Moleculaire machine

Moleculaire machines zijn een klasse moleculen die doorgaans worden beschreven als een verzameling van een discreet aantal moleculaire componenten die bedoeld zijn om mechanische bewegingen te produceren als reactie op specifieke stimuli, waarbij macromoleculaire apparaten zoals schakelaars en motoren worden nagebootst. Natuurlijk voorkomende moleculaire machines (biologische moleculaire machines) zijn verantwoordelijk voor vitale levende processen zoals DNA-replicatie en ATP-synthase. Kinesinen en ribosomen zijn voorbeelden van biologische moleculaire machines en ze nemen vaak de vorm aan van multi-eiwitcomplexen. De afgelopen decennia hebben wetenschappers, met wisselend succes, geprobeerd machines uit de macroscopische wereld te miniaturiseren. Het eerste voorbeeld van een kunstmatige moleculaire machine (AMM) werd gerapporteerd in 1994, een rotaxaan met een ring en twee verschillende mogelijke bindingsplaatsen.

In 2016 werd de Nobelprijs voor Scheikunde toegekend aan Jean-Pierre Sauvage, Sir J. Fraser Stoddart en Bernard L. Feringa voor het ontwerp en de synthese van moleculaire machines.

AMM's zijn de afgelopen decennia snel gediversifieerd en hun ontwerpprincipes, eigenschappen en methoden zijn beter geschetst. Een belangrijk uitgangspunt voor het ontwerp van AMM's is het benutten van de bestaande bewegingsmodi in moleculen, zoals rotatie rond enkelvoudige bindingen of cis-trans-isomerisatie. Er worden verschillende AMM's geproduceerd door verschillende functionaliteiten te introduceren, zoals de introductie van bistabiliteit om schakelaars te creëren. Er is een breed scala aan AMM's ontworpen, met verschillende eigenschappen en toepassingen; sommige hiervan omvatten moleculaire motoren,[1] schakelaars, en logische biologische poorten. Er is een breed scala aan toepassingen aangetoond voor AMM's, waaronder toepassingen die zijn geïntegreerd in polymerisch-, vloeibaar kristal- en krystallijne-systemen voor uiteenlopende functies (zoals materialennderzoek, homogene katalyse en oppervlaktechemie).
Terminologie
Verschillende definities beschrijven een "moleculaire machine" als een klasse moleculen die doorgaans wordt beschreven als een samenstel van een discreet aantal moleculaire componenten die bedoeld zijn om mechanische bewegingen te produceren als reactie op specifieke stimuli. De uitdrukking wordt vaak algemener toegepast op moleculen die eenvoudigweg functies nabootsen die op macroscopisch niveau voorkomen.[2] Een paar belangrijke vereisten voordat een molecuul als een "moleculaire machine" kan worden beschouwd, zijn: de aanwezigheid van bewegende delen, het vermogen om energie te verbruiken, en het vermogen om een taak uit te voeren..[3] Moleculaire machines verschillen van andere op stimuli reagerende verbindingen die beweging kunnen produceren (zoals cis-trans isomeren) in hun relatief grotere bewegingsamplitude (mogelijk als gevolg van chemische reacties) en de aanwezigheid van een duidelijke externe stimulus om de bewegingen te reguleren (vergeleken met willekeurige thermische beweging).[2] piëzo-elektrische, magnetostrictische en andere materialen die een beweging veroorzaken als gevolg van externe stimuli op een macroschaal worden doorgaans niet meegenomen, omdat de effecten ondanks de moleculaire oorsprong van de beweging niet bruikbaar zijn op moleculaire schaal.
Deze definitie is in het algemeen van toepassing op synthetische moleculaire machines, die historisch gezien inspiratie hebben gehaald uit de in de natuur voorkomende biologische moleculaire machines (ook wel "nanomachines" genoemd). Biologische moleculaire machines worden beschouwd als apparaten op nanoschaal (zoals moleculaire eiwitten) in een levend systeem die verschillende vormen van energie omzetten in mechanische arbeid om cruciale biologische processen aan te drijven, zoals intracellulair transport, spiercontracties, oxidatieve fosforylering en celdeling.[4][5]
Geschiedenis
Biologische moleculaire machines zijn al jaren bekend en bestudeerd vanwege hun cruciale rol bij het in stand houden van het leven, en hebben gediend als inspiratie voor synthetisch ontworpen systemen met vergelijkbare nuttige functionaliteit.[4][5] De komst van conformationele analyse of de studie van conformers om complexe chemische structuren te analyseren, gaf in de jaren vijftig aanleiding tot het idee om de relatieve beweging binnen moleculaire componenten te begrijpen en te controleren voor verdere toepassingen. Dit leidde tot het ontwerp van "proto-moleculaire machines" met conformationele veranderingen zoals tandwielen van de aromatische ringen in triptycenen.[6] Tegen 1980 konden wetenschappers de gewenste conformaties bereiken met behulp van externe stimuli en deze voor verschillende toepassingen gebruiken. Een belangrijk voorbeeld is het ontwerp van een lichtgevoelige kroonether die een azobenzeen eenheid bevat, die zou kunnen schakelen tussen cis en trans isomeren bij blootstelling aan licht en zo de kationbindende eigenschappen van de ether afstemmen.[7] In zijn baanbrekende lezing uit 1959 There's Plenty of Room at the Bottom (Er is genoeg ruimte aan de onderkant), zinspeelde Richard Feynman op het idee en de toepassingen van moleculaire apparaten die kunstmatig zijn ontworpen door materie te manipuleren op atomair niveau[8] Dit werd verder onderbouwd door Eric Drexler in de jaren zeventig, die ideeën ontwikkelde op basis van moleculaire nanotechnologie zoals "assemblers" op nanoschaal[9] hoewel hun haalbaarheid omstreden was.[10]

