| chi-kwadraatverdeling
|
Kansdichtheid
|
Verdelingsfunctie
|
| Parameters
|
vrijheidsgraden
|
| Drager
|
|
| Kansdichtheid
|
|
| Verdelingsfunctie
|
|
| Verwachtingswaarde
|
|
| Mediaan
|
bij benadering
|
| Modus
|
als
|
| Variantie
|
|
| Scheefheid
|
|
| Kurtosis
|
|
| Entropie
|
|
Moment- genererende functie
|
voor
|
| Karakteristieke functie
|
|
Portaal
|
Wiskunde
|
|
De chi-kwadraatverdeling of χ2-verdeling is afgeleid van de normale verdeling en verbonden met de verdeling van de steekproefvariantie van een aselecte steekproef uit een normale verdeling. Het is de verdeling van de som van de kwadraten van
onderling onafhankelijke standaard-normaal verdeelde variabelen
, dus van:

De parameter
wordt het aantal vrijheidsgraden genoemd. De chi-kwadraatverdeling is een speciaal geval van de gamma-verdeling.
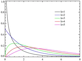
Kansdichtheid
De kansdichtheid
van de chi-kwadraatverdeling met
vrijheidsgraden wordt voor
gegeven door

De verdelingsfunctie is:


Daarin is
de onvolledige gammafunctie.
Eigenschappen
De verwachtingswaarde van de chi-kwadraatverdeling met
vrijheidsgraden is juist gelijk aan
en de variantie is
.
Toepassing
Voor de (gebruikelijke) steekproefvariantie

van een aselecte steekproef van omvang
uit een
-verdeling volgt uit de stelling van Cochran dat:

Dit is geen bijzonderheid, want de chi-kwadraatverdeling is juist ontwikkeld als de verdeling van deze grootheid. Dit kan enigszins plausibel gemaakt worden door te schrijven:

waarin alle
's standaardnormaal verdeeld zijn. Nu kan bewezen worden dat
en
onderling onafhankelijk zijn, en dus ook
en
.
Aangezien:

en

volgt het gestelde.
Afleiding van de dichtheid
De dichtheid van de toevalsvariabele
, waarin
onderling onafhankelijk en standaardnormaal verdeeld zijn, volgt uit de simultane dichtheid van
. Deze simultane dichtheid is het
-voudige product van de standaardnormale dichtheid:

Voor de gezochte dichtheid geldt:

met
In de limiet is die som in de e-macht gelijk aan
, en daarom kan de e-macht buiten de integraal en voor de limiet gehaald worden.
De resterende integraal

is het volume van de bolschil tussen de bol met straal
en de bol met straal
.

stelt het volume voor van de
-dimensionale bol met straal
.
Dus is:

en na invullen in de uitdrukking voor de gezochte dichtheid volgt:
