze analysetechniek werd ontwikkeld door Elias James Corey in de jaren 60 van de 20e eeuw en bewijst vooral zijn nut bij complexe natuurproducten. Een retrosynthese is een krachtig middel, dat vaak tot meerdere mogelijkheden leidt die in een synthetische richting uitgeprobeerd kunnen worden. Daardoor worden de kansen vergroot om tot een effectieve synthese van het natuurproduct te komen. Nadat het syntheseplan is opgesteld, worden de voorgestelde transformaties in het laboratorium uitgetest. Wanneer een bepaalde transformatie niet werkt, kan gezocht worden naar mogelijke alternatieven. Soms moet echter een groot deel van het syntheseplan herbekeken worden.
Een belangrijk concept binnen de synthese is dat van de convergentie. Bij een convergente synthese wordt het aantal stappen ten opzichte van een lineaire syntheseroute sterk gereduceerd, hetgeen een tijds- en efficiëntiewinst oplevert. Het stelt wetenschappers immers in staat om gemakkelijker te corrigeren voor syntheseroutes die niet werken, aangezien ieder eindproduct dichter bij de beginproducten staat dan in een lineaire route. In retrosynthetische zin betekent convergentie dat de doelmolecule zo snel mogelijk in gelijkwaardige delen (moleculaire fragmenten met ongeveer evenveel koolstofatomen of vergelijkbaar van grootte) opgedeeld moet worden. Dit principe kan herhaaldelijk worden toegepast.
![Een voorbeeld van een totaalsynthese: de synthese van aflatoxine B2 door G. Zhou en E.J. Corey uit 2005.[51] De synthese start met een convergente cycloadditie tussen twee eenvoudige startmaterialen. Door het toepassen van bekende reacties kan het moleculair skelet geleidelijk aan opgebouwd worden. De laatste stap bezit eveneens een mate van convergentie, aangezien twee ongeveer even grote bouwstenen gekoppeld worden. Voor de duidelijkheid zijn de plaatsen waar de transformaties plaatsgrijpen aangeduid in het blauw.](./Synthese_aflatoxine_B2_Corey_2005_2.svg.png)
Semisynthese
Niet zelden komt het voor dat een bepaald natuurproduct een zeer ingewikkelde structuur bezit en tegelijkertijd in zeer lage hoeveelheden voorkomt in de natuur. Daardoor worden zowel de isolatie van het natuurproduct als de totaalsynthese ervan economisch gezien onrendabel. Indien de structuur dit toelaat kan hier overgegaan worden tot een semisynthese. Daarbij wordt gestart van een startverbinding (een bioprecursor) die vaak ook uit de natuur wordt geïsoleerd en die slechts een beperkt aantal modificaties dient te ondergaan om het gewenste natuurproduct te verkrijgen.[52]

Een klassiek voorbeeld, dat ook commerciële toepassingen kent, is de semisynthese van paclitaxel, een cytostaticum. Het natuurproduct zelf heeft een ingewikkelde structuur en de eerste totaalsynthese werd pas in 1994 gepubliceerd. De onderzoeksgroep van Kyriacos Costa Nicolaou in de Verenigde Staten slaagde erin paclitaxel te synthetiseren door middel van een convergente doch uitgebreide syntheseprocedure.[53] Een dergelijke syntheseroute is niet haalbaar op industriële schaal en ook de isolatie van het natuurproduct uit de taxusplant levert weinig materiaal op: een 100 jaar oude taxusplant levert amper 300 milligram paclitaxel op.[46] Echter, voor paclitaxel bestaat er een semisyntheseroute die economisch interessanter is. De venijnboom (Taxus baccata) produceert namelijk 10-deacetylbaccatine III, een precursor in de biosynthese van paclitaxel die reeds het ingewikkelde basisskelet bezit. Het enige dat dient te gebeuren is de synthese van de zijketen, hetgeen een vrij korte syntheseroute inhoudt, en de koppeling van beide fragmenten. Deze route wordt tegenwoordig op industriële schaal gevolgd.
