14

Context

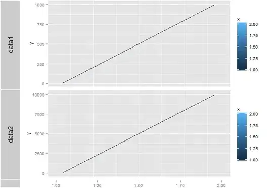
I want to plot two ggplot2 on the same page with the same legend. http://code.google.com/p/gridextra/wiki/arrangeGrob discribes, how to do this. This already looks good. But... In my example I have two plots with the same x-axis and different y-axis. When the range of the the y-axis is at least 10 times higher than of the other plot (e.g. 10000 instead of 1000), ggplot2 (or grid?) does not align the plots correct (see Output below).

Question

How do I also align the left side of the plot, using two different y-axis?

Example Code

x = c(1, 2)
y = c(10, 1000)
data1 = data.frame(x,y)
p1 <- ggplot(data1) + aes(x=x, y=y, colour=x) + geom_line()

y = c(10, 10000)
data2 = data.frame(x,y)
p2 <- ggplot(data2) + aes(x=x, y=y, colour=x) + geom_line()


# Source: http://code.google.com/p/gridextra/wiki/arrangeGrob
leg <- ggplotGrob(p1 + opts(keep="legend_box"))
legend=gTree(children=gList(leg), cl="legendGrob")
widthDetails.legendGrob <- function(x) unit(3, "cm")
grid.arrange(
  p1 + opts(legend.position="none"),
  p2 + opts(legend.position="none"),
  legend=legend, main ="", left = "")

Output

Example image

apepper
  • 421
  • 1
  • 5
  • 8

3 Answers3

10

A cleaner way of doing the same thing but in a more generic way is by using the formatter arg:

p1 <- ggplot(data1) +
    aes(x=x, y=y, colour=x) +
    geom_line() + 
    scale_y_continuous(formatter = function(x) format(x, width = 5))

Do the same for your second plot and make sure to set the width >= the widest number you expect across both plots.

  • 5
    In my version of ggplot2, the argument was "[labels](http://docs.ggplot2.org/current/scale_continuous.html)" and not "formatter". – simlmx Dec 12 '12 at 19:39
8

1. Using cowplot package:

library(cowplot)
plot_grid(p1, p2, ncol=1, align="v")

enter image description here


2. Using tracks from ggbio package:

Note: There seems to be a bug, x ticks do not align. (tested on 17/03/2016, ggbio_1.18.5)

library(ggbio)
tracks(data1=p1,data2=p2)

enter image description here

zx8754
  • 52,746
  • 12
  • 114
  • 209
7

If you don't mind a shameless kludge, just add an extra character to the longest label in p1, like this:

p1 <- ggplot(data1) +
    aes(x=x, y=y, colour=x) +
    geom_line() + 
    scale_y_continuous(breaks = seq(200, 1000, 200),
                       labels = c(seq(200, 800, 200), " 1000"))

I have two underlying questions, which I hope you'll forgive if you have your reasons:

1) Why not use the same y axis on both? I feel like that's a more straight-forward approach, and easily achieved in your above example by adding scale_y_continuous(limits = c(0, 10000)) to p1.

2) Is the functionality provided by facet_wrap not adequate here? It's hard to know what your data structure is actually like, but here's a toy example of how I'd do this:

library(ggplot2)

# Maybe your dataset is like this
x <- data.frame(x = c(1, 2),
                y1 = c(0, 1000),
                y2 = c(0, 10000))

# Molten data makes a lot of things easier in ggplot
x.melt <- melt(x, id.var = "x", measure.var = c("y1", "y2"))

# Plot it - one page, two facets, identical axes (though you could change them),
# one legend
ggplot(x.melt, aes(x = x, y = value, color = x)) +
    geom_line() +
    facet_wrap( ~ variable, nrow = 2)
Matt Parker
  • 26,709
  • 7
  • 54
  • 72