Doebner-Miller-reactie
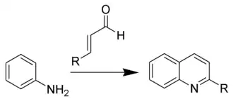
De Doebner-Miller-reactie is een methode voor de synthese van chinoline en derivaten. Deze methode gebruikt daartoe de reactie van (derivaten van) benzeenamine met α,β-onverzadigde carbonylverbindingen.

De reactie staat ook bekend als de Skraup-Doebner-Von Miller-chinolinesynthese en werd vernoemd naar de Tsjechische scheikundige Zdenko Hans Skraup (1850-1910) en de Duitse scheikundigen Oscar Doebner (1850-1907) en Wilhelm von Miller (1848-1899). Wanneer de α,β-onverzadigde carbonylverbinding in situ wordt bereid uit een aldolcondensatie van twee carbonylverbindingen, dan wordt de reactie de Beyer-methode genoemd.
De reactie wordt gekatalyseerd door lewiszuren, zoals tin(IV)chloride en scandiumtriflaat, of door brønstedzuren zoals p-tolueensulfonzuur, waterstofperchloraat en door di-jood.
Reactiemechanisme
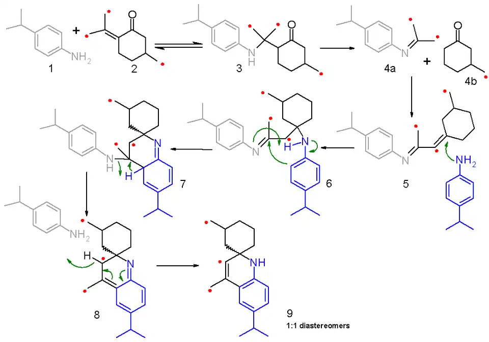
Het reactiemechanisme van deze en gerelateerde reacties zijn een onderwerp van discussie. Een onderzoek uit 2006 stelt op basis van een isotopische labelling van koolstofatomen een fragmentatie-recombinatie-mechanisme voor.[1] Daarbij wordt 4-isopropylaniline (1) in reactie gebracht met een 50:50-mengsel van pulegon en diens met 14C-verrijkt isotopoloog (2) (in het mechanisme aangeduid met een rode stip). De eerste stap is een reversibele nucleofiele geconjugeerde additie van een amine aan een enol tot het aminoketon 3. Dit intermediair fragmenteert tot een imine (4a) en 3-methylcyclohexanon (4b) in een irreversibele reactie. Beide fragmenten ondergaan een condensatiereactie tot het geconjugeerd imine 5. In de volgende stap addeert een tweede molecule 4-isopropylaniline aan het geconjugeerd imine, waarbij imine 6 ontstaat. Een daaropvolgende protontransfer leidt tot vorming van het cyclisch imine 7. De hieropvolgende eliminatie van het aniline leidt tot vorming van het intermediair 8, dat rearomatiseert tot het eindproduct (9). Aangezien er bij deze reactie geen α-amino-protonen aanwezig zijn, ontstaat niet de volledig onverzadigde verbinding.

Zie ook
- ↑ (en) S.E. Denmark & S. Venkatraman (2006) - On the Mechanism of the Skraup-Doebner-Von Miller Quinoline Synthesis, J. Org. Chem., 71(4), pp. 1668 - 1676