Een ander voorbeeld is de synthese van het antimalariamiddel artemisinine, eveneens structureel vrij complex en voorkomend in een zeer lage hoeveelheid in de natuur. In 2012 werd echter ontdekt dat het op eenvoudige wijze bereid kan worden uit dihydroartemisininezuur, eveneens een natuurlijke precursor die in grote hoeveelheden geïsoleerd kan worden. Door het zuur te bestralen met ultraviolet licht en tegelijkertijd in contact te brengen met zuurstofgas, kan artemisinine op relatief grote schaal gevormd worden.[54]
Steroïden zijn zowel op laboratoriumschaal als op industriële schaal aantrekkelijk om via semisynthese te bereiden. Enerzijds komt dit doordat steroïden een vrij uitdagende structuur bezitten (de gonaanstructuur), waardoor een totaalsynthese economisch oninteressant is, en anderzijds omdat sommige steroïden in grote hoeveelheden in de natuur aangetroffen worden en makkelijk geïsoleerd kunnen worden.[55] Voorbeelden van natuurlijke steroïden zijn cholesterol, diosgenine, galzuur en ergosterol. De progestativa progesteron en desogestrel worden tegenwoordig op industriële schaal bereid via een semisynthese uit diosgenine, een natuurproduct dat voorkomt in de yam, de wortelknol van de Noord-Amerikaanse plantensoort Dioscorea villosa.
Toepassingen
Medicinale toepassingen
Het gebruik van natuurlijke bronnen in een medicinale context is eeuwenoud. Planten, kruiden en specerijen worden sedert mensenheugenis gebruikt omwille van hun geneeskrachtige werking.[56] De oudste geschreven bron voor het gebruik van planten als geneesmiddel, een Sumerische kleitablet waarop twaalf recepten voor geneeskrachtige middeltjes en meer dan 250 plantensoorten worden vermeld, dateert van ongeveer 3000 v.Chr. De wilg was een bron van salicine, een koortswerende natuurlijke stof. Extracten ervan werden al in het Oude Egypte gebruikt. De Perzen en de Mesopotamiërs kenden rond 2000 v.Chr. de pijnstillende werking van opium, het opgedroogde melksap van de bolpapaver. Het gebruik ervan waaide rond de 8e eeuw over naar India en China.[57]

Daar waar het gebruik vroeger vooral van praktische aard was en de beschikbare kennis via aloude tradities werd overgeleverd van generatie op generatie, worden de natuurproducten die verantwoordelijk zijn voor de helende werking tegenwoordig intens bestudeerd. De relatie tussen de structuur en de activiteit (zogenaamde SAR- en QSAR-studies) is een belangrijk onderzoeksonderwerp binnen de farmaceutische wetenschappen, daarbij geassisteerd door de biotechnologie, de organische chemie en de computationele chemie. Talrijke natuurproducten zijn reeds een inspiratiebron geweest voor nieuwe en krachtigere geneesmiddelen; in dat verband wordt gesproken over leidverbindingen of (in het Engels) lead compounds. Het natuurproduct in kwestie dient dan als een soort sjabloon voor de ontwikkeling van een geneesmiddel. Tijdens het proces van de optimalisatie (lead optimization) wordt gezocht naar de farmacofoor – dit is het gedeelte dat verantwoordelijk is voor de effectieve interactie met de receptoren in het lichaam – en worden structurele modificaties doorgevoerd om op die manier een verbeterd farmacokinetisch en farmacodynamisch profiel te verkrijgen.[58] Zo bezit het cholesterolverlagend middel atorvastatine (merknaam Lipitor) een structuur waarvan de farmacofoor is afgeleid van mevastatine, een natuurproduct dat geïsoleerd werd uit de schimmelsoort Penicillium citrinum.[59]
De ontdekking van penicilline in 1928 leidde tot de ontwikkeling van de bètalactamantibiotica, een belangrijke klasse van antibiotische geneesmiddelen. De activiteit ervan wordt verklaard doordat het β-lactamsysteem, dat een hoge mate van ringspanning bezit, de celwand van bacteriën kan afbreken. Tot de belangrijke bètalactamantibiotica behoren amoxicilline, cefotetan en doripenem.
