190

The Binary Tree here is may not necessarily be a Binary Search Tree.
The structure could be taken as -

struct node {
    int data;
    struct node *left;
    struct node *right;
};

The maximum solution I could work out with a friend was something of this sort -
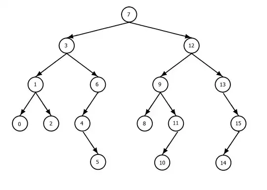
Consider this binary tree :

Binary Tree

The inorder traversal yields - 8, 4, 9, 2, 5, 1, 6, 3, 7

And the postorder traversal yields - 8, 9, 4, 5, 2, 6, 7, 3, 1

So for instance, if we want to find the common ancestor of nodes 8 and 5, then we make a list of all the nodes which are between 8 and 5 in the inorder tree traversal, which in this case happens to be [4, 9, 2]. Then we check which node in this list appears last in the postorder traversal, which is 2. Hence the common ancestor for 8 and 5 is 2.

The complexity for this algorithm, I believe is O(n) (O(n) for inorder/postorder traversals, the rest of the steps again being O(n) since they are nothing more than simple iterations in arrays). But there is a strong chance that this is wrong. :-)

But this is a very crude approach, and I'm not sure if it breaks down for some case. Is there any other (possibly more optimal) solution to this problem?

Glorfindel
  • 21,988
  • 13
  • 81
  • 109
Siddhant
  • 2,535
  • 4
  • 20
  • 22
  • 6
    Out of curiosity, what is the practical use of this? – David Brunelle Feb 10 '10 at 13:49
  • 19
    @David: LCA query answering is pretty useful. LCA + Suffix tree = powerful string related algorithms. –  May 17 '10 at 19:59
  • 44
    And when I asked a similar question it got voted down with comments like its interview question. Duality of SO? :( – some_other_guy Aug 24 '12 at 11:15
  • I think your code will break when we try to find the LCA for any parent and its right child. Eg - LCA for 1 and 7 will be null but according to your code it will be 3. – Love Gupta Feb 27 '13 at 10:27
  • 5
    @Siddant +1 for the details given in the question. :) – amod Mar 08 '13 at 22:40
  • @LoveGupta How do you compute that? The list of the nodes between 1 and 7 in the in-order traversal is [1, 6, 3, 7]. Of those nodes, node 1 appears last in the post-order traversal. Thus, it computes that the LCA of nodes 1 and 7 is 1, which is correct. – John Kurlak Jul 15 '13 at 07:47
  • this logic will fail if you'll take nodes 9 and 7 – Sagiv Ofek Jan 12 '14 at 22:32
  • @sagivo why do you say that? Following the method outlined in the post, we need to look at the right-most element out of {2,5,1,6,3} in the post-order tree. This element is 1, which also happens to be the LCA of 9 and 7. – ars-longa-vita-brevis Feb 21 '14 at 04:00
  • 1
    Where it will fail is when looking at a pair like 4 and 9 (which, I think is what @LoveGupta was getting at). But that is easily resolved. Simply make the first step (where you're picking elements out of the inorder tree) inclusive of the nodes being considered (and not just the ones _in between_). So, you get {4,9} out of the inorder tree and the rightmost element of those 2 in the postorder tree is 4, which is what we want. – ars-longa-vita-brevis Feb 21 '14 at 04:03
  • @neeraj2808 - Yeah you are right for this code to work on all the cases we need to include the elements while considering any set. :) – Love Gupta Mar 07 '14 at 06:51
  • 5
    @DavidBrunelle One practical application of computing the LCA: it is an essential calculation when rendering web pages, specifically when computing the Cascading Style Sheets (CSS) that is applicable to a particular DOM element. – zc22 Jun 07 '14 at 14:37
  • 1
    your solution is cool! it help me understand the property of inorder and postorder traverse! – camino Aug 24 '16 at 01:10

34 Answers34

109

Starting from root node and moving downwards if you find any node that has either p or q as its direct child then it is the LCA. (edit - this should be if p or q is the node's value, return it. Otherwise it will fail when one of p or q is a direct child of the other.)

Else if you find a node with p in its right(or left) subtree and q in its left(or right) subtree then it is the LCA.

The fixed code looks like:

treeNodePtr findLCA(treeNodePtr root, treeNodePtr p, treeNodePtr q) {

        // no root no LCA.
        if(!root) {
                return NULL;
        }

        // if either p or q is the root then root is LCA.
        if(root==p || root==q) {
                return root;
        } else {
                // get LCA of p and q in left subtree.
                treeNodePtr l=findLCA(root->left , p , q);

                // get LCA of p and q in right subtree.
                treeNodePtr r=findLCA(root->right , p, q);

                // if one of p or q is in leftsubtree and other is in right
                // then root it the LCA.
                if(l && r) {
                        return root;
                }
                // else if l is not null, l is LCA.
                else if(l) {
                        return l;
                } else {
                        return r;
                }
        }
}

The below code fails when either is the direct child of other.

treeNodePtr findLCA(treeNodePtr root, treeNodePtr p, treeNodePtr q) {

        // no root no LCA.
        if(!root) {
                return NULL;
        }

        // if either p or q is direct child of root then root is LCA.
        if(root->left==p || root->left==q || 
           root->right ==p || root->right ==q) {
                return root;
        } else {
                // get LCA of p and q in left subtree.
                treeNodePtr l=findLCA(root->left , p , q);

                // get LCA of p and q in right subtree.
                treeNodePtr r=findLCA(root->right , p, q);

                // if one of p or q is in leftsubtree and other is in right
                // then root it the LCA.
                if(l && r) {
                        return root;
                }
                // else if l is not null, l is LCA.
                else if(l) {
                        return l;
                } else {
                        return r;
                }
        }
}

Code In Action

Cœur
  • 37,241
  • 25
  • 195
  • 267
codaddict
  • 445,704
  • 82
  • 492
  • 529
  • 3
    elegant solution, but the root==p || root==q => return root bit seems overoptimistic. What if it turns out root is p/q, but the other sought-for node is not actually in the tree? – Ian Durkan Jun 03 '11 at 02:12
  • @codaddict What will be the time complexity of this solution? – Rohit Jain Jul 08 '11 at 00:18
  • 16
    I guess this code fails when p or q is a value which is not in the binary tree. Am I right? For example LCA(8,20). ur code returns 8. but 20 is not present in binary tree – javaMan Nov 20 '11 at 13:42
  • 1
    @ravi build a wrapper around the code about that passes 2 parameter to it say flag 1 and flag2. Both are initially false, and when u find a node set flag to true. Now in the wrapper check if both the flags are set to true, if they are then return the value returned by this function or else return null or another way to do it could be create a search function that will first locate those 2 nodes in the tree, if found then find LCA else return null. However, this will increase the number of passes. – prap19 Nov 26 '11 at 15:40
  • 1
    @ravi & @ downvoter: The question is "How can I find the common ancestor of two nodes **in** a binary tree?" – codaddict Nov 26 '11 at 16:32
  • as @ravi said, It's gonna fail when node is not in the tree – Anders Lind Feb 16 '12 at 07:35
  • 3
    What's the cost for this solution? Is it efficient? It appears to continue searching even after it has found both p and q. Is that because of the possibility that p and q might not be unique in the tree since it's not a BST and may contain duplicates? – MikeB Jan 22 '13 at 14:57
  • This is NOT efficient. – Peter Lee Oct 06 '13 at 04:15
  • 3
    @MikeB, this solution is definitely O(n), because you traverse each node only once in the worst case. Peter Lee, this is the most efficient you can make it without using parent pointers. Do you have a better solution? – gsgx May 30 '14 at 21:08
  • 8
    the first imperfect solution should be deleted so that it's not distracting – Ascendant Aug 15 '14 at 18:32
  • 1
    @javaMan yes you are right if the node is not present in the tree, this would fail. However before invoking this, we can invoke another method, to check if the nodes are present in the tree. if true then invoke the method else not. Yes definitely this will add O(n) extra but would not change the complexity since O(n) + O(n) = O(n). – Sumit Trehan Jul 28 '15 at 11:24
  • @Sumit Trehan - Thanks! The O(n) explanation was spot on. – Quest Monger Aug 31 '15 at 05:45
  • Here is the Java version of above code (formatting is foobar but i didnt want to post another reply and steal the thunder of this answer) -----> private Node findLCA(Node root, Node p, Node q) { if (root == null) { return null; } if (root == p || root == q ) { return root; } Node foundLeft = findLCA(root.left, p, q); Node foundRight = findLCA(root.right, p, q); if(foundLeft != null && foundRight != null){ return root; } if(foundLeft != null){ return foundLeft; } if(foundRight != null){ return foundRight; } return null; } – Quest Monger Aug 31 '15 at 05:46
  • Your definition of findLCA() is inconsistent. In the highest level function call, you assume that both nodes are in the tree. However, in this line `treeNodePtr l=findLCA(root->left , p , q);` you assume that when only one node is present in the tree, the function returns that node. Then since you expands the definition of this function to account for this case, it should appear in the overall logic. BUT I do not see the main function body explicitly specifies what should return when there's only one node in the tree. – yuqli Feb 07 '20 at 01:25
74

