Ugi-reactie
De Ugi-reactie is een organische multicomponentreactie tussen een keton of aldehyde, een amine, een isocyanide en een carbonzuur, ter vorming van een bis-amide.[1][2]

De reactie werd genoemd naar de Duitse scheikundige Ivar Karl Ugi, die ze voor het eerst publiceerde in 1959. Ze is exotherm en binnen enkele minuten na toevoeging van het isocyanide is ze afgelopen. De reactie wordt doorgaans uitgevoerd in polaire aprotische oplosmiddelen, zoals dimethylformamide (DMF) of dimethylsulfoxide (DMSO). De Ugi-reactie wordt niet gekatalyseerd en verloopt met hoge rendementen.
De Ugi-reactie is van belang bij het aanleggen van chemische bibliotheken: dit zijn grote verzamelingen van chemische verbindingen die via combinatoriële chemie worden samengesteld. Door verschillende uitgangsstoffen aan te wenden, kan een grote verscheidenheid aan eindproducten gevormd worden.
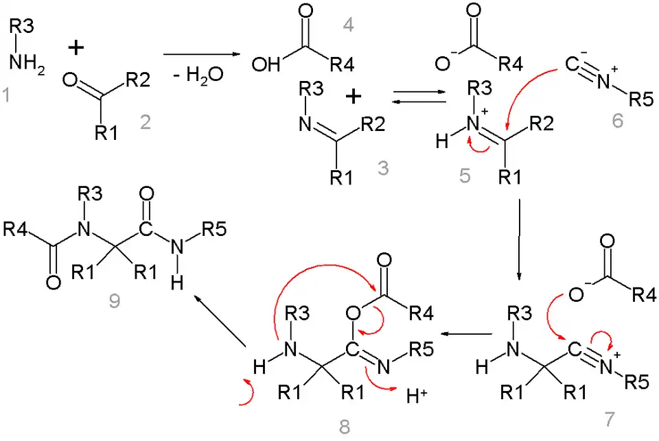
Reactiemechanisme
De Ugi-reactie start met een condensatiereactie tussen het amine (1) en de carbonylverbinding (2), waardoor een imine (3) ontstaat. De toevoeging van het carbonzuur (4) leidt tot protonering van het imine-stikstof (5), waardoor het enigszins nucleofiele koolstofatoom uit het isocyanide vlot kan adderen. Het ontstane carboxylaat kan nu een nucleofiele aanval uitvoeren op het koolstofatoom van het ingevoerde isocyanide (7), waardoor een intermediaire acylverbinding (8) ontstaat. Het bis-amide (9) wordt gevormd door een intramoleculaire acyl-transferreactie (een zogenaamde Mumm-omlegging).

Varianten
Van de klassieke Ugi-reactie zijn een aantal varianten ontwikkeld, die doorgaans gestoeld zijn op de combinatie met andere organische reacties. Van belang zijn onder andere:
Zie ook
- ↑ (en) I.K. Ugi, R. Meyr, U. Fetzer & C. Steinbrückner (1959) - Versuche mit Isonitrilen, Angew. Chem., 71 (11), pp. 373-388
- ↑ (en) I.K. Ugi & C. Steinbrückner (1960) - Über ein neues Kondensations-Prinzip, Angew. Chem. 72 (7–8), pp. 267-268