Chemische bestrijdingsmiddelen
Insecticiden

Ontwikkeling van nieuwe insecticiden wordt grotendeels gestuurd door natuurproducten met een vergelijkbare werking. Een belangrijke klasse van insecticiden vormen de zogenaamde insectenhormonen. Met name het juveniel hormoon en het ecdyson reguleren de metamorfose die verschillende insecten ondergaan: zij bepalen de hoeveelheid cuticulaire proteïnen die nodig zijn bij de verpopping van larve naar imago. Omdat deze verbindingen zo specifiek inwerken op insecten en omdat zij biodegradeerbaar zijn, worden zij gebruikt als leidverbindingen voor de ontwikkeling van insectengroeiregulatoren, zoals methopreen en hydropreen.[60]
Ook stoffen die niet uit insecten, maar uit planten geïsoleerd worden, kunnen worden ingezet als insecticide. Precoceen I, een chromeenderivaat dat voorkomt in de plantensoort Ageratum houstonianum, bezit een activiteit die de werking van het juveniel hormoon tegengaat.[61] Daardoor vervelt het insect vroeger, op een ogenblik dat het daar fysiologisch gezien nog niet klaar voor is, en sterft het af. Een notoire groep insecticiden waarvan de structuur is afgeleid van natuurlijke plantenstoffen zijn de pyrethroïden, cyclopropaancarbonzuurderivaten die uit plantensoorten van het geslacht Chrysanthemum geïsoleerd worden. De moederverbinding is pyrethrine, een stof waarvan zes isomere varianten bestaan. Onder de synthetisch bereide pyrethroïden bevinden zich onder meer bioresmetrine, permethrin, cypermetrine en transfluthrin. De interesse in deze synthetische pyrethroïden is vooral toegenomen nadat bleek dat zij een zeer lage toxiciteit hebben voor zoogdieren (behalve permethrin, dat dodelijk is voor katten) en omdat hun werking berust op de selectieve verstoring van de signaaloverdracht in het zenuwstelsel van insecten.[62] Bovendien zijn ze alle biodegradeerbaar en dus milieuvriendelijk.
Een alternatieve methode in de insectenbestrijding vormen de derdegeneratie-insecticiden, de antifeedants. Deze stoffen doden het insect niet rechtstreeks, maar remmen de voedselinname, waardoor het insect uiteindelijk toch van ontbering sterft. Een natuurlijk voorkomend insecticide van deze soort is azadirachtine, een secundair metaboliet uit de zaden van de boomsoort Azadirachta indica.[63]
Fungiciden
Micro-organismen vormen een bron voor natuurlijke fungiciden met als gemeenschappelijk structureel element de pyrroolring. Zo wordt pyrroolnitrin, dat geïsoleerd wordt uit bacteriesoorten van het geslacht Pseudomonas, gebruikt als leidverbinding bij de synthese van analoge pyrrolen met antifungale activiteit.[64] Griseofulvine, dat afkomstig is uit diverse Penicillium-soorten, wordt gebruikt als fungicide en bij de behandeling van dermatomycosen (huidschimmels) bij mens en dier.[65]
Aromabestanddelen
De aroma-industrie maakt gretig gebruik van natuurproducten om parfums en dergelijke samen te stellen. Jasmon, dat voorkomt in de jasmijn, de oranjebloesem en de pepermunt, en natuurlijke analoga ervan zijn de belangrijkste componenten. Verder zijn de jononen een belangrijke groep, vooral omdat talrijke synthetische derivaten tegenwoordig gebruikt worden vanwege hun karakteristieke bloemengeur.