Nick Johnson is correct that a an O(n) time complexity algorithm is the best you can do if you have no parent pointers.) For a simple recursive version of that algorithm see the code in Kinding's post which runs in O(n) time.

But keep in mind that if your nodes have parent pointers, an improved algorithm is possible. For both nodes in question construct a list containing the path from root to the node by starting at the node, and front inserting the parent.

So for 8 in your example, you get (showing steps): {4}, {2, 4}, {1, 2, 4}

Do the same for your other node in question, resulting in (steps not shown): {1, 2}

Now compare the two lists you made looking for the first element where the list differ, or the last element of one of the lists, whichever comes first.

This algorithm requires O(h) time where h is the height of the tree. In the worst case O(h) is equivalent to O(n), but if the tree is balanced, that is only O(log(n)). It also requires O(h) space. An improved version is possible that uses only constant space, with code shown in CEGRD's post


Regardless of how the tree is constructed, if this will be an operation you perform many times on the tree without changing it in between, there are other algorithms you can use that require O(n) [linear] time preparation, but then finding any pair takes only O(1) [constant] time. For references to these algorithms, see the the lowest common ancestor problem page on Wikipedia. (Credit to Jason for originally posting this link)

Community
  • 1
  • 1
Kevin Cathcart
  • 9,838
  • 2
  • 36
  • 32
  • 1
    That does the job if the parent pointer is given. The nodes in the tree are as the structure I gave in my question - just the left/right child pointers, no parent pointer. Is there any O(log(n)) solution if there is no parent pointer available, and the tree is not a binary search tree, and is just a binary tree? – Siddhant Sep 28 '09 at 09:58
  • 2
    If you have no particular way of finding the path between the parent and a given node, then it will take O(n) time on average to find that. That will make it impossible to have O(log(n)) time. However, the O(n) one time cost, with O(1) pair finding may be your best bet anyway if you were going to perform this operation many times without changing the tree in between. Otherwise, If at all possible you should add the parent pointer. It can make quite a few potential algorithms faster, yet I'm pretty sure it does not change the order of any existing algorithm. Hope this helps. – Kevin Cathcart Oct 07 '09 at 04:25
  • 1
    this approach can be done using O(1) memory -- see Artelius's (and others) solution at http://stackoverflow.com/questions/1594061/linked-list-interview-question – Tom Sirgedas Mar 08 '11 at 20:52
  • @Tom: Indeed, that would work to limit the memory complexity to O(1) for the list based algorithm. Obviously that means iterating through the tree itself once once for each side to get the depths of the nodes, and then a (partial) second time to find the common ancestor. O(h) time and O(1) space is clearly optimal for the case of having parent pointers, and not doing O(n) precomputation. – Kevin Cathcart Mar 10 '11 at 17:40
  • How is the complexity O(h) ? This is not a BST , so for finding out the path from root to leaf node , well have to traverse in both - left and right subtrees . So that cannot be O(log n ) – ALBI Dec 18 '13 at 10:50
  • 1
    @ALBI `O(h)` is only `O(log(n))` if the tree is balanced. For any tree, be it binary or not, if you have parent pointers you can determine the path from a leaf to the root in `O(h)` time, simply by following the parent pointer up to `h` times. That gives you the path from the leaf to the root. If the paths are stored as a stack, then iterating the stack gives you the path from root to leaf. If you lack parent pointers, and have no special structure to the tree, then finding the path from root to leaf does take `O(n)` time. – Kevin Cathcart Dec 18 '13 at 16:43
51

Here is the working code in JAVA

public static Node LCA(Node root, Node a, Node b) {
   if (root == null) {
       return null;
   }

   // If the root is one of a or b, then it is the LCA
   if (root == a || root == b) {
       return root;
   }

   Node left = LCA(root.left, a, b);
   Node right = LCA(root.right, a, b);

   // If both nodes lie in left or right then their LCA is in left or right,
   // Otherwise root is their LCA
   if (left != null && right != null) {
      return root;
   }

   return (left != null) ? left : right; 
}
Pratik Khadloya
  • 12,509
  • 11
  • 81
  • 106
Akash Verma
  • 527
  • 4
  • 3
  • 4
    This does not work when a node does not exist in the tree. – Pratik Khadloya Jun 25 '15 at 21:38
  • would you optimize your code if the given tree is a BST? – Mona Jalal May 26 '16 at 07:00
  • 1
    "If the root is one of a or b, then it is the LCA." this might not be true. What you know at this point is that you don't need to check any of its children to find the LCA. This happens because we can later check if for the parent of root, there were matches on both branches (LCA is parent) or just one of them (in which case that one might be the LCA, or an even greater ancestor might be the LCA). – andresp Jan 14 '17 at 19:55
30

The answers given so far uses recursion or stores, for instance, a path in memory.

Both of these approaches might fail if you have a very deep tree.

Here is my take on this question. When we check the depth (distance from the root) of both nodes, if they are equal, then we can safely move upward from both nodes towards the common ancestor. If one of the depth is bigger then we should move upward from the deeper node while staying in the other one.

Here is the code:

findLowestCommonAncestor(v,w):
  depth_vv = depth(v);
  depth_ww = depth(w);

  vv = v; 
  ww = w;

  while( depth_vv != depth_ww ) {
    if ( depth_vv > depth_ww ) {
      vv = parent(vv);
      depth_vv--;
    else {
      ww = parent(ww);
      depth_ww--;
    }
  }

  while( vv != ww ) {
    vv = parent(vv);
    ww = parent(ww);
  }

  return vv;    

The time complexity of this algorithm is: O(n). The space complexity of this algorithm is: O(1).