Hoewel deze gebeurtenissen als inspiratie voor het veld dienden, vond de feitelijke doorbraak in praktische benaderingen voor het synthetiseren van kunstmatige moleculaire machines (AMM's) plaats in 1991 met de uitvinding van een "moleculair pendelvoertuig" (shuttle) door James Fraser Stoddart.[11] Voortbouwend op de assemblage van mechanisch gekoppelde moleculen zoals catenanen en rotaxanen zoals ontwikkeld door Jean-Pierre Sauvage in het begin van de jaren tachtig.[12][13] Dit pendelvoertuig (shuttle) is voorzien van een rotaxaan met een ring die over een "as" kan bewegen tussen twee uiteinden of mogelijke bindingsplaatsen (hydrochinon-eenheden). Dit ontwerp realiseerde voor het eerst de goed gedefinieerde beweging van een moleculaire eenheid over de lengte van het molecuul.[6] In 1994 maakte een verbeterd ontwerp controle over de beweging van de ring mogelijk met pH-variatie of elektrochemische methoden, waardoor dit het eerste voorbeeld van een AMM is. Hier zijn de twee bindingsplaatsen een benzidine en een bifenol eenheid; de kationische ring geeft er doorgaans de voorkeur aan om boven de benzidinering te blijven, maar gaat over naar de bifenolgroep wanneer de benzidine wordt geprotoneerd bij een lage pH of als deze elektrochemisch wordt geoxideerd.[14] In 1998 kon een onderzoek de roterende beweging van een decacyclenmolecuul op een metalen oppervlak op koperbasis vastleggen met behulp van een scanning tunneling microscoop.[15] In de daaropvolgende tien jaar werd een grote verscheidenheid aan AMM's die reageerden op verschillende stimuli uitgevonden voor verschillende toepassingen.[16][17] In 2016 werd de Nobelprijs voor Scheikunde toegekend aan Sauvage, Fraser Stoddart en Bernard L. Feringa voor het ontwerp en de synthese van moleculaire machines..[18][19]
Kunstmatige moleculaire machines
In de afgelopen decennia zijn AMM's snel gediversifieerd en hun ontwerpprincipes,[3] eigenschappen,[20] en karakteriserings-methoden[21] zijn duidelijker in kaart gebracht. Een belangrijk uitgangspunt voor het ontwerp van AMM's is het benutten van de bestaande bewegingsmogelijkheden in moleculen.[3] Enkelvoudige bindingen kunnen bijvoorbeeld worden gezien als rotatie-assen,[22] evenals metalloceen-complexen.[23] Buigende of V-achtige vormen kunnen worden bereikt door dubbele bindingen op te nemen, die cis-trans- isomerisatie kunnen ondergaan als reactie op bepaalde stimuli (bepaalde bestraling met een geschikte golflengte), zoals te zien in talrijke ontwerpen bestaande uit stilbeen en azobenzeen-eenheden.[24] Op dezelfde manier kunnen ring-opening en -sluitingsreacties zoals die gezien voor spiropyraan en diaryletheen ook gebogen vormen produceren.[25] Een ander veel voorkomende bewegingswijze is de omwenteling van ringen ten opzichte van elkaar, zoals waargenomen bij mechanisch vergrendelde moleculen (voornamelijk catenanen). Hoewel dit type rotatie niet buiten het molecuul zelf toegankelijk is (omdat de ringen in elkaar opgesloten zijn), kunnen rotaxanen dit overwinnen omdat de ringen translatiebewegingen langs een halterachtige as kunnen ondergaan.[26] Een andere lijn AMM's bestaat uit biomoleculen zoals DNA en proteïnen als onderdeel van hun ontwerp, waarbij gebruik wordt gemaakt van verschijnselen als eiwitvouwing en ontvouwing..[27][28]

AMM-ontwerpen zijn sinds de begindagen van het onderzoeksveld aanzienlijk gediversifieerd. Een belangrijke route is de introductie van bistabiliteit om moleculaire schakelaars te produceren met twee verschillende configuraties waartussen het molecuul moet converteren. Dit werd gezien als een stap voorwaarts ten opzichte van het oorspronkelijke moleculaire pendelvoertuig (shuttle), die bestond uit twee identieke locaties waar de ring zonder enige voorkeur heen kon bewegen, op een manier die analoog is aan de ring-inversie in een niet-gesubstitueerd cyclohexaan. Als deze twee locaties van elkaar verschillen in termen van kenmerken als elektronendichtheid, kan dit aanleiding geven tot zwakke of sterke herkenningslocaties, zoals in biologische systemen – dergelijke AMM’s hebben toepassingen gevonden in katalyse enmedicijnafgifte. Dit schakelgedrag is verder geoptimaliseerd om nuttig werk te verrichten dat verloren gaat wanneer een typische schakelaar terugkeert naar de oorspronkelijke staat. Geïnspireerd door het gebruik van kinetische controle voor het produceren van arbeid in natuurlijke processen, zijn moleculaire motoren ontworpen, die een continue energie-instroom hebben en geen evenwicht bereiken, zodat ze arbeid kunnen blijven leveren.[3][2]
Er worden tegenwoordig verschillende energiebronnen gebruikt om moleculaire machines aan te drijven, maar dit was niet het geval tijdens de eerste jaren van de ontwikkeling van AMM's. Hoewel de bewegingen in AMM's werden gereguleerd ten opzichte van de willekeurige thermische beweging die doorgaans in moleculen wordt waargenomen, konden ze niet naar wens worden gecontroleerd of gemanipuleerd. Dit leidde tot de toevoeging van op stimuli reagerende delen in het AMM-ontwerp, zodat extern toegepaste niet-thermische energiebronnen de moleculaire beweging konden aandrijven en daardoor controle over de eigenschappen mogelijk zouden maken. Chemische energie (of 'chemische brandstoffen') was in het begin een aantrekkelijke optie, gezien het brede scala aan omkeerbare chemische reacties (sterk gebaseerd op de zuur-base chemie) om moleculen tussen verschillende toestanden te schakelen.[29] Dit brengt echter het probleem met zich mee van het praktisch reguleren van de aanvoer van de chemische brandstof en de verwijdering van het geproduceerde afval om de efficiëntie van de machine te behouden, zoals in biologische systemen. Hoewel sommige AMM's manieren hebben gevonden om dit te omzeilen,[30] hebben recentelijk afvalvrije reacties gebaseerd op elektronenoverdracht of isomerisatie aandacht gekregen (zoals redox-responsieve viologenen). Uiteindelijk zijn verschillende vormen van energie (elektrisch,[31] magnetisch,[32] optisch[33] enzovoort) de primaire energiebronnen geworden die worden gebruikt om AMM's aan te drijven en zelfs autonome systemen zoals door licht aangedreven motoren zijn er gemaakt.[34]