Daarnaast zijn de macrocyclische ketonen, zoals civeton en muskon, zeer gewilde verbindingen. Zij zijn immers verantwoordelijk voor de muskusgeur van verschillende zoogdieren en worden als zodanig verwerkt in parfums.
Structuuranalyse
Het ophelderen van de structuur van complexe natuurproducten kan soms jaren duren, vooral bij producten die structurele elementen bezitten die voorheen nog niet bekend waren. Voor het natuurproduct azadirachtine, een natuurlijk voorkomend insecticide, werden meerdere pogingen ondernomen om de structuur vast te stellen.[66]
Ook een totaalsynthese levert niet altijd een sluitend bewijs dat de voorgestelde structuur correct is. Dit wordt geïllustreerd door de totaalsynthese van patchoulol (een terpenoïde geïsoleerd uit de patchouli) door Büchi en diens medewerkers.[67][68] Op deze manier worden natuurproducten gebruikt als studieobjecten om structuuranalytische technieken verder aan te scherpen.
Leidraad voor nieuwe synthesemethoden
Alhoewel de ureumsynthese uit 1828 als een eerste natuurproductsynthese gezien kan worden, startte het systematisch onderzoek naar synthese van natuurproducten pas aan het einde van de 19e eeuw. De doelmoleculen waren aanvankelijk relatief eenvoudig, maar de complexiteit nam gestaag toe. Die toename in complexiteit deed wetenschappers naar steeds nieuwere synthesemethoden grijpen of zoeken, aangezien de oude methoden niet langer voldeden om het natuurproduct in kwestie te bereiden. Zowel nieuwe reacties als nieuwe reagentia werden ontwikkeld en onderzocht, vaak binnen de context van natuurproductsynthese. Belangrijke concepten die daarbij naar boven kwamen waren:
- De selectiviteit van de reacties en reagentia. Zo werden reducties vaak uitgevoerd met behulp van reducerende metalen, zoals natrium of kwik, maar aangezien de selectiviteit daarvan zeer laag is, kunnen zij maar op een beperkt aantal substraten toegepast worden. De ontwikkeling van de mildere en meer selectieve hydride-reductoren (natriumboorhydride, lithiumaluminiumhydride) bracht daar verandering in.
- Het toevoegen van reagentia in katalytische in plaats van stoichiometrische hoeveelheden. Dit betekende een kosten- en tijdsbesparing, aangezien er minder van het reagens nodig is en er minder problemen zijn met de afzondering van nevenproducten die zouden kunnen ontstaan.
- Het sturen van het product naar één enantiomeer of diastereomeer in plaats van naar een mengsel van isomeren (principe van asymmetrische synthese en stereoselectiviteit). Dit voorkomt dat deze mengsels gescheiden moeten worden via dure chromatografische methoden. Tal van chirale reagentia zijn daartoe ontwikkeld.
Verder is duidelijk geworden dat de natuur een zeer grote variabiliteit aan functionele groepen en moleculaire fragmenten produceert, die pas gaandeweg bekend worden. Na ontdekking ervan moeten nieuwe en creatievere synthesemethoden bedacht worden. Zo werd bij de totaalsynthese van cobalamine (vitamine B12) door Woodward en Eschenmoser in 1973 een nieuwe synthesemethode ontwikkeld om het vinyloge amidinesysteem in de corrinering te kunnen synthetiseren, een reactie die tegenwoordig bekendstaat als de Eschenmoser-sulfidecontractie.[46][69][70][71]

Zie ook
Noten
- ↑ Dit concept is echter breder: het omvat naast natuurproducten ook macromoleculen (DNA, eiwitten) en supramoleculaire assemblages (fosfolipidemembranen).