Regarding the computation of the depth, we can first remember the definition: If v is root, depth(v) = 0; Otherwise, depth(v) = depth(parent(v)) + 1. We can compute depth as follows:

depth(v):
  int d = 0;
  vv = v;
  while ( vv is not root ) {
    vv = parent(vv);
    d++;
  }
  return d;
CEGRD
  • 7,787
  • 5
  • 25
  • 35
  • 6
    Binary trees don't have a reference to the parent element, typically. Adding a parent reference can be done without any issue, but I would consider that O(n) auxiliary space. – John Kurlak Jul 15 '13 at 05:35
  • There's a subtle assumption in this solution. If one node is a direct or indirect parent of the other (i.e., the deeper node is in a tree rooted at the shallower node), this solution returns the parent of the shallower node as the result. Depending on how you define the lowest common ancestor, this may not be what you want. Some definitions will require the shallower node itself to be the parent. In this case, you would need to track which is the shallower node and return that. – Srikanth Nov 10 '15 at 20:13
9

Well, this kind of depends how your Binary Tree is structured. Presumably you have some way of finding the desired leaf node given the root of the tree - simply apply that to both values until the branches you choose diverge.

If you don't have a way to find the desired leaf given the root, then your only solution - both in normal operation and to find the last common node - is a brute-force search of the tree.

Nick Johnson
  • 100,655
  • 16
  • 128
  • 198
9

This can be found at:- http://goursaha.freeoda.com/DataStructure/LowestCommonAncestor.html

 tree_node_type *LowestCommonAncestor(
 tree_node_type *root , tree_node_type *p , tree_node_type *q)
 {
     tree_node_type *l , *r , *temp;
     if(root==NULL)
     {
        return NULL;
     }

    if(root->left==p || root->left==q || root->right ==p || root->right ==q)
    {
        return root;
    }
    else
    {
        l=LowestCommonAncestor(root->left , p , q);
        r=LowestCommonAncestor(root->right , p, q);

        if(l!=NULL && r!=NULL)
        {
            return root;
        }
        else
        {
        temp = (l!=NULL)?l:r;
        return temp;
        }
    }
}
Ha-eun Chung
  • 455
  • 1
  • 7
  • 20
Baban
  • 91
  • 1
  • 1
  • can you please tell me how will your code will behave if p is present but q is not at all present in the tree? Similarly both p and q are not present. Thanks!!! – Trying Feb 28 '13 at 20:40
  • What's the big O in terms of time? I think it's O(n*log(n)), two slow. – Peter Lee Oct 06 '13 at 04:18
7

Tarjan's off-line least common ancestors algorithm is good enough (cf. also Wikipedia). There is more on the problem (the lowest common ancestor problem) on Wikipedia.

jason
  • 236,483
  • 35
  • 423
  • 525
7

To find out common ancestor of two node :-

  • Find the given node Node1 in the tree using binary search and save all nodes visited in this process in an array say A1. Time - O(logn), Space - O(logn)
  • Find the given Node2 in the tree using binary search and save all nodes visited in this process in an array say A2. Time - O(logn), Space - O(logn)
  • If A1 list or A2 list is empty then one the node does not exist so there is no common ancestor.
  • If A1 list and A2 list are non-empty then look into the list until you find non-matching node. As soon as you find such a node then node prior to that is common ancestor.

This would work for binary search tree.

Vipin
  • 71
  • 1
  • 1
  • 2
    He clearly stated the tree is NOT necessarily a BST. – Peter Lee Oct 06 '13 at 04:10
  • @Peter Lee - The above logic would work even for any binary tree with a simple change. In stead of binary search of given nodes, apply linear search (i.e. any traversal but should be same for both case). Off course runtime would be O(n) instead of O(logn). In fact this algo is the most robust one when parent pointer is not available. The rucursive algorithm given by many (viz. 'codaddict') will not work when one of given node does not belong to the tree) – KGhatak Sep 04 '16 at 19:40
5

I have made an attempt with illustrative pictures and working code in Java,

http://tech.bragboy.com/2010/02/least-common-ancestor-without-using.html

bragboy
  • 34,892
  • 30
  • 114
  • 171
3

The below recursive algorithm will run in O(log N) for a balanced binary tree. If either of the nodes passed into the getLCA() function are the same as the root then the root will be the LCA and there will be no need to perform any recussrion.

Test cases. [1] Both nodes n1 & n2 are in the tree and reside on either side of their parent node. [2] Either node n1 or n2 is the root, the LCA is the root. [3] Only n1 or n2 is in the tree, LCA will be either the root node of the left subtree of the tree root, or the LCA will be the root node of the right subtree of the tree root.

[4] Neither n1 or n2 is in the tree, there is no LCA. [5] Both n1 and n2 are in a straight line next to each other, LCA will be either of n1 or n2 which ever is closes to the root of the tree.

//find the search node below root
bool findNode(node* root, node* search)
{
    //base case
    if(root == NULL)
        return false;

    if(root->val == search->val)
        return true;

    //search for the node in the left and right subtrees, if found in either return true
    return (findNode(root->left, search) || findNode(root->right, search));
}

//returns the LCA, n1 & n2 are the 2 nodes for which we are
//establishing the LCA for
node* getLCA(node* root, node* n1, node* n2)
{
    //base case
    if(root == NULL)
        return NULL;

    //If 1 of the nodes is the root then the root is the LCA
    //no need to recurse.
    if(n1 == root || n2 == root)
        return root;

    //check on which side of the root n1 and n2 reside
    bool n1OnLeft = findNode(root->left, n1);
    bool n2OnLeft = findNode(root->left, n2);

    //n1 & n2 are on different sides of the root, so root is the LCA
    if(n1OnLeft != n2OnLeft)
        return root;

    //if both n1 & n2 are on the left of the root traverse left sub tree only
    //to find the node where n1 & n2 diverge otherwise traverse right subtree
    if(n1OnLeft)
        return getLCA(root->left, n1, n2);
    else
        return getLCA(root->right, n1, n2);
}
gilla07
  • 61
  • 2
3

Just walk down from the whole tree's root as long as both given nodes ,say p and q, for which Ancestor has to be found, are in the same sub-tree (meaning their values are both smaller or both larger than root's).

This walks straight from the root to the Least Common Ancestor , not looking at the rest of the tree, so it's pretty much as fast as it gets. A few ways to do it.

Iterative, O(1) space

Python

def lowestCommonAncestor(self, root, p, q):
    while (root.val - p.val) * (root.val - q.val) > 0:
        root = (root.left, root.right)[p.val > root.val]
    return root

Java

public TreeNode lowestCommonAncestor(TreeNode root, TreeNode p, TreeNode q) {
    while ((root.val - p.val) * (root.val - q.val) > 0)
        root = p.val < root.val ? root.left : root.right;
    return root;
}

in case of overflow, I'd do (root.val - (long)p.val) * (root.val - (long)q.val)

Recursive

Python

def lowestCommonAncestor(self, root, p, q):
    next = p.val < root.val > q.val and root.left or \
           p.val > root.val < q.val and root.right
    return self.lowestCommonAncestor(next, p, q) if next else root

Java

public TreeNode lowestCommonAncestor(TreeNode root, TreeNode p, TreeNode q) {
    return (root.val - p.val) * (root.val - q.val) < 1 ? root :
           lowestCommonAncestor(p.val < root.val ? root.left : root.right, p, q);
}
Community
  • 1
  • 1
Rajnish
  • 419
  • 6
  • 21
2

