Aramide


De aramiden zijn een groep polymeren (met name polyamiden met aromatisch karakter) die hittebestendig zijn en/of een grote treksterkte hebben. De individuele polymeren zijn een aaneenschakeling van benzeenringen en amidegroepen. De naam is dan ook een samentrekking van 'aromatisch' en 'amide'. Er zijn twee belangrijke soorten aramiden die commercieel worden geproduceerd: para-aramiden en meta-aramiden.
De eerste vormen vezels die relatief gemakkelijk 'oplijnen' en die mede daardoor een hoge treksterkte hebben, vandaar dat ze ook wel supervezels worden genoemd. Deze aramiden worden onder meer gebruikt voor kogel- en scherfwerende vesten. Ze zijn beter bekend onder de merknamen Kevlar (DuPont) en Twaron (Teijin, voorheen AKZO). Tussen AKZO en Dupont hebben jarenlang rechtszaken gespeeld, omdat beide bedrijven octrooien bezaten voor de productie van aramidevezels. Uiteindelijk werd begin jaren negentig een schikking getroffen.
De meta-aramiden lijnen niet op. Ze vormen vezels die lichter en soepeler zijn. Deze zijn minder sterk dan de para-aramidevezels, maar ze zijn wel bijzonder vlamvertragend en hittebestendig. Ze worden onder meer gebruikt in vlambestendige kleding. Men kan er ook een soort papier van maken dat elektrisch isolerend is. Bekende merknamen zijn Nomex (DuPont) en Teijinconex (Teijin). Daarnaast is er nog een para-aramide-copolymeer, door Teijin verhandeld onder de naam Technora.
Chemisch gezien is aramide verwant met nylon, dat ook een polyamide is. Specifiek is de aanwezigheid van een aromatische groep (benzeenring) in de keten waar bij nylon een enkelvoudige reeks koolstofatomen zit.
Para-aramide

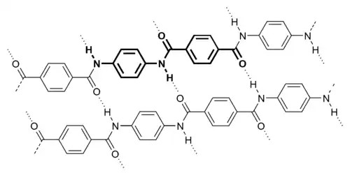
.... = de waterstofbruggen tussen de ketens onderling
Vezels gesponnen uit para-aramide hebben een bijzonder grote treksterkte, een laag gewicht en kleine rek en ze zijn bestand tegen relatief hoge temperaturen. De treksterkte van para-aramidevezels is ongeveer 5 tot 8 keer zo hoog als die van staal bij gelijk gewicht.
De structuurformule van para-aramide is hiernaast weergegeven. Ook de waterstofbruggen tussen de ketens onderling zijn getoond. Deze zijn medeverantwoordelijk voor de grote sterkte van de vezel.
Para-aramiden worden toegepast waar de hoge treksterkte een essentiële eigenschap is. De bekendste toepassing is in kogel- en scherfwerende vesten, maar ook in hijskabels wordt Kevlar of Twaron wel toegepast. Draden van para-aramide corroderen niet en hun sterkte wordt niet aangetast door onderdompeling in water. De kracht om kogels te stoppen neemt echter wel af als het aramide nat is, tenzij dit speciaal waterbestendig gemaakt is.
Wanneer het polymeer gesponnen wordt, resulteert dit in een para-aramide met een enorme trekkracht die hitte- en snijbestendig is.
Productieproces
-Synthese.svg.png)