- ↑ Tal van secundaire metabolieten, zoals paclitaxel uit de taxusplant (Taxus brevifolia) en aconitine uit de monnikskap (Aconitum), zijn immers (cyto)toxisch voor andere organismen en bieden als zodanig een vorm van bescherming.[4]
Referenties
- ↑ (en) Cutler S, Cutler HG (2000). Biologically Active Natural Products: Pharmaceuticals. CRC Press, p. 5. ISBN 978-0-8493-1887-0.
- ↑ (en) All natural, Nature Chemical Biology, 3 (7), p. 351 (2007)
- ↑ (en) R.A. Maplestone, M.J. Stone & D.H. Williams (1992) – The evolutionary role of secondary metabolites - a review, Gene, 115 (1–2), pp. 151-157
- ↑ (en) D.S. Seigler (1998) – Plant Secondary Metabolism, Springer Science & Business Media – ISBN 978-0412019814
- ↑ (en) J. Khazirb, B.A. Mirc, S.A. Mird & D. Cowanc (2013) – Natural products as lead compounds in drug discovery, Journal of Asian Natural Products Research, 15 (7), pp. 764-788
- ↑ (en) J. Gu, Y. Gui, L. Chen, G. Yuan, H.-Z. Lu & X. Xu (2013) – Use of Natural Products as Chemical Library for Drug Discovery and Network Pharmacology, PLoS ONE, 8(4)
- ↑ (en) B.G. Malmström & B. Andersson (2001) – The Nobel Prize in Chemistry: The Development of Modern Chemistry
- ↑ (en) The Chemical Revolution of Antoine-Laurent Lavoisier, American Chemical Society, 1999
- ↑ a b (en) D.A. Dias, S. Urban & U. Roessner (2012) – A Historical Overview of Natural Products in Drug Discovery, Metabolites, 2 (2), pp. 303-336
- ↑ (de) F. Wöhler (1828) - Ueber künstliche Bildung des Harnstoffs, Annalen der Physik und Chemie, 88 (2), pp. 253-256
- ↑ (en) Justus von Liebig and Friedrich Wöhler, Chemical Heritage Foundation (CHF)
- ↑ (de) J. von Liebig (1838) – Ueber Laurent's Theorie der organischen Verbindungen, Ann. Pharm., 25 (1), pp. 1-31
- ↑ (de) A. Kekulé (1858) – Ueber die Constitution und die Metamorphosen der chemischen Verbindungen und über die chemische Natur des Kohlenstoffs, Annalen der Chemie und Pharmacie, 106 (2), pp. 129-159
- ↑ (en) S.L. Robinette, R. Brüschweiler, F.C. Schroeder & A.S. Edison (2012) – NMR in metabolomics and natural products research: two sides of the same coin, Acc. Chem. Res., 45 (2), pp. 288-297
- ↑ (en) K.D. Rainsford (2004) – Aspirin and Related Drugs, CRC Press – ISBN 9780748408856
- ↑ (en) S.M.K. Rates (2001) – Plants as source of drugs, Toxicon, 39 (5), pp. 603-613
- ↑ (en) L.J. Cseke, P.B. Kaufman, S. Warber, J.A. Duke & H.L. Brielmann (2006) – Natural Products from Plants, CRC Press – ISBN 9780849329760
- ↑ (en) K.K. Dholwani, A.K. Saluja, A.R. Gupta & D.R. Shah (2008) – A review on plant-derived natural products and their analogs with anti-tumor activity, Indian J. Pharmacol., 40 (2), pp. 49-58
- ↑ (en) R. Montaser & H. Luesch (2011) – Marine natural products: a new wave of drugs?, Future Med Chem., 3 (12), pp. 1475-1489