In scala, you can:

  abstract class Tree
  case class Node(a:Int, left:Tree, right:Tree) extends Tree
  case class Leaf(a:Int) extends Tree

  def lca(tree:Tree, a:Int, b:Int):Tree = {
    tree match {
      case Node(ab,l,r) => {
        if(ab==a || ab ==b) tree else {
          val temp = lca(l,a,b);
          val temp2 = lca(r,a,b);
          if(temp!=null && temp2 !=null)
            tree
          else if (temp==null && temp2==null)
            null
          else if (temp==null) r else l
        }

      }
      case Leaf(ab) => if(ab==a || ab ==b) tree else null
    }
  }
Jatin
  • 31,116
  • 15
  • 98
  • 163
2
Node *LCA(Node *root, Node *p, Node *q) {
  if (!root) return NULL;
  if (root == p || root == q) return root;
  Node *L = LCA(root->left, p, q);
  Node *R = LCA(root->right, p, q);
  if (L && R) return root;  // if p and q are on both sides
  return L ? L : R;  // either one of p,q is on one side OR p,q is not in L&R subtrees
}
Krishnachandra Sharma
  • 1,332
  • 2
  • 20
  • 42
2

Consider this tree enter image description here

If we do postorder and preorder traversal and find the first occuring common predecessor and successor, we get the common ancestor.

postorder => 0,2,1,5,4,6,3,8,10,11,9,14,15,13,12,7 preorder => 7,3,1,0,2,6,4,5,12,9,8,11,10,13,15,14

  • eg :1

Least common ancestor of 8,11

in postorder we have = >9,14,15,13,12,7 after 8 & 11 in preorder we have =>7,3,1,0,2,6,4,5,12,9 before 8 & 11

9 is the first common number that occurs after 8& 11 in postorder and before 8 & 11 in preorder, hence 9 is the answer

  • eg :2

Least common ancestor of 5,10

11,9,14,15,13,12,7 in postorder 7,3,1,0,2,6,4 in preorder

7 is the first number that occurs after 5,10 in postorder and before 5,10 in preorder, hence 7 is the answer

nnc
  • 790
  • 2
  • 14
  • 31
2

If it is full binary tree with children of node x as 2*x and 2*x+1 than there is a faster way to do it

int get_bits(unsigned int x) {
  int high = 31;
  int low = 0,mid;
  while(high>=low) {
    mid = (high+low)/2;
    if(1<<mid==x)
      return mid+1;
    if(1<<mid<x) {
      low = mid+1;
    }
    else {
      high = mid-1;
    }
  }
  if(1<<mid>x)
    return mid;
  return mid+1;
}

unsigned int Common_Ancestor(unsigned int x,unsigned int y) {

  int xbits = get_bits(x);
  int ybits = get_bits(y);
  int diff,kbits;
  unsigned int k;
  if(xbits>ybits) {
    diff = xbits-ybits;
    x = x >> diff;
  }
  else if(xbits<ybits) {
    diff = ybits-xbits;
    y = y >> diff;
  }
  k = x^y;
  kbits = get_bits(k);
  return y>>kbits;  
}

How does it work

  1. get bits needed to represent x & y which using binary search is O(log(32))
  2. the common prefix of binary notation of x & y is the common ancestor
  3. whichever is represented by larger no of bits is brought to same bit by k >> diff
  4. k = x^y erazes common prefix of x & y
  5. find bits representing the remaining suffix
  6. shift x or y by suffix bits to get common prefix which is the common ancestor.

This works because basically divide the larger number by two recursively until both numbers are equal. That number is the common ancestor. Dividing is effectively the right shift opearation. So we need to find common prefix of two numbers to find the nearest ancestor

coder hacker
  • 4,819
  • 1
  • 25
  • 50
2

The lowest common ancestor between two nodes node1 and node2 is the lowest node in a tree that has both nodes as descendants.

The binary tree is traversed from the root node, until both nodes are found. Every time a node is visited, it is added to a dictionary (called parent). Once both nodes are found in the binary tree, the ancestors of node1 are obtained using the dictionary and added to a set (called ancestors). This step is followed in the same manner for node2. If the ancestor of node2 is present in the ancestors set for node1, it is the first common ancestor between them.

Below is the iterative python solution implemented using stack and dictionary with the following points:

  • A node can be a descendant of itself
  • All nodes in the binary tree are unique
  • node1 and node2 will exist in the binary tree
class Node:
    def __init__(self, data=None, left=None, right=None):
        self.data  = data
        self.left  = left
        self.right = right

def lowest_common_ancestor(root, node1, node2):
    parent = {root: None}
    stack = [root]
    
    while node1 not in parent or node2 not in parent:
        node = stack[-1]
        stack.pop()
        if node.left:
            parent[node.left] = node
            stack.append(node.left)
        if node.right:
            parent[node.right] = node
            stack.append(node.right)
    
    ancestors = set()
    while node1:
        ancestors.add(node1)
        node1 = parent[node1]
    while node2 not in ancestors:
        node2 = parent[node2]
    
    return node2.data

def main():
    '''
    Construct the below binary tree:

            30
           /  \
          /    \
         /      \
        11      29
       /  \    /  \
      8   12  25  14

    '''
    root = Node(30)
    root.left  = Node(11)
    root.right = Node(29)
    root.left.left  = Node(8)
    root.left.right = Node(12)
    root.right.left  = Node(25)
    root.right.right = Node(14)

    print(lowest_common_ancestor(root, root.left.left, root.left.right))       # 11
    print(lowest_common_ancestor(root, root.left.left, root.left))             # 11
    print(lowest_common_ancestor(root, root.left.left, root.right.right))      # 30


if __name__ == '__main__':
    main()

The complexity of this approach is: O(n)

Saurabh
  • 5,176
  • 4
  • 32
  • 46
1
public TreeNode lowestCommonAncestor(TreeNode root, TreeNode p, TreeNode q) {
        if(root==null || root == p || root == q){
            return root;
        }
        TreeNode left = lowestCommonAncestor(root.left,p,q);
        TreeNode right = lowestCommonAncestor(root.right,p,q);
        return left == null ? right : right == null ? left : root;
    }
HeadAndTail
  • 804
  • 8
  • 9
0

Here is the C++ way of doing it. Have tried to keep the algorithm as much easy as possible to understand:

// Assuming that `BinaryNode_t` has `getData()`, `getLeft()` and `getRight()`
class LowestCommonAncestor
{
  typedef char type;    
  // Data members which would behave as place holders
  const BinaryNode_t* m_pLCA;
  type m_Node1, m_Node2;

  static const unsigned int TOTAL_NODES = 2;

  // The core function which actually finds the LCA; It returns the number of nodes found
  // At any point of time if the number of nodes found are 2, then it updates the `m_pLCA` and once updated, we have found it!
  unsigned int Search (const BinaryNode_t* const pNode)
  {
    if(pNode == 0)
      return 0;

    unsigned int found = 0;

    found += (pNode->getData() == m_Node1);
    found += (pNode->getData() == m_Node2);

    found += Search(pNode->getLeft()); // below condition can be after this as well
    found += Search(pNode->getRight());

    if(found == TOTAL_NODES && m_pLCA == 0)
      m_pLCA = pNode;  // found !

    return found;
  }

public:
  // Interface method which will be called externally by the client
  const BinaryNode_t* Search (const BinaryNode_t* const pHead,
                              const type node1,
                              const type node2)
  {
    // Initialize the data members of the class
    m_Node1 = node1;
    m_Node2 = node2;
    m_pLCA = 0;

    // Find the LCA, populate to `m_pLCANode` and return
    (void) Search(pHead);
    return m_pLCA;
  }
};

How to use it:

LowestCommonAncestor lca;
BinaryNode_t* pNode = lca.Search(pWhateverBinaryTreeNodeToBeginWith);
if(pNode != 0)
  ...
iammilind
  • 68,093
  • 33
  • 169
  • 336
0

The easiest way to find the Lowest Common Ancestor is using the following algorithm:

Examine root node

if value1 and value2 are strictly less that the value at the root node 
    Examine left subtree
else if value1 and value2 are strictly greater that the value at the root node 
    Examine right subtree
else
    return root
public int LCA(TreeNode root, int value 1, int value 2) {
    while (root != null) {
       if (value1 < root.data && value2 < root.data)
           return LCA(root.left, value1, value2);
       else if (value2 > root.data && value2 2 root.data)
           return LCA(root.right, value1, value2);
       else
           return root
    }

    return null;
} 
Simon MᶜKenzie
  • 8,344
  • 13
  • 50
  • 77
0

I found a solution

  1. Take inorder
  2. Take preorder
  3. Take postorder

Depending on 3 traversals, you can decide who is the LCA. From LCA find distance of both nodes. Add these two distances, which is the answer.