Het proces om para-aramidevezels te produceren bestaat uit drie stappen:
- Het synthetiseren van de aramidepolymeren in een geschikt oplosmiddel
- Het overbrengen van deze polymeren in een voor spinning geschikt oplosmiddel (een spin solvent) zodat er garens van kunnen worden gesponnen
- Het spinnen van de garens door extrusie van de oplossing
Voor de synthese gebruikt men 1,4-diaminobenzeen en tereftaalzuurdichloride. Vanwege de stijfheid van de gevormde polymeerketens is de keuze van het oplosmiddel waarin de reactie plaatsvindt cruciaal. De polymeren moeten in oplossing blijven en lang genoeg kunnen worden. DuPont gebruikte hiervoor oorspronkelijk hexamethylfosfortriamide (HMPT), maar dat is tamelijk duur. AKZO patenteerde in 1975 een productiewijze die een mengsel gebruikt van N-methylpyrrolidon en 5% calciumchloride (NL157327). Dit leidde tot een 'octrooioorlog' tussen DuPont en AKZO: HMPT bleek ook nog schadelijk voor mens en milieu en DuPont schakelde daarom over op het al door AKZO geoctrooieerde proces. De United States International Trade Commission verbood in 1985 de verkoop van aramidevezels in de VS door AKZO en wereldwijd werden rechtszaken aangespannen.[1] In 1988 werd tussen DuPont en Akzo een overeenkomst gesloten, waarbij zij hun octrooien in licentie gaven aan elkaar.[2]
Om de gevormde polymeren te kunnen spinnen, wordt eerst het oplosmiddel uit de polymeren gewassen, waarna het geheel wordt gedroogd. De ontstane droge massa wordt dan opgelost in watervrij zwavelzuur. Hierbij ontstaat een oplossing met de gewenste eigenschappen voor het spinnen van vezels. Na het spinnen wordt het zwavelzuur uit de gesponnen vezels gewassen en worden de vezels gedroogd.
Para-aramide-copolymeren
Door de monomeren op een iets andere manier aan elkaar te koppelen, met deels ethergroepen in plaats van amiden, ontstaat een para-aramidevariant die een copolymeer vormt. In plaats van ...-[HN-Ar-NH-OC-Ar-CO]n-... heeft men dan een structuur als ...-[HN-Ar-NH-OC-Ar-CO]n-[HN-Ar-O-Ar-NH-OC-Ar-CO]m-... Deze variant, door Teijin op de markt gebracht onder de naam Technora, is ongeveer 10% sterker dan Twaron en Kevlar, maar is niet geschikt voor kogelwerende vesten of asbestvervanging.
Meta-aramide
Stoffen uit meta-aramide zijn vooral in gebruik vanwege de vlamvertragende en hittebestendige eigenschappen. Zij worden vooral gebruikt als hittebestendig textiel in brandwerende kleding. Men vindt deze stoffen dan ook in brandweerkleding en in de overalls van autocoureurs.
Papier van meta-aramidevezels is een goede isolator en wordt daarom gebruikt in de elektrotechniek, voor onder meer elektromotoren, generatoren en transformatoren.
Geschiedenis
De eerste aramiden werden in de jaren vijftig gesynthetiseerd bij het Amerikaanse chemiebedrijf DuPont. Dit waren meta-aramiden, die door DuPont onder de naam Nomex op de markt werden gebracht.

In 1964 synthetiseerde Stephanie Kwolek, eveneens bij DuPont, para-aramiden. Een oplossing van dit polymeer vormt vloeibare kristallen waardoor uit deze oplossing zeer sterke vezels konden worden gesponnen.
Naast DuPont heeft ook AKZO dit polymeer in die tijd weten te spinnen op laboratoriumschaal. Over de octrooirechten op de productie van para-aramiden is een jarenlange juridische strijd geweest tussen de beide firma's. Later in de jaren zeventig heeft AKZO dit product op de markt gebracht onder de naam Twaron. De productie daarvan is nu onderdeel van Teijin Aramid. Het hoofdkantoor van het bedrijf bevindt zich in Arnhem en de productie van het polymeer en het garen gebeurt respectievelijk in Delfzijl en Emmen. In 1976 is de eerste pilot-plant voor Twaron gebouwd, en in 1985 waren negen productie-units operationeel op drie locaties.
Het para-aramide-copolymeer Technora werd ontwikkeld door Teijin in Japan. Ook de productie hiervan is nu bij Teijin Aramid ondergebracht.
Belangrijkste toepassingen
Aramidevezels worden onder andere gebruikt in kogel- en scherfwerende vesten, sleep- en hijskabels, zeilen voor competitieboten, kano's en kajaks, brandwerende kleding, remvoeringen en sterke en lichte composieten. Het wordt ook gebruikt voor uitrusting voor extreme sporten, beschermende kleding voor dierenverzorgers, composietmaterialen voor vliegtuigen, lekvrije fietsbanden, bootzeilen, ter vervanging van asbest, soms in luidsprekers en recent ook in de bladen van modelhelikopters.
- Beschermende kleding en andere persoonlijke beschermingsmiddelen
- Vlamdovende kleding
- Helmen
- Snijbestendige handschoenen
- Veiligheidsschoenen
- Sportartikelen
- Kogelwerende vesten
- Composietmaterialen
- Auto-industrie
- Remblokken
- Turboslangen
- Tandriemen en V-riemen
- Versterking van rubber (o.a. in luchtbanden)
- Kabels en buizen
Zie ook
- Dyneema, een andere supersterke vezel, die niet op aramide gebaseerd is
- Koolstofvezel
- Supervezel
- ↑ Du Pont to defend Kevlar use, The New York Times, 21 april 1986. Gearchiveerd op 28 augustus 2020.
- ↑ COMPANY NEWS; Akzo-Du Pont Deal Ends 11-Year Fight, The New York Times, 11 mei 1988. Gearchiveerd op 28 augustus 2020.