- ↑ (en) C.-D. Pham (2014) – New cytotoxic marine natural products from marine invertebrates, doctoraatsthesis, Heinrich-Heine-Universität Düsseldorf, p. 12
- ↑ (en) J.G. Napolitano, A.H. Daranas, M. Norte & J.J. Fernández (2009) – Marine macrolides, a promising source of antitumor compounds, Anticancer Agents Med. Chem., 9 (2), pp. 122-137
- ↑ (en) M.S. Butler (2004) – The Role of Natural Product Chemistry in Drug Discovery, J. Nat. Prod., 67 (12), pp. 2141-2153
- ↑ (en) M.G. Bock, R.M. DiPardo, K.E. Rittle, B.E. Evans, R.M. Freidinger, D.F. Veber, R.S. Chang, T.B. Chen, M.E. Keegan & V.J. Lotti (1986) – Cholecystokinin antagonists. Synthesis of asperlicin analogues with improved potency and water solubility, J. Med. Chem., 29(10), pp. 1941-1945
- ↑ (en) B.R. O'Keefe (2001) – Biologically Active Proteins from Natural Product Extracts, J. Nat. Prod., 64 (10), pp. 1373-1381
- ↑ (en) R.N. Strange (2007) – Phytotoxins produced by microbial plant pathogens, Nat. Prod. Rep., 24 (1), pp. 127-144
- ↑ (en) A.T. Dossey (2010) – Insects and their chemical weaponry: new potential for drug discovery, Nat. Prod. Rep., 27 (12), pp. 1737-1757
- ↑ D. Hillenius (1971) – Spectrum Dieren Encyclopedie (deel 5), Uitgeverij Het Spectrum, p. 1652 – ISBN 90 274 2097 1
- ↑ (en) J.M. Sabatier (2011) – Animal venoms: from deadly arsenals (toxins) to therapeutic drug candidates, Inflamm. Allergy Drug Targets, 10 (5), p. 312
- ↑ (en) C.G. Smith & J.R. Vane (2003) – The Discovery of Captopril, The FASEB Journal, 17 (8), pp. 788-789
- ↑ (de) A. Kossel (1891) – Ueber die chemische Zusammensetzung der Zelle, Archiv für Physiologie, pp. 181-186
- ↑ (en) D.J. Kliebenstein (2004) – Secondary metabolites and plant/environment interactions: a view through Arabidopsis thaliana tinged glasses, Plant, Cell and Environment, 27 (6), pp. 675-684
- ↑ a b (en) K. Rogers (2011) – The components of life: from nucleic acids to carbohydrates, New York: Britannica Educational Publishing – ISBN 978-1-61530-324-3
- ↑ (en) R.D. Firn & C.G. Jones (2000) – The evolution of secondary metabolism - a unifying model, Mol. Microbiol., 37 (5), pp. 989-994
- ↑ a b (en) A.L. Demain & A. Fang (2000) – The natural functions of secondary metabolites, Adv. Biochem. Eng. Biotechnol., 69, pp. 1-39
- ↑ (en) S.V. Bhat, B.A. Nagasampagi & M. Sivakumar (2005) – Chemistry of Natural Products, New York: Springer – ISBN 81-7319-481-5
- ↑ (en) P.M. Dewick (2009) – Medicinal natural products: a biosynthetic approach, Chichester: Wiley – ISBN 978-0-470-74167-2
- ↑ (en) H.A. Krebs & P.D.J. Weitzman (1987) – Krebs' citric acid cycle: half a century and still turning, London: Biochemical Society – ISBN 0-904498-22-0
- ↑ (en) K.M. Herrmann & L.M. Weaver (1999) – The Shikimate Pathway, Annual Review of Plant Physiology and Plant Molecular Biology, 50, pp. 473-503