Bridge
  • 29,818
  • 9
  • 60
  • 82
0

Here is what I think,

  1. Find the route for the fist node , store it on to arr1.
  2. Start finding the route for the 2 node , while doing so check every value from root to arr1.
  3. time when value differs , exit. Old matched value is the LCA.

Complexity : step 1 : O(n) , step 2 =~ O(n) , total =~ O(n).

badri.coder
  • 147
  • 1
  • 1
  • 7
0

Here are two approaches in c# (.net) (both discussed above) for reference:

  1. Recursive version of finding LCA in binary tree (O(N) - as at most each node is visited) (main points of the solution is LCA is (a) only node in binary tree where both elements reside either side of the subtrees (left and right) is LCA. (b) And also it doesn't matter which node is present either side - initially i tried to keep that info, and obviously the recursive function become so confusing. once i realized it, it became very elegant.

  2. Searching both nodes (O(N)), and keeping track of paths (uses extra space - so, #1 is probably superior even thought the space is probably negligible if the binary tree is well balanced as then extra memory consumption will be just in O(log(N)).

    so that the paths are compared (essentailly similar to accepted answer - but the paths is calculated by assuming pointer node is not present in the binary tree node)

  3. Just for the completion (not related to question), LCA in BST (O(log(N))

  4. Tests

Recursive:

private BinaryTreeNode LeastCommonAncestorUsingRecursion(BinaryTreeNode treeNode, 
            int e1, int e2)
        {
            Debug.Assert(e1 != e2);
            
            if(treeNode == null)
            {
                return null;
            }
            if((treeNode.Element == e1)
                || (treeNode.Element == e2))
            {
                //we don't care which element is present (e1 or e2), we just need to check 
                //if one of them is there
                return treeNode;
            }
            var nLeft = this.LeastCommonAncestorUsingRecursion(treeNode.Left, e1, e2);
            var nRight = this.LeastCommonAncestorUsingRecursion(treeNode.Right, e1, e2);
            if(nLeft != null && nRight != null)
            {
                //note that this condition will be true only at least common ancestor
                return treeNode;
            }
            else if(nLeft != null)
            {
                return nLeft;
            }
            else if(nRight != null)
            {
                return nRight;
            }
            return null;
        }

where above private recursive version is invoked by following public method:

public BinaryTreeNode LeastCommonAncestorUsingRecursion(int e1, int e2)
        {
            var n = this.FindNode(this._root, e1);
            if(null == n)
            {
                throw new Exception("Element not found: " + e1);
            }
            if (e1 == e2)
            {   
                return n;
            }
            n = this.FindNode(this._root, e2);
            if (null == n)
            {
                throw new Exception("Element not found: " + e2);
            }
            var node = this.LeastCommonAncestorUsingRecursion(this._root, e1, e2);
            if (null == node)
            {
                throw new Exception(string.Format("Least common ancenstor not found for the given elements: {0},{1}", e1, e2));
            }
            return node;
        }

Solution by keeping track of paths of both nodes:

public BinaryTreeNode LeastCommonAncestorUsingPaths(int e1, int e2)
        {
            var path1 = new List<BinaryTreeNode>();
            var node1 = this.FindNodeAndPath(this._root, e1, path1);
            if(node1 == null)
            {
                throw new Exception(string.Format("Element {0} is not found", e1));
            }
            if(e1 == e2)
            {
                return node1;
            }
            List<BinaryTreeNode> path2 = new List<BinaryTreeNode>();
            var node2 = this.FindNodeAndPath(this._root, e2, path2);
            if (node1 == null)
            {
                throw new Exception(string.Format("Element {0} is not found", e2));
            }
            BinaryTreeNode lca = null;
            Debug.Assert(path1[0] == this._root);
            Debug.Assert(path2[0] == this._root);
            int i = 0;
            while((i < path1.Count)
                && (i < path2.Count)
                && (path2[i] == path1[i]))
            {
                lca = path1[i];
                i++;
            }
            Debug.Assert(null != lca);
            return lca;
        }

where FindNodeAndPath is defined as

private BinaryTreeNode FindNodeAndPath(BinaryTreeNode node, int e, List<BinaryTreeNode> path)
        {
            if(node == null)
            {
                return null;
            }
            if(node.Element == e)
            {
                path.Add(node);
                return node;
            }
            var n = this.FindNodeAndPath(node.Left, e, path);
            if(n == null)
            {
                n = this.FindNodeAndPath(node.Right, e, path);
            }
            if(n != null)
            {
                path.Insert(0, node);
                return n;
            }
            return null;
        }

BST (LCA) - not related (just for completion for reference)

public BinaryTreeNode BstLeastCommonAncestor(int e1, int e2)
        {
            //ensure both elements are there in the bst
            var n1 = this.BstFind(e1, throwIfNotFound: true);
            if(e1 == e2)
            {
                return n1;
            }
            this.BstFind(e2, throwIfNotFound: true);
            BinaryTreeNode leastCommonAcncestor = this._root;
            var iterativeNode = this._root;
            while(iterativeNode != null)
            {
                if((iterativeNode.Element > e1 ) && (iterativeNode.Element > e2))
                {
                    iterativeNode = iterativeNode.Left;
                }
                else if((iterativeNode.Element < e1) && (iterativeNode.Element < e2))
                {
                    iterativeNode = iterativeNode.Right;
                }
                else
                {
                    //i.e; either iterative node is equal to e1 or e2 or in between e1 and e2
                    return iterativeNode;
                }
            }
            //control will never come here
            return leastCommonAcncestor;
        }

Unit Tests

[TestMethod]
        public void LeastCommonAncestorTests()
        {
            int[] a = { 13, 2, 18, 1, 5, 17, 20, 3, 6, 16, 21, 4, 14, 15, 25, 22, 24 };
            int[] b = { 13, 13, 13, 2, 13, 18, 13, 5, 13, 18, 13, 13, 14, 18, 25, 22};
            BinarySearchTree bst = new BinarySearchTree();
            foreach (int e in a)
            {
                bst.Add(e);
                bst.Delete(e);
                bst.Add(e);
            }
            for(int i = 0; i < b.Length; i++)
            {
                var n = bst.BstLeastCommonAncestor(a[i], a[i + 1]);
                Assert.IsTrue(n.Element == b[i]);
                var n1 = bst.LeastCommonAncestorUsingPaths(a[i], a[i + 1]);
                Assert.IsTrue(n1.Element == b[i]);
                Assert.IsTrue(n == n1);
                var n2 = bst.LeastCommonAncestorUsingRecursion(a[i], a[i + 1]);
                Assert.IsTrue(n2.Element == b[i]);
                Assert.IsTrue(n2 == n1);
                Assert.IsTrue(n2 == n);
            }
        }
Community
  • 1
  • 1
Dreamer
  • 3,371
  • 2
  • 34
  • 50
0

If someone interested in pseudo code(for university home works) here is one.

