Babler-oxidatie
De Babler-oxidatie is een organische reactie waarbij een tertiair allylisch alcohol met pyridiniumchlorochromaat (PCC) wordt geoxideerd tot een enon:[1]

In het geval van een alfa-alkeen wordt een geconjugeerd aldehyde gevormd, in het andere geval een geconjugeerd keton. De reactie dient te worden uitgevoerd in een droog oplosmiddel, zoals dichloormethaan of chloroform.
Reactiemechanisme
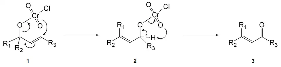
De reactie start met de vorming van een chromaatester (1), waarna een [3,3]-sigmatrope omlegging optreedt tot een nieuwe chromaatester (2). Deze ondergaat een oxidatie tot het geconjugeerd enon (3):

Als alternatief voor PCC kan ook TEMPO worden aangewend.[2]
Zie ook
Bronnen, noten en/of referenties
- ↑ (en) J.H. Babler & M.J. Coghlan (1976). A Facile Method for the Bishomologation of Ketones to α,β-Unsaturated Aldehydes: Application to the Synthesis of the Cyclohexanoid Components of the Boll Weevil Sex Attractant. Synth. Commun. 6 (7): 469-474. DOI: 10.1080/00397917608082626.
- ↑ (en) M. Shibuya, M. Tomizawa & Y. Iwabuchi (2008). Oxidative Rearrangement of Tertiary Allylic Alcohols Employing Oxoammonium Salts. J. Org. Chem. 73 (12): 4750-4752. DOI: 10.1021/jo800634r.