- ↑ (en) M.A. Koch, A. Schuffenhauer, M. Scheck, S. Wetzel, M. Casaulta, A. Odermatt, P. Ertl & H. Waldmann (2005) – Charting biologically relevant chemical space: A structural classification of natural products (SCONP), Proc. Natl. Acad. Sci. USA, 102 (48), pp. 17272-17277
- ↑ a b (en) R.J.P. Cannell (1998) – How to Approach the Isolation of a Natural Product?, Methods in Biotechnology, 4, pp. 1-51
- ↑ (en) F.E. Koehn & G.T. Carter (2005) – The evolving role of natural products in drug discovery, Nat. Rev. Drug. Discov., 4 (3), pp. 206-220
- ↑ (en) H. Tesso (2005) – Isolation and Structure Elucidation of Natural Products from Plants, doctoraatsthesis, Universiteit van Hamburg, pp. 16-27
- ↑ (en) F. Bucar, A. Wubea & M. Schmid (2013) – Natural product isolation – how to get from biological material to pure compounds, Nat. Prod. Rep., 30, pp. 525-545
- ↑ (en) K.W. Cheng, C.C. Wong, M. Wang, Q.F. He & F. Chen (2010) – Identification and characterization of molecular targets of natural products by mass spectrometry, Mass Spectrom. Rev., 29 (1), pp. 126-155
- ↑ (en) R.C. Breton & W.F. Reynolds (2013) – Using NMR to identify and characterize natural products, Nat. Prod. Rep., 30 (4), pp. 501-524
- ↑ a b c d e (en) K.C. Nicolaou & E.J. Sorensen (1996) – Classics in Total Synthesis: Targets, Strategies, Methods, Wiley, pp. 1-19 – ISBN 978-3-527-29231-8
- ↑ (en) R.B. Woodward & W.E. Doering (1944) - The Total Synthesis of Quinine, J. Am. Chem. Soc., 66 (5), pp. 849-849
- ↑ (en) R.B. Woodward, M.P. Cava, W.D. Ollis, A. Hunger, H.U. Daeniker & K. Schenker (1954) – The Total Synthesis of Strychnine, J. Am. Chem. Soc., 76 (18), pp. 4749-4751
- ↑ (en) E.J. Corey, M.C. Kang, M.C. Desai, A.K. Ghosh & I.N. Houpis (1988) – Total synthesis of (±)-ginkgolide B, J. Am. Chem. Soc., 110 (2), pp. 649-651
- ↑ (en) K.C. Nicolaou, Z. Yang, J.J. Liu, H. Ueno, P.G. Nantermet, R.K. Guy, C.F. Claiborne, J. Renaud, E.A. Couladouros, K. Paulvannan & E.J. Sorensen (1994) – Total synthesis of taxol, Nature, 367 (6464), pp. 630-634
- ↑ (en) G. Zhou & E.J. Corey (2005) – Short, Enantioselective Total Synthesis of Aflatoxin B2 Using an Asymmetric [3+2]-Cycloaddition Step, J. Am. Chem. Soc., 127 (34), pp. 11958-11959
- ↑ (en) A.M. Lourenco, L.M. Ferreira & P.S. Branco (2012) – Molecules of natural origin, semi-synthesis and synthesis with anti-inflammatory and anticancer utilities, Curr. Pharm. Des., 18 (26), pp. 3979-4046
- ↑ (en) K.C. Nicolaou, Z. Yang, J.J. Liu, H. Ueno, P.G. Nantermet, R.K. Guy, C.F. Claiborne, J. Renaud, et al. (1994) – Total synthesis of taxol, Nature, 367 (6464), pp. 630-634
- ↑ (en) F. Lévesque & P.H. Seeberger (2012) – Continuous-Flow Synthesis of the Anti-Malaria Drug Artemisinin, Angew. Chem. Int. Ed., 51 (7), pp. 1706-1709
- ↑ (en) C.F. Nising & S. Bräse (2008) – Highlights in Steroid Chemistry: Total Synthesis versus Semisynthesis, Angew. Chem. Int. Ed., 47 (49), pp. 9389-9391
