2

I ran into the following problem:

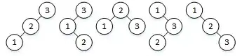
Given a positive integer n, generate all binary search trees with nodes 1, 2, ..., n.

For example, given 3, one obtains:

                                   enter image description here

I am doing the following:

Generate all the permutations of the sequence (1, 2, ..., n).
For each permutation p:
    Create a tree t.
    For each number n in p:
        Insert n into t.
    If t has not yet been generated, keep it. <-- Expensive Operation

However, this approach is slow because duplicate trees are generated (for n = 3, (2, 1, 3) and (2, 3, 1) generate the same tree), and I need to ensure they are not kept. Would someone point me toward a faster approach?

wjmolina
  • 2,625
  • 2
  • 26
  • 35

1 Answers1

5

Here is pseudo code to do it without duplicates(But u would still need lots of space because no of tree generate is high).

TreeList void genAllBST(int high,int low) {

  if(high>=low) {
      currList = []
      for(int i=low;i<=high;i++) {
          curr = new Node(i);
          leftList = genAllBST(i-1,low);
          rightList = genAllBST(high,i+1);
          TreeList c = connect(curr,leftList,rightList);  
          currList.add(c);
      }

     return(currList);

  }

   return(null);
}

genAllBST(n,1);
Vikram Bhat
  • 6,106
  • 3
  • 20
  • 19
  • Could you please define "TreeList", "ConnectedList", and "connect"? Thanks. – Scott Odle Nov 07 '14 at 00:39
  • @ScottOdle TreeList is list of trees with point to their roots , ConnectedList should be TreeList sorry for that , connect function makes all possible trees with curr as root and one from leftList as left subtree and one from rightList as right subtree – Vikram Bhat Nov 07 '14 at 06:03