Ziegler-methode
De ziegler-methode is een intramoleculaire thorpe-reactie en wordt om die reden ook wel thorpe-ziegler-reactie genoemd. Het is een aldol-type reactie waarbij beide reactiepartners in hetzelfde molecule aanwezig zijn:

Als men bijvoorbeeld verbinding 1 in alkalisch reactiemidden brengt, zal enamine 2 gevormd worden. Deze verbinding zal in zuur midden makkelijk hydrolyseren ter vorming van β-ketonitril 3. Het reactiemechanisme is identiek aan dat van de thorpe-reactie.
Toepassingen
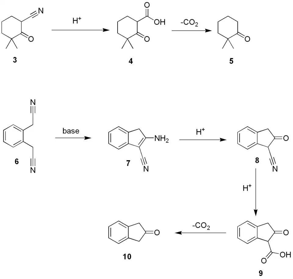
De ziegler-methode kent enkele interessante toepassingen. Zo kan men β-ketonitril 3 verder hydrolyseren naar ketocarbonzuur 4, dat na decarboxylering cyclisch keton 5 geeft. In een ander voorbeeld kan men zien hoe men dinitril 6 omzet naar enamine 7 na behandelen met base, en hoe deze door zure hydrolyse eerst wordt omgezet naar β-ketonitril 8 en vervolgens naar ketocarbonzuur 9. Deze verbinding kan gedecarboxyleerd worden tot 2-indanon (10). Vijf- tot achtringen worden vlot gevormd, maar de methode gaat niet op voor negen- tot dertienringen. Veertienringen (en hoger) worden wel gevormd indien men met hoge verdunningen werkt (om intermoleculaire reactie uit te sluiten).

Referenties
- M.B. Smith & J. March, March's Advanced Organic Chemistry (Wiley, 2001), ISBN 0-471-58589-0