I am trying to get an exponential of a sum from the product of exponentials using SymPy. It seems to work for any base, but e (Euler number).
Example of code with a generic base for the exponential:
from sympy import symbols, Function
from sympy import Product, E, pi, exp
i,n,base=symbols('i n base')
f=Function('f')
P=Product(base**f(i),(i,1,n))
P.doit()
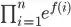
P is the following expression:

and after applying doit(), it becames:

This code works for any base. I tested it with a number (eg.3.0), a variable (eg. x,base) or a constant defined in SymPy (eg. pi). Just when base=euler number, the doit() does not work.
P=Product(E**f(i),(i,1,n))
P.doit()
or
P=Product(exp(f(i)),(i,1,n))
P.doit()
the result is still:
and not

A work around could be to subs e with a variable like base and to make the opposite substitution at the end.
But is there any better solution?
Versions: python 3.7.4, SymPy 1.4