0

I am trying to fit an exponential CDF to my data to see if it is a good fit/develop an equation from the fit, but am not sure how since I think scipy.stats fits the PDF, not the CDF. If I have the data below:

eta = [1,0.5,0.3,0.25,0.2];
q = [1e-9,9.9981e-10,9.9504e-10,9.7905e-10,9.492e-10];

How do I fit an exponential CDF to the data? Or how do find the distribution that fits the data the best?

mj1496
  • 61
  • 1
  • 9

1 Answers1

0

You can define a general exp function, and use curve_fit from scipy.optimize:

import matplotlib.pyplot as plt
import numpy as np
from scipy.optimize import curve_fit

def exp_func(x, a, b, c):
    return a * np.exp(-b * x) + c

eta = np.array([1,0.5,0.3,0.25,0.2])
cdf = np.array([1e-9,9.9981e-10,9.9504e-10,9.7905e-10,9.492e-10])
popt, pcov = curve_fit(exp_func, eta, cdf)
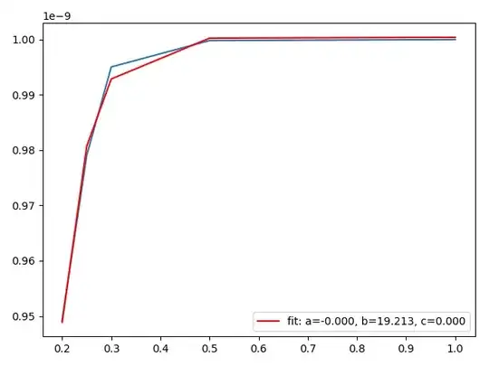
plt.plot(eta, cdf)
plt.plot(eta, exp_func(eta, *popt), 'r-', label='fit: a=%5.3f, b=%5.3f, c=%5.3f' % tuple(popt))
plt.legend()
plt.show()

And you'll get an exp function which is very similar to your values: enter image description here

From the fitted parameters, you can see the function is y=np.exp(-19.213 * x).

* Update *

If you want to make sure this is really a CDF function, you'll need to calculate the pdf (by taking the derivative):

x = np.linspace(0, 1, 1000)
cdf_fit = exp_func(x, *popt)
cdf_diff = np.r_[cdf_fit[0], np.diff(cdf_fit)]

You can do a sanity check:

plt.plot(x, np.cumsum(cdf_diff))

And then use scipy to fit the pdf to an exponent distribution:

from scipy.stats import expon
params = expon.fit(cdf_diff)
pdf_fit = expon.pdf(x, *params)

I must warn you the something doesn't sum up. pdf_fit doesn't align with cdf_diff. Maybe your CDF isn't a real distribution function? The last value of a CDF should be 1.

Noam Peled
  • 4,484
  • 5
  • 43
  • 48
  • Thanks! Is there a way to test that fit with the fits of other distributions? Or would I have to change the defined function and manually test other fits? – mj1496 Feb 24 '19 at 03:44
  • I think you can use the same exp function (exp_func) with other distributions if you think they are exponential. – Noam Peled Feb 24 '19 at 04:04
  • Since my data may not be a CDF distribution, is there a way I can best fit any distribution to the data that gives the least error? – mj1496 Feb 24 '19 at 15:06
  • Take a look at this StackOverflow answer: https://stackoverflow.com/a/37616966/1060738 – Noam Peled Feb 24 '19 at 15:52
  • so long as the function has its last value set to 1 and is monotonically increasing (https://en.wikipedia.org/wiki/Monotonic_function#In_calculus_and_analysis), it is a valid CDF. don't need to take any derivatives. Ideally, the first value is 0, but this is not strictly required. – Quantum Guy 123 May 10 '22 at 17:25
  • I think you swapped the OPs x and y variables. – Quantum Guy 123 May 10 '22 at 21:42