GETLCA(BINARYTREE BT, NODE A, NODE  B)
IF Root==NIL
    return NIL
ENDIF

IF Root==A OR root==B
    return Root
ENDIF

Left = GETLCA (Root.Left, A, B)
Right = GETLCA (Root.Right, A, B)

IF Left! = NIL AND Right! = NIL
    return root
ELSEIF Left! = NIL
    Return Left
ELSE
    Return Right
ENDIF
Sameera R.
  • 4,384
  • 2
  • 36
  • 53
0

Although this has been answered already, this is my approach to this problem using C programming language. Although the code shows a binary search tree (as far as insert() is concerned), but the algorithm works for a binary tree as well. The idea is to go over all nodes that lie from node A to node B in inorder traversal, lookup the indices for these in the post order traversal. The node with maximum index in post order traversal is the lowest common ancestor.

This is a working C code to implement a function to find the lowest common ancestor in a binary tree. I am providing all the utility functions etc. as well, but jump to CommonAncestor() for quick understanding.

#include <stdio.h>
#include <malloc.h>
#include <stdlib.h>
#include <math.h>

static inline int min (int a, int b)
{
    return ((a < b) ? a : b);
}
static inline int max (int a, int b)
{
    return ((a > b) ? a : b);
}

typedef struct node_ {
    int value;
    struct node_ * left;
    struct node_ * right;
} node;

#define MAX 12

int IN_ORDER[MAX] = {0};
int POST_ORDER[MAX] = {0};

createNode(int value) 
{
    node * temp_node = (node *)malloc(sizeof(node));
    temp_node->left = temp_node->right = NULL;
    temp_node->value = value;
    return temp_node;
}

node *
insert(node * root, int value)
{
    if (!root) {
        return createNode(value);
    }

    if (root->value > value) {
        root->left = insert(root->left, value);
    } else {
        root->right = insert(root->right, value);
    }

    return root;
}


/* Builds inorder traversal path in the IN array */
void
inorder(node * root, int * IN)
{
    static int i = 0;

    if (!root) return;

    inorder(root->left, IN);
    IN[i] = root->value;
    i++;
    inorder(root->right, IN);
}

/* Builds post traversal path in the POST array */

void
postorder (node * root, int * POST)
{
    static int i = 0;

    if (!root) return;

    postorder(root->left, POST);
    postorder(root->right, POST);
    POST[i] = root->value;
    i++;
}


int
findIndex(int * A, int value)
{
    int i = 0;
    for(i = 0; i< MAX; i++) {
        if(A[i] == value) return i;
    }
}
int
CommonAncestor(int val1, int val2)
{
    int in_val1, in_val2;
    int post_val1, post_val2;
    int j=0, i = 0; int max_index = -1;

    in_val1 = findIndex(IN_ORDER, val1);
    in_val2 = findIndex(IN_ORDER, val2);
    post_val1 = findIndex(POST_ORDER, val1);
    post_val2 = findIndex(POST_ORDER, val2);

    for (i = min(in_val1, in_val2); i<= max(in_val1, in_val2); i++) {
        for(j = 0; j < MAX; j++) {
            if (IN_ORDER[i] == POST_ORDER[j]) {
                if (j > max_index) {
                    max_index = j;
                }
            }
        }
    }
    printf("\ncommon ancestor of %d and %d is %d\n", val1, val2, POST_ORDER[max_index]);
    return max_index;
}
int main()
{
    node * root = NULL; 

    /* Build a tree with following values */
    //40, 20, 10, 30, 5, 15, 25, 35, 1, 80, 60, 100
    root = insert(root, 40);
    insert(root, 20);
    insert(root, 10);
    insert(root, 30);
    insert(root, 5);
    insert(root, 15);
    insert(root, 25);
    insert(root, 35);
    insert(root, 1);
    insert(root, 80);
    insert(root, 60);
    insert(root, 100);

    /* Get IN_ORDER traversal in the array */
    inorder(root, IN_ORDER);

    /* Get post order traversal in the array */
    postorder(root, POST_ORDER);

    CommonAncestor(1, 100);


}
SeattleOrBayArea
  • 2,808
  • 6
  • 26
  • 38
0

There can be one more approach. However it is not as efficient as the one already suggested in answers.

  • Create a path vector for the node n1.

  • Create a second path vector for the node n2.

  • Path vector implying the set nodes from that one would traverse to reach the node in question.

  • Compare both path vectors. The index where they mismatch, return the node at that index - 1. This would give the LCA.

Cons for this approach:

Need to traverse the tree twice for calculating the path vectors. Need addtional O(h) space to store path vectors.

However this is easy to implement and understand as well.

Code for calculating the path vector:

private boolean findPathVector (TreeNode treeNode, int key, int pathVector[], int index) {

        if (treeNode == null) {
            return false;
        }

        pathVector [index++] = treeNode.getKey ();

        if (treeNode.getKey () == key) {
            return true;
        }
        if (findPathVector (treeNode.getLeftChild (), key, pathVector, index) || 
            findPathVector (treeNode.getRightChild(), key, pathVector, index)) {

            return true;        
        }

        pathVector [--index] = 0;
        return false;       
    }
Sumit Trehan
  • 3,985
  • 3
  • 27
  • 42
0

Try like this

node * lca(node * root, int v1,int v2)
{

if(!root) {
            return NULL;
    }
    if(root->data == v1 || root->data == v2) {
        return root;}
    else
    {
        if((v1 > root->data && v2 < root->data) || (v1 < root->data && v2 > root->data))
        {
            return root;
        }

        if(v1 < root->data && v2 < root->data)
        {
            root = lca(root->left, v1, v2);
        }

        if(v1 > root->data && v2 > root->data)
        {
            root = lca(root->right, v1, v2);
        }
    }
return root;
}
MWiesner
  • 8,868
  • 11
  • 36
  • 70
shubhamv
  • 1
  • 1
0

Crude way:

  • At every node
    • X = find if either of the n1, n2 exist on the left side of the Node
    • Y = find if either of the n1, n2 exist on the right side of the Node
      • if the node itself is n1 || n2, we can call it either found on left or right for the purposes of generalization.
    • If both X and Y is true, then the Node is the CA

The problem with the method above is that we will be doing the "find" multiple times, i.e. there is a possibility of each node getting traversed multiple times. We can overcome this problem if we can record the information so as to not process it again (think dynamic programming).

So rather than doing find every node, we keep a record of as to whats already been found.

Better Way:

  • We check to see if for a given node if left_set (meaning either n1 | n2 has been found in the left subtree) or right_set in a depth first fashion. (NOTE: We are giving the root itself the property of being left_set if it is either n1 | n2)
  • If both left_set and right_set then the node is a LCA.

