Een-reactie
De een-reactie of Alder-een-reactie is een organische reactie, meer bepaalde een pericyclische reactie (een sigmatrope omlegging) waarbij een alkeen met in de allylische positie een waterstofatoom reageert met een onverzadigde verbinding. Het alkeen wordt afgekort tot een en de andere component wordt aangeduid als het enofiel (vergelijkbaar met het diënofiel bij de diels-alderreactie). Dit enofiel kan zowel een alkeen, een alkyn of een onverzadigde verbinding met een heteroatoom (zoals een carbonylgroep of imine) zijn. De reactie werd voor het eerst beschreven in 1943 door de Duitse scheikundige Kurt Alder.
Ter activering van de reactie is een verhoogde temperatuur of een lewiszuur nodig. Elektronenarme enofielen vergemakkelijken de reactie, omdat de interactie (formeel het energieverschil) tussen de HOMO van het alkeen en de LUMO van het enofiel gunstiger wordt. Een geschikt enofiel is maleïnezuuranhydride, dat ook in de diels-alderreactie kan gebruikt worden.
Reactiemechanisme
In de een-reactie zijn er in totaal 6 elektronen die verschuiven: 4 hiervan komen uit een π-binding en 2 komen uit de zwakke allylische waterstofbinding. Hoe hoger de substitutiegraad aan het allylisch koolstofatoom, des te moeizamer de reactie verloopt. Het gehele proces verloopt geconcerteerd:

Intramoleculaire reacties verlopen in de meeste gevallen vlotter dan intermoleculaire. Als activerende reagentia kunnen klassiek lewiszuren, zoals aluminiumchloride of boortrifluoride, aangewend worden. Dit lewiszuur activeert het enofiel.
Hetero-een-reactie
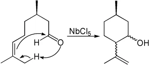
Naast de klassieke een-reactie met een alkeen of alkyn als enofiel kunnen ook andere onverzadigde verbindingen worden gebruikt. De meest toegepaste reagentia zijn carbonylgroepen, maar ook imines of thioketonen kunnen deelnemen aan de reactie. Een voorbeeld uit de organoniobiumchemie is de intramoleculaire een-reactie van citronellal met niobium(V)chloride als katalysator:[1]

Retro-een-reactie
Niet alleen de voorwaartse reactie, maar ook de teruggaande reactie kan doorgaan: dit wordt een retro-een-reactie genoemd. Typische substraten die deze retro-reactie kunnen aangaan bezitten een hoge ringspanning, zoals vinylcyclopropaanderivaten:

Een verwante reactie is de vinylcyclopropaan-cyclopenteen-omlegging.
Schenck-een-reactie
De Schenck-een-reactie is een variant van de klassieke een-reactie waarbij als enofiel singletzuurstof wordt ingezet. De reactie werd in 1954 beschreven.[2] Hierbij wordt een hydroperoxide gevormd:
