Wenker-aziridinesynthese
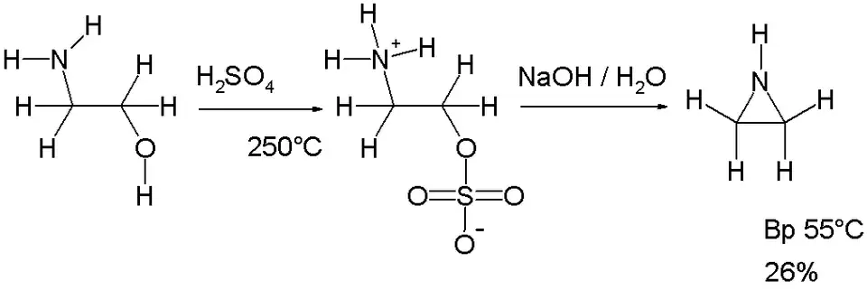
De Wenker-aziridinesynthese is een chemische reactie, genoemd naar de Amerikaanse scheikundige Henry Wenker.[1] Het is een cyclisatiereactie voor de vorming van aziridines uitgaande van een vicinaal aminoalcohol - waarbij een aminogroep en een hydroxylgroep op naast elkaar gelegen koolstofatomen voorkomen - zoals 2-amino-ethanol:

In een eerste stap wordt de 2-amino-ethanol op hoge temperatuur met zwavelzuur omgezet tot het sulfonaatzout. Dit zout wordt dan gereageerd met natriumhydroxide, waarbij het aziridine (etheenimine) gevormd wordt. In deze tweede stap gebeurt een deprotonering aan de aminegroep, waardoor deze de sulfonaatgroep kan substitueren en ringsluiting optreedt.
Voorbeeld
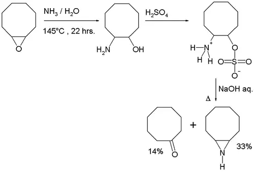
Een voorbeeld is de vorming van cycloocteenimine uitgaande van cycloocteenoxide via 2-aminocyclooctanol:
![9-Azabicyclo[6.1.0]nonane synthesis](./WenkerSynthApplic.png)
Hierbij vindt ook Hofmann-eliminatie plaats, waarbij cyclooctanon ontstaat als nevenproduct.[2]
Varianten
De Wenker-synthese kan ook bij lagere temperatuur (140-180 °C) doorgevoerd worden, waarbij de opbrengst hoger is.[3]
Een variante gebruikt chloorsulfonzuur in plaats van zwavelzuur in de eerste stap. Deze methode is bruikbaar voor amino-alcoholen die onstabiel zijn in heet zwavelzuur.[4]
Externe links
- ↑ Henry Wenker: "The preparation of ethylene imine from monoethanolamine." J. Am. Chem. Soc., 1935, 57 (11), p. 2328. DOI:10.1021/ja01314a504
- ↑ D. V. Kashelikar, Paul E. Fanta. "Chemistry of Ethylenimine. VII. Cycloöctenimine or 9-Azabicyclo[6.1.0]nonane" J. Am. Chem. Soc., 1960, 82(18), p. 4927 DOI:10.1021/ja01503a044
- ↑ Philip A. Leighton, William A. Perkins, Melvin L. Renquist. "A Modification of Wenker's Method of Preparing Ethyleneimine" J. Am. Chem. Soc., 1947, 69(6), p. 1540. DOI:10.1021/ja01198a512
- ↑ Xinyao Li, Ning Chen, Jiaxi Xu. " An Improved and Mild Wenker Synthesis of Aziridines." Synthesis, 2010, vol. 20, p. 3423. DOI:10.1055/s-0030-1257913