Code:

struct Node *
findCA(struct Node *root, struct Node *n1, struct Node *n2, int *set) {
   int left_set, right_set;
   left_set = right_set = 0;
   struct Node *leftCA, *rightCA;
   leftCA = rightCA = NULL;

   if (root == NULL) {
      return NULL;
   }
   if (root == n1 || root == n2) {
      left_set = 1;
      if (n1 == n2) {
         right_set = 1;
      }
   }

   if(!left_set) {
      leftCA = findCA(root->left, n1, n2, &left_set);
      if (leftCA) {
         return leftCA;
      }
   }
   if (!right_set) {
      rightCA= findCA(root->right, n1, n2, &right_set);
      if(rightCA) {
         return rightCA;
      }
   }

   if (left_set && right_set) {
      return root;
   } else {
      *set = (left_set || right_set);
      return NULL;
   }
}
0

Code for A Breadth First Search to make sure both nodes are in the tree. Only then move forward with the LCA search. Please comment if you have any suggestions to improve. I think we can probably mark them visited and restart the search at a certain point where we left off to improve for the second node (if it isn't found VISITED)

public class searchTree {
    static boolean v1=false,v2=false;
    public static boolean bfs(Treenode root, int value){
         if(root==null){
           return false;
     }
    Queue<Treenode> q1 = new LinkedList<Treenode>();

    q1.add(root);
    while(!q1.isEmpty())
    {
        Treenode temp = q1.peek();

        if(temp!=null) {
            q1.remove();
            if (temp.value == value) return true;
            if (temp.left != null) q1.add(temp.left);
            if (temp.right != null) q1.add(temp.right);
        }
    }
    return false;

}
public static Treenode lcaHelper(Treenode head, int x,int y){

    if(head==null){
        return null;
    }

    if(head.value == x || head.value ==y){
        if (head.value == y){
            v2 = true;
            return head;
        }
        else {
            v1 = true;
            return head;
        }
    }

    Treenode left = lcaHelper(head.left, x, y);
    Treenode right = lcaHelper(head.right,x,y);

    if(left!=null && right!=null){
        return head;
    }
    return (left!=null) ? left:right;
}

public static int lca(Treenode head, int h1, int h2) {
    v1 = bfs(head,h1);
    v2 = bfs(head,h2);
    if(v1 && v2){
        Treenode lca = lcaHelper(head,h1,h2);
        return lca.value;
    }
    return -1;
}
}
0

Some of the solutions here assumes that there is reference to the root node, some assumes that tree is a BST. Sharing my solution using hashmap, without reference to root node and tree can be BST or non-BST:

    var leftParent : Node? = left
    var rightParent : Node? = right
    var map = [data : Node?]()

    while leftParent != nil {
        map[(leftParent?.data)!] = leftParent
        leftParent = leftParent?.parent
    }

    while rightParent != nil {
        if let common = map[(rightParent?.data)!] {
            return common
        }
        rightParent = rightParent?.parent
    }
janusfidel
  • 8,036
  • 4
  • 30
  • 53
0

Solution 1: Recursive - Faster

  • The idea is to traverse the tree starting from root. If any of the given keys p and q matches with root, then root is LCA, assuming that both keys are present. If root doesn’t match with any of the keys, we recurse for left and right subtree.
  • The node which has one key present in its left subtree and the other key present in right subtree is the LCA. If both keys lie in left subtree, then left subtree has LCA also, otherwise LCA lies in right subtree.
  • Time Complexity: O(n)
  • Space Complexity: O(h) - for recursive call stack
class Solution 
{
    public TreeNode lowestCommonAncestor(TreeNode root, TreeNode p, TreeNode q)
    {
        if(root == null || root == p  || root == q)
            return root;

        TreeNode left = lowestCommonAncestor(root.left, p, q);
        TreeNode right = lowestCommonAncestor(root.right, p, q);

        if(left == null)
            return right;
        else if(right == null)
            return left;
        else
            return root;    // If(left != null && right != null)
    }
}

Solution 2: Iterative - Using parent pointers - Slower

  • Create an empty hash table.
  • Insert p and all of its ancestors in hash table.
  • Check if q or any of its ancestors exist in hash table, if yes then return the first existing ancestor.
  • Time Complexity: O(n) - In the worst case we might be visiting all the nodes of binary tree.
  • Space Complexity: O(n) - Space utilized the parent pointer Hash-table, ancestor_set and queue, would be O(n) each.
class Solution
{
    public TreeNode lowestCommonAncestor(TreeNode root, TreeNode p, TreeNode q)
    {
        HashMap<TreeNode, TreeNode> parent_map = new HashMap<>();
        HashSet<TreeNode> ancestors_set = new HashSet<>();
        Queue<TreeNode> queue = new LinkedList<>();

        parent_map.put(root, null);
        queue.add(root);

        while(!parent_map.containsKey(p) || !parent_map.containsKey(q))
        {
            TreeNode node = queue.poll();

            if(node.left != null)
            {
                parent_map.put(node.left, node);
                queue.add(node.left);
            }
            if(node.right != null)
            {
                parent_map.put(node.right, node);
                queue.add(node.right);
            }
        }

        while(p != null)
        {
            ancestors_set.add(p);
            p = parent_map.get(p);
        }

        while(!ancestors_set.contains(q))
            q = parent_map.get(q);

        return q;
    }
}
Pratik Patil
  • 3,662
  • 3
  • 31
  • 31
0

The following is the fastest way to solve this . Space complexity O(1) , Time complexity O(n). If

If a node has both left and right value as not null, then that node is your answer(3rd 'if' from top). While iterating if a value is found, as all the values are uniques and must be present, we don't need to search its descendants. so just return the found node that matched. if a node's both left and right branch contents null propagate null upwards. when reached top-level recursion, if one branch returned value, others do not keep propagating that value, when both returned not null return current node. If it reaches root level recursion with one null and another not null, return not null value, as the question, promises the value exists, it must be in the children tree of the found node which we never traversed.

class Solution {
    public TreeNode lowestCommonAncestor(TreeNode root, TreeNode p, TreeNode q) {
        if(root == null) return null;
        if(root.val == p.val || root.val == q.val) return root;
        TreeNode left = lowestCommonAncestor(root.left, p, q);
        TreeNode right = lowestCommonAncestor(root.right, p, q);
        if (left != null && right !=null) return root;
        if (left == null && right ==null) return null;
        return (left != null ? left : right);
    }
}

enter image description here

sapy
  • 8,952
  • 7
  • 49
  • 60
-1

The code in Php. I've assumed the tree is an Array binary tree. Therefore, you don't even require the tree to calculate the LCA. input: index of two nodes output: index of LCA

    <?php
 global $Ps;

function parents($l,$Ps)
{

    if($l % 2 ==0)
        $p = ($l-2)/2;
    else            
        $p = ($l-1)/2;

    array_push($Ps,$p);     
    if($p !=0)
        parents($p,$Ps);

    return $Ps; 
}
function lca($n,$m)
{
    $LCA = 0;
    $arr1 = array();
    $arr2 = array();
    unset($Ps); 
$Ps = array_fill(0,1,0);
    $arr1 = parents($n,$arr1);
    unset($Ps); 
$Ps = array_fill(0,1,0);
    $arr2 = parents($m,$arr2);

    if(count($arr1) > count($arr2))
        $limit = count($arr2);
    else
        $limit = count($arr1);

    for($i =0;$i<$limit;$i++)
    {
        if($arr1[$i] == $arr2[$i])
        {
            $LCA = $arr1[$i];
            break;
        }
    }
    return $LCA;//this is the index of the element in the tree

}

var_dump(lca(5,6));
?>

Do tell me if there are any shortcomings.

