Sharpless-dihydroxylering
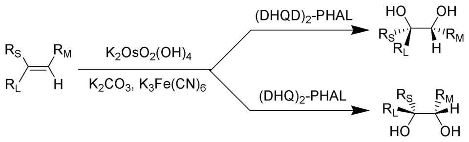
De Sharpless-dihydroxylering is een asymmetrische organische reactie waarbij een alkeen wordt omgezet in een vicinaal diol met behulp van osmium(VIII)oxide als oxidator, in aanwezigheid van een chiraal kinine-ligand:[1]

De reactie werd ontwikkeld door de Amerikaanse scheikundige en Nobelprijswinnaar Karl Barry Sharpless en diens medewerkers.
Net als de vergelijkbare Upjohn-dihydroxylering en Milas-hydroxylering maakt de Sharpless-dihydroxylering gebruik van een katalytische hoeveelheid osmium(VIII)oxide, dat in wezen een dure, zeer toxische en vluchtige vaste stof is. Het gereduceerde osmium wordt vervolgens opnieuw geoxideerd door N-methylmorfoline-N-oxide (NMO)[2] of door kaliumhexacyanoferraat(III).[3] De reagentia zijn commercieel beschikbaar als een mengsel, de zogenaamde AD-mix. Als bron voor osmium(VIII)oxide wordt gebruikgemaakt van kaliumosmiaat.
Reactiemechanisme
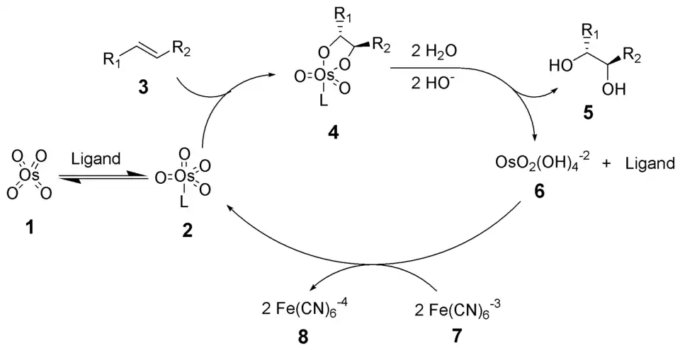
De reactie start met de additie van het chirale kinine-ligand aan osmium(VIII)oxide (1), zodat een osmiaatcomplex (2) gevormd wordt. De daaropvolgende reactie betreft een [3+2]-cycloadditie aan het alkeen (3), waarbij een cyclische intermediair (4) ontstaat. Hydrolyse daarvan leidt tot vorming van het chirale diol (5) en het gereduceerde osmiaat (6), dat vervolgens opnieuw geoxideerd wordt tot osmium(VIII)oxide.

Zie ook
- ↑ (en) K.B. Sharpless, W. Amberg, Y.L. Bennani, G.A. Crispino, J. Hartung, K.S. Jeong, H.L. Kwong, K. Morikawa & Z.M. Wang (1992) - The osmium-catalyzed asymmetric dihydroxylation: a new ligand class and a process improvement, J. Org. Chem., 57 (10), pp. 2768-2771
- ↑ (en) V. VanRheenen, R.C. Kelly & D.Y. Cha (1976) - An improved catalytic OsO4 oxidation of olefins to cis-1,2-glycols using tertiary amine oxides as the oxidant, Tetrahedron Lett., 17 (23), pp. 1973-1976
- ↑ (en) M. Minato, K. Yamamoto & J. Tsuji (1990) - Osmium tetraoxide catalyzed vicinal hydroxylation of higher olefins by using hexacyanoferrate(III) ion as a cooxidant, J. Org. Chem., 55 (2), pp. 766-768