Stork-enamine-alkylering
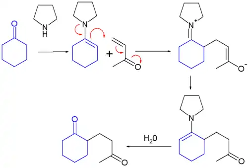
De Stork-enamine-alkylering is organische reactie waarbij een nucleofiel wordt geaddeerd aan een α,β-onverzadigde carbonylverbinding middels een nucleofiele geconjugeerde additie.[1] De reactie is vergelijkbaar met de Michael-additie. Het reactieproduct wordt gehydrolyseerd door een zure oplossing, zodat een 1,5-dicarbonylverbinding wordt gevormd. De reactie werd vernoemd naar de Belgisch-Amerikaanse scheikundige Gilbert Stork.
De reactie bestaat uit 3 reactiestappen:
- De vorming van een enamine uit een keton
- De additie van het enamine aan de α,β-onverzadigde carbonylverbinding (aldehyde of keton)
- Hydrolyse van het enamine tot het keton

Variaties
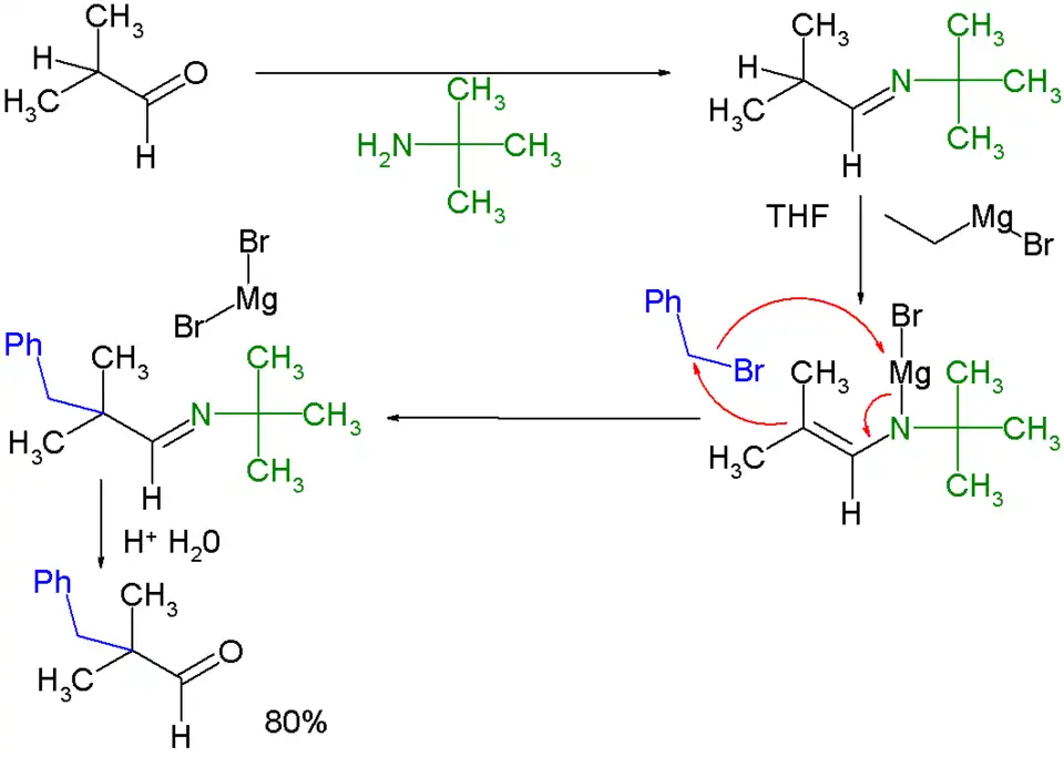
In bijzondere gevallen is het ook mogelijk om ketonen of aldehyden te alkyleren met alkylhalogeniden. Deze zijn echter minder elektrofiel. Bij deze methode wordt de carbonylverbinding omgezet in een imine door een alkylimino-substitutie met een primair amine. Het imine reageert dan met een Grignard-reagens tot het corresponderende magnesiumzout. Dat is in staat om verder te reageren tot een intermediair dat het halogenide (in onderstaand geval bromide) afsplitst. De hydrolyse hiervan leidt tot het gealkyleerde keton.

- ↑ (en) G. Stork & S.R. Dowd (1963) - A New Method for the Alkylation of Ketones and Aldehydes: the C-Alkylation of the Magnesium Salts of N-Substituted Imines, J. Am. Chem. Soc. 85 (14), pp. 2178 - 2180