Anant Gupta
  • 488
  • 1
  • 8
  • 13
-1

//If both the values are less than the current node then traverse the left subtree //Or If both the values are greater than the current node then traverse the right subtree //Or LCA is the current node

public BSTNode findLowestCommonAncestor(BSTNode currentRoot, int a, int b){
    BSTNode commonAncestor = null;
    if (currentRoot == null) {
        System.out.println("The Tree does not exist");
        return null;
    }

    int currentNodeValue = currentRoot.getValue();
    //If both the values are less than the current node then traverse the left subtree
    //Or If both the values are greater than the current node then traverse the right subtree
    //Or LCA is the current node
    if (a < currentNodeValue && b < currentNodeValue) {
        commonAncestor = findLowestCommonAncestor(currentRoot.getLeft(), a, b);
    } else if (a > currentNodeValue && b > currentNodeValue) {
        commonAncestor = findLowestCommonAncestor(currentRoot.getRight(), a, b);
    } else {
        commonAncestor = currentRoot;
    }

    return commonAncestor;
}
-2
public class LeastCommonAncestor {

    private TreeNode root;

    private static class TreeNode {
        TreeNode left;
        TreeNode right;
        int item;

        TreeNode (TreeNode left, TreeNode right, int item) {
            this.left = left;
            this.right = right;
            this.item = item;
        }
    }

    public void createBinaryTree (Integer[] arr) {
        if (arr == null)  {
            throw new NullPointerException("The input array is null.");
        }

        root = new TreeNode(null, null, arr[0]);

        final Queue<TreeNode> queue = new LinkedList<TreeNode>();
        queue.add(root);

        final int half = arr.length / 2;

        for (int i = 0; i < half; i++) {
            if (arr[i] != null) {
                final TreeNode current = queue.poll();
                final int left = 2 * i + 1;
                final int right = 2 * i + 2;

                if (arr[left] != null) {
                    current.left = new TreeNode(null, null, arr[left]);
                    queue.add(current.left);
                }
                if (right < arr.length && arr[right] != null) {
                    current.right = new TreeNode(null, null, arr[right]);
                    queue.add(current.right);
                }
            }
        }
    }

    private static class LCAData {
        TreeNode lca;
        int count;

        public LCAData(TreeNode parent, int count) {
            this.lca = parent;
            this.count = count;
        }
    }


    public int leastCommonAncestor(int n1, int n2) {
        if (root == null) {
            throw new NoSuchElementException("The tree is empty.");
        }

        LCAData lcaData = new LCAData(null, 0);
       // foundMatch (root, lcaData, n1,  n2);

        /**
         * QQ: boolean was returned but never used by caller.
         */
        foundMatchAndDuplicate (root, lcaData, n1,  n2, new HashSet<Integer>());

        if (lcaData.lca != null) {
            return lcaData.lca.item;
        } else {
            /**
             * QQ: Illegal thrown after processing function.
             */
            throw new IllegalArgumentException("The tree does not contain either one or more of input data. ");
        }
    }

//    /**
//     * Duplicate n1, n1         Duplicate in Tree
//     *      x                           x               => succeeds
//     *      x                           1               => fails.
//     *      1                           x               => succeeds by throwing exception
//     *      1                           1               => succeeds
//     */
//    private boolean foundMatch (TreeNode node, LCAData lcaData, int n1, int n2) {
//        if (node == null) {
//            return false;
//        }
//
//        if (lcaData.count == 2) {
//            return false;
//        }
//
//        if ((node.item == n1 || node.item == n2) && lcaData.count == 1) {
//            lcaData.count++;
//            return true;
//        }
//
//        boolean foundInCurrent = false;
//        if (node.item == n1 || node.item == n2) {
//            lcaData.count++;
//            foundInCurrent = true;
//        }
//
//        boolean foundInLeft = foundMatch(node.left, lcaData, n1, n2);
//        boolean foundInRight = foundMatch(node.right, lcaData, n1, n2);
//
//        if ((foundInLeft && foundInRight) || (foundInCurrent && foundInRight) || (foundInCurrent && foundInLeft)) {
//            lcaData.lca = node;
//            return true; 
//        }
//        return foundInCurrent || (foundInLeft || foundInRight);
//    }


    private boolean foundMatchAndDuplicate (TreeNode node, LCAData lcaData, int n1, int n2, Set<Integer> set) {
        if (node == null) {
            return false;
        }

        // when both were found
        if (lcaData.count == 2) {
            return false;
        }

        // when only one of them is found
        if ((node.item == n1 || node.item == n2) && lcaData.count == 1) {
            if (!set.contains(node.item)) {
                lcaData.count++;
                return true;
            }
        }

        boolean foundInCurrent = false;  
        // when nothing was found (count == 0), or a duplicate was found (count == 1)
        if (node.item == n1 || node.item == n2) {
            if (!set.contains(node.item)) {
                set.add(node.item);
                lcaData.count++;
            }
            foundInCurrent = true;
        }

        boolean foundInLeft = foundMatchAndDuplicate(node.left, lcaData, n1, n2, set);
        boolean foundInRight = foundMatchAndDuplicate(node.right, lcaData, n1, n2, set);

        if (((foundInLeft && foundInRight) || 
                (foundInCurrent && foundInRight) || 
                    (foundInCurrent && foundInLeft)) &&
                        lcaData.lca == null) {
            lcaData.lca = node;
            return true; 
        }
        return foundInCurrent || (foundInLeft || foundInRight);
    }




    public static void main(String args[]) {
        /**
         * Binary tree with unique values.
         */
        Integer[] arr1 = {1, 2, 3, 4, null, 6, 7, 8, null, null, null, null, 9};
        LeastCommonAncestor commonAncestor = new LeastCommonAncestor();
        commonAncestor.createBinaryTree(arr1);

        int ancestor = commonAncestor.leastCommonAncestor(2, 4);
        System.out.println("Expected 2, actual " + ancestor);

        ancestor = commonAncestor.leastCommonAncestor(2, 7);
        System.out.println("Expected 1, actual " +ancestor);

        ancestor = commonAncestor.leastCommonAncestor(2, 6);
        System.out.println("Expected 1, actual " + ancestor);

        ancestor = commonAncestor.leastCommonAncestor(2, 1);
        System.out.println("Expected 1, actual " +ancestor);

        ancestor = commonAncestor.leastCommonAncestor(3, 8);
        System.out.println("Expected 1, actual " +ancestor);

        ancestor = commonAncestor.leastCommonAncestor(7, 9);
        System.out.println("Expected 3, actual " +ancestor);

        // duplicate request 
        try {
            ancestor = commonAncestor.leastCommonAncestor(7, 7);
        } catch (Exception e) {
            System.out.println("expected exception");
        }

        /**
         * Binary tree with duplicate values.
         */
        Integer[] arr2 = {1, 2, 8, 4, null, 6, 7, 8, null, null, null, null, 9};
        commonAncestor = new LeastCommonAncestor();
        commonAncestor.createBinaryTree(arr2);

        // duplicate requested
        ancestor = commonAncestor.leastCommonAncestor(8, 8);
        System.out.println("Expected 1, actual " + ancestor);

        ancestor = commonAncestor.leastCommonAncestor(4, 8);
        System.out.println("Expected 4, actual " +ancestor);

        ancestor = commonAncestor.leastCommonAncestor(7, 8);
        System.out.println("Expected 8, actual " +ancestor);

        ancestor = commonAncestor.leastCommonAncestor(2, 6);
        System.out.println("Expected 1, actual " + ancestor);

         ancestor = commonAncestor.leastCommonAncestor(8, 9);  
        System.out.println("Expected 8, actual " +ancestor); // failed.
    }
}
JavaDeveloper
  • 5,320
  • 16
  • 79
  • 132