Sigmatrope omlegging
Een sigmatrope omlegging is in de organische chemie een pericyclische reactie waarbij de netto reactie neerkomt op het verplaatsen van een sigma-binding.[1] Bij dit type omleggingsreacties verschuift een substituent van het ene deel van een pi-systeem naar een ander gedeelte van dat systeem in een intramoleculaire reactie. Tegelijkertijd vindt ook een verschuiving van het pi-systeem plaats. Meestal verlopen sigmatrope reacties zonder katalysatoren, al zijn voorbeelden bekend waarbij lewiszuren als zodanig optreden.
Indeling en naamgeving
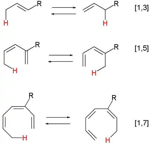
Sigmatrope omleggingen worden onderverdeeld naar de substituent (meestal een waterstof of methylgroep) die verschuift en de orde van de verschuiving (meestal wordt de Engelse term shift gebruikt), die tussen vierkante haakjes wordt weergegeven met [i,j]. De nummering start hierbij met de sigma-binding die gebroken worden en verloopt via het π-systeem of de ring tot de plaats waar de sigma-binding gevormd wordt. Bijvoorbeeld: in een [1,5]-hydrideshift betekent dat een waterstofatoom van positie 1 opschuift naar positie 5 (vanaf het proton de laatste positie van het pi-systeem). Is de som van i en j even dan is dit een indicatie voor het omleggen van een neutrale, alleen uit koolstofatomen bestaande keten. Een oneven som wijst op geladen koolstofatomen of het voorkomen van elektronen uit een vrij elektronenpaar van een heteroatoom in de keten (bijvoorbeeld zuurstof, stikstof of zwavel). Hierdoor worden [1,5]- en [3,3]-shifts omgezet in [1,4]- en [2,3]-shifts als heteroatomen deelnemen in de keten; de symmetrie-regels blijven wel gelden.
De meest bekende sigmatrope omleggingen zijn de [3,3]-sigmatrope omlegging (Cope-omlegging, Claisen-omlegging en Carroll-omlegging) en de Fischer-indoolsynthese. De Gassman-indoolsynthese is een [2,3]-sigmatrope omlegging.
De waterstof-shifts en methyl-shifts zijn ook sigmatrope reacties. Waterstof-shifts treden op naar 4n+1 posities op een suprafaciale manier, naar 4n+3 wordt het product van de antarafaciale reactie gevormd, al treedt dit bij 3 (n = 0) niet op in verband met de sterische onmogelijkheid (het molecule is niet flexibel genoeg om zover te vouwen).

Verklaring via moleculaire orbitalen
Een van de bekendste [1,5]-waterstof-shiftsystemen is cyclopentadieen. De optredende waterstof-shift heeft tot gevolg dat waterstofatomen langs de volledige ring kunnen verschuiven:

Een voorbeeld van een antarafaciale [1,7]-waterstof-shift wordt gevonden in de omzetting van lumisterol in vitamine D.
Methylshifts treden op naar 4n+3 posities op een suprafaciale manier met inversie van de stereochemie:

- ↑ (en) F.A. Carey & R.J. Sundberg - Advanced Organic Chemistry (Part A) - ISBN 0-306-41198-9