I have put together a function for finding combinations using recursion without hitting the built in limit in python. For example you could calculate: choose(1000, 500). This is how it looks right now:
def choose(n, k):
if not k:
return 1 .
elif n < k:
return 0
else:
return ((n + 1 - k) / k) * choose(n, k - 1)
It works exactly how I want it to work. If k is 0 then return 1 and if n is less then k then return 0 (this is according to the mathematical definitions I found on wikipedia). However, the problem is that I don't quite understand the last row (found it when I was browsing the web). Before the last row I'm using at the moment, this was the last row I had in the function:
return choose(n-1,k-1) + choose(n-1, k)
Which I also found on wikipedia (though I don't think I understand this one a 100% as well). But it would always result in an error because of the built in limitation in python, whereas the new line I'm using does not result in such an error. I understand that the new line works much more efficient with the program, because we for example don't split it up to two subproblems.
So again.. what I'm asking is if there are any kind souls out there that could explain (in an understandable manner) how this line of code works in the function:
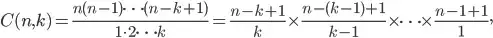
return ((n + 1 - k) / k) * choose(n, k - 1)