Typen
Er zijn verschillende AMM's ontworpen met een breed scala aan functies en toepassingen, waarvan er verschillende hieronder in tabelvorm zijn weergegeven, samen met indicatieve afbeeldingen:[20]
| Type | Beschrijving | Afbeelding |
|---|---|---|
| Moleculaire balans | Een molecuul dat tussen twee of meer conformaties of configuratietoestanden kan converteren als reactie op de dynamiek van meerdere intra- en intermoleculaire drijvende krachten,[35][36] zoals waterstofbinding, solvent-fobische of hydrofobe effecten,[37] π-interacties,[38] en sterische en dispersie-interacties.[39] De verschillende conformaties van een moleculaire balans kunnen verschillende interacties met hetzelfde molecuul vertonen, zodat het analyseren van de verhouding van de conformatie en de energieën voor deze interacties de kwantificering van verschillende eigenschappen mogelijk maken (zoals CH-π of areen-areen interacties, zie afbeelding).[40][41] | ![]() Een voorbeeld van een moleculaire balans |
| Moleculair scharnier | Een moleculair scharnier is een molecuul dat doorgaans kan roteren in een kruk-achtige beweging rond een stijve as, zoals een dubbele binding of een aromatische ring voor het schakelen tussen omkeerbare configuraties[42] Dergelijke configuraties moeten onderscheidbare geometrieën hebben; azobenzeengroepen in een lineair molecuul kunnen bijvoorbeeld cis-trans-isomerisatie ondergaan.[43] bij bestraling met ultraviolet licht, wat een omkeerbare overgang naar een gebogen of V-vormige conformatie teweegbrengt (zie afbeelding).[44][45][46] Moleculaire scharnieren zijn aangepast voor toepassingen als nucleobase-herkenning,[47] peptidemodificaties,[48] en het visualiseren van moleculaire beweging.[49] | ![]() Voorbeeld van een moleculair scharnier dat cis-trans-isomerisatie kan ondergaan rond een dubbele binding |
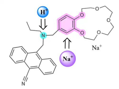
| Moleculaire logische poort | Een molecuul dat een logische bewerking uitvoert op een of meer logische invoeren en één enkele logische uitvoer produceert.[50] Gemodelleerd naar logische poorten hebben deze moleculen langzaam de conventionele, op silicium gebaseerde machines vervangen. Er zijn verschillende toepassingen naar voren gekomen, zoals onderzoek naar de waterkwaliteit, onderzoek naar voedselveiligheid, detectie van metaalionen en farmaceutische onderzoeken.[51][52] Het eerste voorbeeld van een moleculaire logische poort werd gerapporteerd in 1993, met een receptor (zie afbeelding) waarbij de emissie-intensiteit zou kunnen worden behandeld als een afstembare uitvoer indien de concentraties van protonen en natriumionen als invoer worden beschouwd.[53] | ![]() De voor het eerst gerapporteerde moleculaire logische poort |
| Moleculaire motor | Een molecuul dat in staat is tot gerichte roterende bewegingen rond een enkele of dubbele binding en daardoor nuttig werk kan produceren (zoals weergegeven in de afbeelding).[54][55] Er zijn ook nanomotoren van koolstofnanobuisjes geproduceerd.[56] Rotatiemotoren met een enkele binding[57] worden doorgaans geactiveerd door chemische reacties, terwijl rotatiemotoren met dubbele binding[58] doorgaans worden aangedreven door licht. De rotatiesnelheid van de motor kan ook worden afgestemd door een zorgvuldig moleculair ontwerp.[59] | ![]() Moleculair-dynamische simulatie van een synthetisch moleculaire rotor bestaande uit drie moleculen in een nanoporie (buitendiameter 6,7 nm) bij 250 K |
| Moleculaire halsketting | Een klasse mechanisch met elkaar verbonden moleculen afgeleid van catenanen waarbij een grote macrocyclische ruggengraat ten minste drie kleine ringen in de vorm van een ketting verbindt (zie afbeelding hiernaast). Een moleculaire ketting bestaande uit een grote macrolus met daarop n-1 ringen (en dus n ringen omvattend) wordt weergegeven als [n] MN.[60] De eerste moleculaire ketting werd in 1992 gesynthetiseerd met verschillende α-cyclodextrinen op een enkele ruggengraat van een polyethyleenglycolketen; de auteurs brachten dit in verband met het idee van een "moleculair telraam" dat rond dezelfde tijd door Fraser Stoddart en collega's werd voorgesteld.[61] Er zijn verschillende interessante toepassingen voor deze moleculen naar voren gekomen, zoals antibacteriële activiteit[62] ontzwaveling van brandstoffen,[63] en piëzo-elektriciteit.[64] | ![]() Een voorbeeld van een moleculaire halsketting |
| Moleculaire propeller | Een molecuul dat vloeistoffen kan voortstuwen wanneer het door zijn speciale vorm wordt rondgedraaid en die is ontworpen naar analogie van macroscopische propellers (zie schematische afbeelding). Het heeft verschillende bladen op moleculaire schaal die onder een bepaalde hoek op een as op nanoschaal zijn bevestigd.[65][66] Er is aangetoond dat moleculaire propellers interessante eigenschappen hebben, zoals variaties in de pompsnelheid voor hydrofiele en hydrofobe vloeistoffen.[67] | ![]() Voorbeeld van een moleculaire propeller die watermoleculen pompt dankzij het hydrofobe oppervlak |
| Moleculair pendelvoertuig | Een molecuul dat moleculen of ionen van de ene locatie naar de andere kan vervoeren. Dit wordt schematisch weergegeven in de afbeelding, waar een ring (in groen) kan binden aan een van de gele plaatsen op de blauwe macrocyclische ruggengraat..[68] Een algemeen voorkomend moleculair pendelvoertuig bestaat uit een rotaxaan waarbij de macrocyclische verbinding tussen twee locaties of stations langs de dumbbellruggengraat kan bewegen. Het beheersen van de eigenschappen van beide plaatsen en door het reguleren van de omstandigheden zoals de pH kan sturing mogelijk maken welke plaats voor de binding wordt geselecteerd. Dit heeft geleid tot nieuwe toepassingen op het gebied van katalyse en medicijnafgifte.[68][69] | ![]() Een voorbeeld van een op een rotaxaan gebaseerd moleculair pendelvoertuig (shuttle) |
