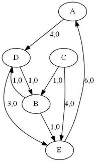
Here is an example of my problem.

I would like to code this in C# in such a way so that I may interrogate the structure and find information such as:
- Total distance from A to B.
- Shortest distance from A to E (keeping in mind you can't go against the arrow's direction).
So I thought I would use an Adjacency List to model my graph, but then I thought this is a common thing, and started looking for libraries to help quicken the process (no need to re-invent the wheel .. etc.)
I came across this Library that was recommended a couple of time on various topics, but I am finding it real hard modelling my drawn graph above.
