Doebner-reactie
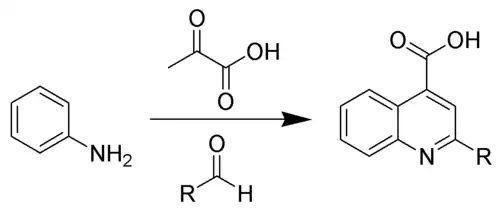
De Doebner-reactie is een methode voor de synthese van carbonzuurderivaten van chinoline. Daarbij worden aniline (of een anilinederivaat), een aldehyde en pyrodruivenzuur met elkaar in reactie gebracht:

De reactie werd vernoemd naar de Duitse scheikundige Oscar Doebner (1850-1907).