- ↑ (en) B.B. Petrovska (2012) – Historical review of medicinal plants' usage, Pharmacogn. Rev., 6 (11), pp. 1-5
- ↑ (en) A brief history of opium, opiates.net
- ↑ (en) A. Rowan (2005) – Lead Optimization: Improving natural strength, Nature Reviews Drug Discovery, 4, p. 1041
- ↑ (en) J.L. Li (2009) – Discovery of Lipitor - Triumph of the Heart: the Story of Statins, New York: Oxford University Press, pp. 71-96 – ISBN 978-0-19-804351-5
- ↑ (en) T.S. Dhadialla, G.R. Carlson & D.P. Le (1998) – New insecticides with ecdysteroidal and juvenile hormone activity, Annual Review of Entomology, 43, pp. 545-569
- ↑ (en) G.E. Pratt, R.C. Jennings, A.F. Hamnett & G.T. Brooks (1980) – Lethal metabolism of precocene-I to a reactive epoxide by locust corpora allata, Nature, 284 (5754), pp. 320-323
- ↑ (en) J.E. Casida, D.W. Gammon, A.H. Glickman & L.J. Lawrence (1983) – Mechanisms of Selective Action of Pyrethroid Insecticides, Annual Review of Pharmacology and Toxicology, 23, pp. 413-438
- ↑ (en) A.J. Mordue, M.S.J. Simmonds, S.V. Ley, W.M. Blaney, W. Mordue, M. Nasiruddin & A.J. Nisbet (1998) – Actions of azadirachtin, a plant allelochemical, against insects, Pesticide Science, 54 (3), pp. 277-284
- ↑ (en) M.-Z. Wang, H. Xu, Q. Feng, L.-Z. Wang, S.-H. Wang & Z.-M. Li (2009) – Design, Synthesis, and Fungicidal Activity of Novel Analogues of Pyrrolnitrin, J. Agric. Food Chem., 57 (17), pp. 7912-7918
- ↑ (en) P.W. Brian (1949) – Studies on the Biological Activity of Griseofulvin, Ann. Bot., 13 (1), pp. 59-77
- ↑ (en) W. Kraus, M. Bokel, A. Klenk & H. Pöhn (1985) – The structure of azadirachtin and 22,23-dihydro-23β-methoxyazadirachtin, Tetrahedron Letters, 26 (52), pp. 6435-6438
- ↑ (en) G. Büchi, R.E. Erickson & N. Wakabayashi (1961) – Terpenes. XVI. Constitution of Patchouli Alcohol and Absolute Configuration of Cedrene, J. Am. Chem. Soc., 83 (4), pp. 927-938
- ↑ (en) G. Büchi & W.D. Macleod (1962) – Synthesis of Patchouli Alcohol, J. Am. Chem. Soc., 84 (16), pp. 3205-3206
- ↑ (en) R.B. Woodward (1973) – The total synthesis of vitamin B12, Pure Appl. Chem., 33 (1), pp. 145-178
- ↑ (de) A. Eschenmoser (1974) – Organische Naturstoffsynthese heute: Vitamin B12 als Beispiel, Naturwissenschaften, 61 (12), pp. 513-525
- ↑ (en) A. Eschenmoser & C.E. Wintner (1977) – Natural Product Synthesis and Vitamin B12, Science, 196 (4297), pp. 1410-1420
Literatuur
- (en) J. Mann, R.S. Davidson, J.B. Hobbs, D.V. Banthorpe & J.B. Harborne (1994) – Natural product: their chemistry and biological significance, Longman, Harlow (Engeland) – ISBN 0-582-06009-5
- (en) J.J. Li & E.J. Corey (2012) – Total Synthesis of Natural Products: At the Frontiers of Organic Chemistry, Springer – ISBN 978-3-642-34065-9
- (en) R. Cooper & G. Nicola (2014) – Natural Products Chemistry: Sources, Separations and Structures, CRC Press – ISBN 978-1-466-56761-0