| Moleculaire schakelaar | Bij een moleculaire schakelaar kan een molecuul heen en weer worden verschoven tussen twee of meer stabiele toestanden als reactie op bepaalde stimuli. Deze toestandsverandering beïnvloedt de eigenschappen van het molecuul, afhankelijk van de toestand waarin het zich op dat moment bevindt. In tegenstelling tot een moleculaire motor wordt al het mechanische werk dat wordt verricht als gevolg van de beweging in een schakelaar doorgaans ongedaan gemaakt zodra het molecuul terugkeert naar zijn oorspronkelijke staat, tenzij het deel uitmaakt van een groter motorachtig systeem. De afbeelding toont een op hydrazon gebaseerde schakelaar die schakelt als reactie op pH-veranderingen.[70] | ![]() Een voorbeeld van een moleculaire schakelaar |
| Moleculair pincet | Moleculaire pincetten zijn moleculen die voorwerpen tussen hun twee armen kunnen vasthouden.[71] De open holte van het moleculaire pincet bindt voorwerpen met behulp van niet-covalente binding, waaronder waterstofbrug, metaalcomplexen, hydrofobe krachten, vanderwaalskrachten, π-interacties of elektrostatische effecten. De afbeelding toont bijvoorbeeld een pincet gevormd door een tang van corannuleen die een C60-fullereenmolecuul omklemt, genaamd "buckycatcher".[72] Er zijn voorbeelden gerapporteerd van moleculaire pincetten die zijn opgebouwd uit DNA en die DNA-machines worden genoemd.[73] | ![]() Een voorbeeld van een moleculair pincet met er tussen een fullereen |
| Nanokar | Nanokarren zijn voertuigen bestaande uit één molecuul die op macroscopische auto's lijken en belangrijk zijn om te begrijpen hoe moleculaire diffusie op oppervlakken kan worden gecontroleerd. De afbeelding toont een voorbeeld met vier wielen gemaakt van fullereenmoleculen. De eerste nanokarren werden in 2005 gesynthetiseerd door James M. Tour. Ze hadden een H-vormig chassis en vier moleculaire wielen (fullerenen) die aan de vier hoeken waren bevestigd.[74]In 2011 synthetiseerden Feringa en collega's de eerste gemotoriseerde nanokar waarbij moleculaire motoren als roterende wielen aan het chassis waren bevestigd.[75] De auteurs konden de gerichte beweging van de nanokar op een koperen oppervlak aantonen door energie te leveren via een scanning tunneling microscooppunt. Later, in 2017, vond in Toulouse de allereerste nanokarrace ter wereld plaats.[76] | ![]() Een nanokar met C60-fullerenen als wielen |
Onderzoek en toepassingen
De constructie van complexere moleculaire machines is een actief gebied van theoretisch en experimenteel onderzoek. Hoewel er tegenwoordig een grote verscheidenheid aan AMM's bekend is, worden experimentele studies van deze moleculen belemmerd door het gebrek aan methoden om deze moleculen te construeren.[77] In deze context is theoretische modellering naar voren gekomen als een cruciaal hulpmiddel om de zelfassemblage- of demontageprocessen in deze systemen te begrijpen.[78][79]
Er is een breed scala aan toepassingen aangetoond voor AMM's, waaronder toepassingen die zijn geïntegreerd in polymere,[80][81] vloeibare kristallen[82][83] en kristallijne[84][85] systemen voor uiteenlopende functies. Homogene katalyse is een prominent voorbeeld, vooral op gebieden als asymmetrische synthese, waarbij gebruik wordt gemaakt van niet-covalente interacties en biomimetische allosterische katalyse.[86][87] AMM's zijn cruciaal geweest bij het ontwerp van verschillende op stimuli reagerende slimme materialen, zoals zelf-geassembleerde 2D- en 3D-materialen en op nanodeeltjes gebaseerde systemen, voor veelzijdige toepassingen variërend van 3D-printen tot medicijnafgifte.[88][89]
AMM's gaan geleidelijk over van de conventionele oplossingsfasechemie naar oppervlakken en grensvlakken. AMM-geïmmobiliseerde oppervlakken (AMMIS's) zijn bijvoorbeeld een nieuwe klasse functionele materialen die bestaan uit AMM's die zijn bevestigd aan anorganische oppervlakken en kenmerken vormen zoals zelf-geassembleerde monolagen; dit geeft aanleiding tot afstembare eigenschappen zoals fluorescentie, aggregatie en geneesmiddelafgifte-activiteit.[90]
De meeste van deze toepassingen bevinden zich nog steeds op het proof-of-concept-niveau (haalbaarheid van de toepassing) en vereisen grote aanpassingen om ze aan te passen aan de industriële schaal. Uitdagingen bij het stroomlijnen van toepassingen op macroschaal zijn onder meer de autonome werking, de complexiteit van de machines, de stabiliteit in de synthese van de machines en de werkomstandigheden.[2][91]
Zie ook
- Moleculaire motoren (biologische)
- Assembler (nanobots)
Referenties
- ↑ Carroll, GT, Pollard, MM, van Delden, RA, Feringa, BL (2010). Controlled rotary motion of light-driven molecular motors assembled on a gold surface. Chemical Science 1 (1): 97–101. DOI: 10.1039/C0SC00162G. Gearchiveerd van origineel op 13 juni 2025.
- ↑ a b c d Vincenzo, V., Credi, A., Raymo, F. M., Stoddart, J. F. (2000). Artificial Molecular Machines. Angewandte Chemie International Edition 39 (19): 3348–3391. PMID 11091368. DOI: <3348::AID-ANIE3348>3.0.CO;2-X 10.1002/1521-3773(20001002)39:19<3348::AID-ANIE3348>3.0.CO;2-X.
- ↑ a b c d Cheng, C., Stoddart, J. F. (2016). Wholly Synthetic Molecular Machines. ChemPhysChem 17 (12): 1780–1793. PMID 26833859. DOI: 10.1002/cphc.201501155.
- ↑ a b Huang, T. J., Juluri, B. K. (2008). Biological and biomimetic molecular machines. Nanomedicine 3 (1): 107–124. PMID 18393670. DOI: 10.2217/17435889.3.1.107.
- ↑ a b Kinbara, K., Aida, T. (2005). Toward Intelligent Molecular Machines: Directed Motions of Biological and Artificial Molecules and Assemblies. Chemical Reviews 105 (4): 1377–1400. PMID 15826015. DOI: 10.1021/cr030071r.
- ↑ a b Kay, E. R., Leigh, D. A. (2015). Rise of the molecular machines. Angewandte Chemie International Edition 54 (35): 10080–10088. PMID 26219251. PMC 4557038. DOI: 10.1002/anie.201503375.
- ↑ Shinkai, S., Nakaji, T., Nishida, Y., Ogawa, T., Manabe, O. (1980). Photoresponsive crown ethers. 1. Cis-trans isomerism of azobenzene as a tool to enforce conformational changes of crown ethers and polymers. Journal of the American Chemical Society 102 (18): 5860–5865. DOI: 10.1021/ja00538a026.
- ↑ Feynman, R. (1960). There's Plenty of Room at the Bottom. Engineering and Science 23 (5): 22–36. Gearchiveerd van origineel op 1 juni 2025.
- ↑ Drexler, K. E. (1981). Molecular engineering: An approach to the development of general capabilities for molecular manipulation. Proceedings of the National Academy of Sciences 78 (9): 5275–5278. PMID 16593078. PMC 348724. DOI: 10.1073/pnas.78.9.5275.
- ↑ "Drexler and Smalley make the case for and against 'molecular assemblers'", C&EN, 1 december 2003, pp. 37–42. Gearchiveerd op 16 januari 2023. Geraadpleegd op 16 January 2023.
- ↑ a b Anelli, P. L., Spencer, N., Stoddart, J. F. (1991). A molecular shuttle. Journal of the American Chemical Society 113 (13): 5131–5133. PMID 27715028. DOI: 10.1021/ja00013a096.
- ↑ (fr) Dietrich-Buchecker, C. O., Sauvage, J. P., Kintzinger, J. P. (1983). Une nouvelle famille de molecules : les metallo-catenanes. Tetrahedron Letters 24 (46): 5095–5098. DOI: 10.1016/S0040-4039(00)94050-4.
- ↑ Dietrich-Buchecker, C. O., Sauvage, J. P., Kern, J. M. (May 1984). Templated synthesis of interlocked macrocyclic ligands: the catenands. Journal of the American Chemical Society 106 (10): 3043–3045. DOI: 10.1021/ja00322a055.
- ↑ Bissell, R. A, Córdova, E., Kaifer, A. E., Stoddart, J. F. (1994). A chemically and electrochemically switchable molecular shuttle. Nature 369 (6476): 133–137. DOI: 10.1038/369133a0.
- ↑ Gimzewski, J. K., Joachim, C., Schlittler, R. R., Langlais, V., Tang, H. (1998). Rotation of a Single Molecule Within a Supramolecular Bearing. Science 281 (5376): 531–533. PMID 9677189. DOI: 10.1126/science.281.5376.531.
- ↑ Balzani, V., Credi, A., Raymo, F. M., Stoddart, J. F. (2000). Artificial Molecular Machines. Angewandte Chemie International Edition 39 (19): 3348–3391. PMID 11091368. DOI: <3348::AID-ANIE3348>3.0.CO;2-X 10.1002/1521-3773(20001002)39:19<3348::AID-ANIE3348>3.0.CO;2-X.
- ↑ Erbas-Cakmak, S., Leigh, D. A., McTernan, C. T., Nussbaumer, A. L. (2015). Artificial Molecular Machines. Chemical Reviews 115 (18): 10081–10206. PMID 26346838. PMC 4585175. DOI: 10.1021/acs.chemrev.5b00146.
- ↑ Staff, "The Nobel Prize in Chemistry 2016", Nobel Foundation, 5 October 2016. Geraadpleegd op 5 October 2016.
- ↑ "3 Makers of 'World's Smallest Machines' Awarded Nobel Prize in Chemistry", New York Times, 5 October 2016. Gearchiveerd op 13 juni 2025. Geraadpleegd op 5 October 2016.
- ↑ a b Erbas-Cakmak, Sundus, Leigh, David A., McTernan, Charlie T., Nussbaumer, Alina L. (2015). Artificial Molecular Machines. Chemical Reviews 115 (18): 10081–10206. PMID 26346838. PMC 4585175. DOI: 10.1021/acs.chemrev.5b00146.
- ↑ Nogales, E., Grigorieff, N. (2001). Molecular Machines: putting the pieces together.. The Journal of Cell Biology 152 (1): F1-10. PMID 11149934. PMC 2193665. DOI: 10.1083/jcb.152.1.f1.
- ↑ Jiang, X., Rodríguez-Molina, B., Nazarian, N., Garcia-Garibay, M. A. (2014). Rotation of a Bulky Triptycene in the Solid State: Toward Engineered Nanoscale Artificial Molecular Machines. Journal of the American Chemical Society 136 (25): 8871–8874. PMID 24911467. DOI: 10.1021/ja503467e.
- ↑ Kai, H., Nara, S., Kinbara, K., Aida, T. (2008). Toward Long-Distance Mechanical Communication: Studies on a Ternary Complex Interconnected by a Bridging Rotary Module. Journal of the American Chemical Society 130 (21): 6725–6727. PMID 18447353. DOI: 10.1021/ja801646b.
- ↑ Kamiya, Y., Asanuma, H. (2014). Light-Driven DNA Nanomachine with a Photoresponsive Molecular Engine. Accounts of Chemical Research 47 (6): 1663–1672. PMID 24617966. DOI: 10.1021/ar400308f.
- ↑ Morimoto, M., Irie, M. (2010). A Diarylethene Cocrystal that Converts Light into Mechanical Work. Journal of the American Chemical Society 132 (40): 14172–14178. PMID 20858003. DOI: 10.1021/ja105356w.
- ↑ Stoddart, J. F. (2009). The chemistry of the mechanical bond. Chemical Society Reviews 38 (6): 1802–1820. PMID 19587969. DOI: 10.1039/B819333A.
- ↑ Mao, X., Liu, M., Li, Q., Fan, C., Zuo, X. (2022). DNA-Based Molecular Machines. JACS Au 2 (11): 2381–2399. PMID 36465542. PMC 9709946. DOI: 10.1021/jacsau.2c00292.
- ↑ Saper, G., Hess, H. (2020). Synthetic Systems Powered by Biological Molecular Motors. Chemical Reviews 120 (1): 288–309. PMID 31509383. DOI: 10.1021/acs.chemrev.9b00249.
- ↑ Biagini, C., Di Stefano, S. (2020). Abiotic Chemical Fuels for the Operation of Molecular Machines. Angewandte Chemie International Edition 59 (22): 8344–8354. PMID 31898850. DOI: 10.1002/anie.201912659.
- ↑ Tatum, L. A., Foy, J. T., Aprahamian, I. (2014). Waste Management of Chemically Activated Switches: Using a Photoacid To Eliminate Accumulation of Side Products. Journal of the American Chemical Society 136 (50): 17438–17441. PMID 25474221. DOI: 10.1021/ja511135k.
- ↑ Le Poul, N., Colasson, B. (2015). Electrochemically and Chemically Induced Redox Processes in Molecular Machines. ChemElectroChem 2 (4): 475–496. DOI: 10.1002/celc.201402399.
- ↑ Thomas, C. R., Ferris, D. P., Lee, J.-H., Choi, E., Cho, M. H. (2010). Noninvasive Remote-Controlled Release of Drug Molecules in Vitro Using Magnetic Actuation of Mechanized Nanoparticles. Journal of the American Chemical Society 132 (31): 10623–10625. PMID 20681678. DOI: 10.1021/ja1022267.
- ↑ Balzani, V., Credi, A., Venturi, M. (2009). Light powered molecular machines. Chemical Society Reviews 38 (6): 1542–1550. PMID 19587950. DOI: 10.1039/B806328C.
- ↑ Balzani, V., Clemente-León, M., Credi, A., Ferrer, B., Venturi, M. (2006). Autonomous artificial nanomotor powered by sunlight. Proceedings of the National Academy of Sciences 103 (5): 1178–1183. PMID 16432207. PMC 1360556. DOI: 10.1073/pnas.0509011103.
- ↑ Paliwal, S., Geib, S., Wilcox, C. S. (1994). Molecular Torsion Balance for Weak Molecular Recognition Forces. Effects of "Tilted-T" Edge-to-Face Aromatic Interactions on Conformational Selection and Solid-State Structure. Journal of the American Chemical Society 116 (10): 4497–4498. DOI: 10.1021/ja00089a057.
- ↑ Mati, Ioulia K., Cockroft, Scott L. (2010). Molecular balances for quantifying non-covalent interactions. Chemical Society Reviews 39 (11): 4195–4205. PMID 20844782. DOI: 10.1039/B822665M. Gearchiveerd van origineel op 13 juni 2025.
- ↑ Y., Lixu, A., Catherine, Cockroft, S. L. (2015). Quantifying Solvophobic Effects in Nonpolar Cohesive Interactions. Journal of the American Chemical Society 137 (32): 10084–10087. ISSN: 0002-7863. PMID 26159869. DOI: 10.1021/jacs.5b05736. Gearchiveerd van origineel op 13 juni 2025.
- ↑ L., Ping, Z., Chen, Smith, M. D., Shimizu, K. D. (2013). Comprehensive Experimental Study of N-Heterocyclic π-Stacking Interactions of Neutral and Cationic Pyridines. The Journal of Organic Chemistry 78 (11): 5303–5313. PMID 23675885. DOI: 10.1021/jo400370e.
- ↑ Hwang, J., Li, P., Smith, M. D., Shimizu, K. D. (2016). Distance-Dependent Attractive and Repulsive Interactions of Bulky Alkyl Groups. Angewandte Chemie International Edition 55 (28): 8086–8089. PMID 27159670. DOI: 10.1002/anie.201602752.
- ↑ Carroll, W. R., Zhao, C., Smith, M. D., Pellechia, P. J., Shimizu, K. D. (2011). A Molecular Balance for Measuring Aliphatic CH−π Interactions. Organic Letters 13 (16): 4320–4323. PMID 21797218. DOI: 10.1021/ol201657p.
- ↑ Carroll, W. R., Pellechia, P., Shimizu, K. D. (2008). A Rigid Molecular Balance for Measuring Face-to-Face Arene−Arene Interactions. Organic Letters 10 (16): 3547–3550. PMID 18630926. DOI: 10.1021/ol801286k.
- ↑ Kassem, Salma, van Leeuwen, Thomas, Lubbe, Anouk S., Wilson, Miriam R., Feringa, Ben L. (2017). Artificial molecular motors. Chemical Society Reviews 46 (9): 2592–2621. PMID 28426052. DOI: 10.1039/C7CS00245A. Gearchiveerd van origineel op 13 juni 2025.
- ↑ Bandara, H. M. Dhammika, Burdette, S. C. (2012). Photoisomerization in different classes of azobenzene. Chemical Society Reviews 41 (5): 1809–1825. PMID 22008710. DOI: 10.1039/c1cs15179g.
- ↑ Wang, J., Jiang, Q., Hao, X., Yan, H., Peng, H. (2020). Reversible photo-responsive gel–sol transitions of robust organogels based on an azobenzene-containing main-chain liquid crystalline polymer. RSC Advances 10 (7): 3726–3733. PMID 35492656. PMC 9048773. DOI: 10.1039/C9RA10161F.
- ↑ (en) Hada, M., Yamaguchi, D., Ishikawa, T., Sawa, T., Tsuruta, K. (13 september 2019). Ultrafast isomerization-induced cooperative motions to higher molecular orientation in smectic liquid-crystalline azobenzene molecules. Nature Communications 10 (1): 4159. ISSN: 2041-1723. PMID 31519876. PMC 6744564. DOI: 10.1038/s41467-019-12116-6.
- ↑ Garcia-Amorós, J., Reig, M., Cuadrado, A., Ortega, M., Nonell, S. (2014). A photoswitchable bis-azo derivative with a high temporal resolution. Chemical Communications 50 (78): 11462–11464. PMID 25132052. DOI: 10.1039/C4CC05331A.
- ↑ Hamilton, A. D., Van Engen, D. (1987). Induced fit in synthetic receptors: nucleotide base recognition by a molecular hinge. Journal of the American Chemical Society 109 (16): 5035–5036. DOI: 10.1021/ja00250a052.
- ↑ Dumy, P., Keller, M., Ryan, D. E., Rohwedder, B., Wöhr, T. (1997). Pseudo-Prolines as a Molecular Hinge: Reversible Induction of cis Amide Bonds into Peptide Backbones. Journal of the American Chemical Society 119 (5): 918–925. DOI: 10.1021/ja962780a.
- ↑ Ai, Y., Chan, M. H.-Y., Chan, A. K.-W., Ng, M., Li, Y. (2019). A platinum(II) molecular hinge with motions visualized by phosphorescence changes. Proceedings of the National Academy of Sciences 116 (28): 13856–13861. PMID 31243146. PMC 6628644. DOI: 10.1073/pnas.1908034116.
- ↑ Erbas-Cakmak, S., Kolemen, S., Sedgwick, A. C., Gunnlaugsson, T., James, T. D. (2018). Molecular logic gates: the past, present and future. Chemical Society Reviews 47 (7): 2228–2248. PMID 29493684. DOI: 10.1039/C7CS00491E.
- ↑ de Silva, A. P. (2011). Molecular Logic Gate Arrays. Chemistry: An Asian Journal 6 (3): 750–766. PMID 21290607. DOI: 10.1002/asia.201000603.
- ↑ Liu, L., Liu, P., Ga, L., Ai, J. (2021). Advances in Applications of Molecular Logic Gates. ACS Omega 6 (45): 30189–30204. PMID 34805654. PMC 8600522. DOI: 10.1021/acsomega.1c02912.
- ↑ de Silva, P. A., Gunaratne, N. H. Q., McCoy, C. P. (1993). A molecular photoionic AND gate based on fluorescent signalling. Nature 364 (6432): 42–44. DOI: 10.1038/364042a0.
- ↑ Lancia, F., Ryabchun, A., Katsonis, N. (2019). Life-like motion driven by artificial molecular machines. Nature Reviews Chemistry 3 (9): 536–551. DOI: 10.1038/s41570-019-0122-2.
- ↑ Mickler, M., Schleiff, E., Hugel, T. (2008). From Biological towards Artificial Molecular Motors. ChemPhysChem 9 (11): 1503–1509. PMID 18618534. DOI: 10.1002/cphc.200800216.
- ↑ Fennimore, A. M., Yuzvinsky, T. D., Han, Wei-Qiang, Fuhrer, M. S., Cumings, J. (24 July 2003). Rotational actuators based on carbon nanotubes. Nature 424 (6947): 408–410. PMID 12879064. DOI: 10.1038/nature01823.
- ↑ Kelly, T. Ross, De Silva, Harshani, Silva, Richard A. (9 september 1999). Unidirectional rotary motion in a molecular system. Nature 401 (6749): 150–152. PMID 10490021. DOI: 10.1038/43639.
- ↑ Koumura, Nagatoshi, Zijlstra, Robert W. J., van Delden, Richard A., Harada, Nobuyuki, Feringa, Ben L. (9 september 1999). Light-driven monodirectional molecular rotor. Nature 401 (6749): 152–155. PMID 10490022. DOI: 10.1038/43646. Gearchiveerd van origineel op 3 juni 2025.
- ↑ Vicario, Javier, Meetsma, Auke, Feringa, Ben L. (2005). Controlling the speed of rotation in molecular motors. Dramatic acceleration of the rotary motion by structural modification. Chemical Communications 116 (47): 5910–2. PMID 16317472. DOI: 10.1039/B507264F.
- ↑ Zhang, Z., Zhao, J., Guo, Z., Zhang, H., Pan, H. (2022). Mechanically interlocked networks cross-linked by a molecular necklace. Nature Communications 13 (1): 1393. PMID 35296669. PMC 8927564. DOI: 10.1038/s41467-022-29141-7.
- ↑ Harada, A., Li, J., Kamachi, M. (1992). The molecular necklace: a rotaxane containing many threaded α-cyclodextrins. Nature 356 (6367): 325–327. DOI: 10.1038/356325a0.
- ↑ Wu, G.-Y., Shi, X., Phan, H., Qu, H., Hu, Y.-X. (2020). Efficient self-assembly of heterometallic triangular necklace with strong antibacterial activity. Nature Communications 11 (1): 3178. PMID 32576814. PMC 7311404. DOI: 10.1038/s41467-020-16940-z.
- ↑ Li, S.-L., Lan, Y.-Q., Sakurai, H., Xu, Q. (2012). Unusual Regenerable Porous Metal-Organic Framework Based on a New Triple Helical Molecular Necklace for Separating Organosulfur Compounds. Chemistry: A European Journal 18 (51): 16302–16309. PMID 23168579. DOI: 10.1002/chem.201203093.
- ↑ Seo, J., Kim, B., Kim, M.-S., Seo, J.-H. (2021). Optimization of Anisotropic Crystalline Structure of Molecular Necklace-like Polyrotaxane for Tough Piezoelectric Elastomer. ACS Macro Letters 10 (11): 1371–1376. PMID 35549010. DOI: 10.1021/acsmacrolett.1c00567.
- ↑ Simpson, Christopher D., Mattersteig, Gunter, Martin, Kai, Gherghel, Lileta, Bauer, Roland E. (March 2004). Nanosized Molecular Propellers by Cyclodehydrogenation of Polyphenylene Dendrimers. Journal of the American Chemical Society 126 (10): 3139–3147. PMID 15012144. DOI: 10.1021/ja036732j.
- ↑ Wang, Boyang, Král, Petr (2007). Chemically Tunable Nanoscale Propellers of Liquids. Physical Review Letters 98 (26): 266102. PMID 17678108. DOI: 10.1103/PhysRevLett.98.266102.
- ↑ Wang, B., Král, P. (2007). Chemically Tunable Nanoscale Propellers of Liquids. Physical Review Letters 98 (26): 266102. PMID 17678108. DOI: 10.1103/PhysRevLett.98.266102.
- ↑ a b Bissell, Richard A, Córdova, Emilio, Kaifer, Angel E., Stoddart, J. Fraser (12 May 1994). A chemically and electrochemically switchable molecular shuttle. Nature 369 (6476): 133–137. DOI: 10.1038/369133a0.
- ↑ Chatterjee, M. N., Kay, E. R., Leigh, D. A. (2006). Beyond Switches: Ratcheting a Particle Energetically Uphill with a Compartmentalized Molecular Machine. Journal of the American Chemical Society 128 (12): 4058–4073. PMID 16551115. DOI: 10.1021/ja057664z.
- ↑ Kassem, S., van Leeuwen, T., Lubbe, A. S., Wilson, M. R., Feringa, B. L. (2017). Artificial molecular motors. Chemical Society Reviews 46 (9): 2592–2621. PMID 28426052. DOI: 10.1039/C7CS00245A. Gearchiveerd van origineel op 16 augustus 2022.
- ↑ Klärner, Frank-Gerrit, Kahlert, Björn (December 2003). Molecular Tweezers and Clips as Synthetic Receptors. Molecular Recognition and Dynamics in Receptor−Substrate Complexes. Accounts of Chemical Research 36 (12): 919–932. PMID 14674783. DOI: 10.1021/ar0200448.
- ↑ Sygula, A., Fronczek, F. R., Sygula, R., Rabideau, P. W., Olmstead, M. M. (2007). A Double Concave Hydrocarbon Buckycatcher. Journal of the American Chemical Society 129 (13): 3842–3843. PMID 17348661. DOI: 10.1021/ja070616p.
- ↑ Yurke, Bernard, Turberfield, Andrew J., Mills, Allen P., Simmel, Friedrich C., Neumann, Jennifer L. (10 August 2000). A DNA-fuelled molecular machine made of DNA. Nature 406 (6796): 605–608. PMID 10949296. DOI: 10.1038/35020524.
- ↑ Shirai, Yasuhiro, Osgood, Andrew J., Zhao, Yuming, Kelly, Kevin F., Tour, James M. (November 2005). Directional Control in Thermally Driven Single-Molecule Nanocars. Nano Letters 5 (11): 2330–2334. PMID 16277478. DOI: 10.1021/nl051915k.
- ↑ Kudernac, Tibor, Ruangsupapichat, Nopporn, Parschau, Manfred, Maciá, Beatriz, Katsonis, Nathalie (10 november 2011). Electrically driven directional motion of a four-wheeled molecule on a metal surface. Nature 479 (7372): 208–211. PMID 22071765. DOI: 10.1038/nature10587.
- ↑ (fr) NanoCar Race : la course de petites voitures pour grands savants (30 november 2017). Gearchiveerd op 5 december 2024. Geraadpleegd op 2 december 2018.
- ↑ Golestanian, Ramin, Liverpool, Tanniemola B., Ajdari, Armand (10 juni 2005). Propulsion of a Molecular Machine by Asymmetric Distribution of Reaction Products. Physical Review Letters 94 (22): 220801. PMID 16090376. DOI: 10.1103/PhysRevLett.94.220801.
- ↑ (en) Drexler, K. Eric (1 januari 1999). Building molecular machine systems. Trends in Biotechnology 17 (1): 5–7. ISSN: 0167-7799. DOI: 10.1016/S0167-7799(98)01278-5. Gearchiveerd van origineel op 12 november 2024.
- ↑ Tabacchi, G., Silvi, S., Venturi, M. (2016). Dethreading of a Photoactive Azobenzene-Containing Molecular Axle from a Crown Ether Ring: A Computational Investigation. ChemPhysChem 17 (12): 1913–1919. PMID 26918775. DOI: 10.1002/cphc.201501160.
- ↑ Ikejiri, S., Takashima, Y., Osaki, M., Yamaguchi, H., Harada, A. (2018). Solvent-Free Photoresponsive Artificial Muscles Rapidly Driven by Molecular Machines. Journal of the American Chemical Society 140 (49): 17308–17315. PMID 30415536. DOI: 10.1021/jacs.8b11351.
- ↑ Iwaso, K., Takashima, Y., Harada, A. (2016). Fast response dry-type artificial molecular muscles with [c2]daisy chains. Nature Chemistry 8 (6): 625–632. PMID 27219709. DOI: 10.1038/nchem.2513.
- ↑ Orlova, T., Lancia, F., Loussert, C., Iamsaard, S., Katsonis, N. (2018). Revolving supramolecular chiral structures powered by light in nanomotor-doped liquid crystals. Nature Nanotechnology 13 (4): 304–308. PMID 29434262. DOI: 10.1038/s41565-017-0059-x. Gearchiveerd van origineel op 10 juni 2020.
- ↑ Hou, J., Long, G., Zhao, W., Zhou, G., Liu, D. (2022). Phototriggered Complex Motion by Programmable Construction of Light-Driven Molecular Motors in Liquid Crystal Networks. Journal of the American Chemical Society 144 (15): 6851–6860. PMID 35380815. PMC 9026258. DOI: 10.1021/jacs.2c01060.
- ↑ Terao, F., Morimoto, M., Irie, M. (2012). Light-Driven Molecular-Crystal Actuators: Rapid and Reversible Bending of Rodlike Mixed Crystals of Diarylethene Derivatives. Angewandte Chemie International Edition 51 (4): 901–904. PMID 22028196. DOI: 10.1002/anie.201105585.
- ↑ Vogelsberg, C. S., Garcia-Garibay, M. A. (2012). Crystalline molecular machines: function, phase order, dimensionality, and composition. Chemical Society Reviews 41 (5): 1892–1910. PMID 22012174. DOI: 10.1039/c1cs15197e.
- ↑ van Dijk, L., Tilby, M. J., Szpera, R., Smith, O. A., Bunce, H. A. P. (2018). Molecular machines for catalysis. Nature Reviews Chemistry 2 (3): 0117. DOI: 10.1038/s41570-018-0117. Gearchiveerd van origineel op 13 juni 2025.
- ↑ Neal, E. A., Goldup, S. M. (2014). Chemical consequences of mechanical bonding in catenanes and rotaxanes: isomerism, modification, catalysis and molecular machines for synthesis. Chemical Communications 50 (40): 5128–5142. PMID 24434901. DOI: 10.1039/C3CC47842D.
- ↑ Corra, S., Curcio, M., Baroncini, M., Silvi, S., Credi, A. (2020). Photoactivated Artificial Molecular Machines that Can Perform Tasks. Advanced Materials 32 (20): 1906064. PMID 31957172. DOI: 10.1002/adma.201906064.
- ↑ Moulin, E., Faour, L., Carmona‐Vargas, C. C., Giuseppone, N. (2020). From Molecular Machines to Stimuli‐Responsive Materials. Advanced Materials 32 (20): 1906036. PMID 31833132. DOI: 10.1002/adma.201906036.
- ↑ Zhang, Q., Qu, D.-H. (2016). Artificial Molecular Machine Immobilized Surfaces: A New Platform To Construct Functional Materials. ChemPhysChem 17 (12): 1759–1768. PMID 26717523. DOI: 10.1002/cphc.201501048.
- ↑ Aprahamian, I. (2020). The Future of Molecular Machines. ACS Central Science 6 (3): 347–358. PMID 32232135. PMC 7099591. DOI: 10.1021/acscentsci.0c00064.









