SN1-reactie
De SN1-reactie is een reactiemechanisme in de scheikunde. Het is een nucleofiele alifatische substitutiereactie. Hierbij wordt de leaving group, een deel van een substraatmolecuul, vervangen door een nucleofiel deeltje.
De naam SN1 staat voor een substitutie door een nucleofiel deeltje in een monomoleculaire snelheidsbepalende stap. Dit houdt in dat bij de snelheidsbepalende (langzaamste) stap in het mechanisme één deeltje betrokken is. Dat ene deeltje is bij SN1 het substraatmolecuul; de snelheid van de reactie wordt bepaald door de snelheid van de afsplitsing van de leaving group.
Reactiemechanisme
Een voorbeeld van een SN1-reactie is die van 2-broom-2-methylpropaan met het jodide-ion.
In de eerste stap wordt het substraat gesplitst in een carbokation en de leaving group, bromide in dit voorbeeld. Vervolgens reageert het carbokation met een nucleofiel deeltje, in dit voorbeeld jodide. Het mechanisme van de reactie werd ontrafeld met behulp van metingen van reactiesnelheden (de reactiekinetiek) en de stereochemie. In het algemeen zijn carbokationen zo instabiel dat ze zeer snel met een nucleofiel deeltje zullen reageren. Daardoor is de eerste stap, de splitsing van het substraat in carbokation en leaving group, in de regel snelheidsbepalend.
Een ander reactiemechanisme dat qua naamgeving lijkt op het hierboven beschreven mechanisme, is de SN2-reactie. Dit is een nucleofiele substitutie waarbij de snelheidsbepalende stap bimoleculair is.
Reactiekinetiek
De SN1 reactie is een eerste orde reactie; de snelheid van deze reactie is alleen recht evenredig met de concentratie van het substraat, [RX].
- s = k[RX]
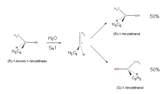
Stereochemie van SN1
Als het koolstofatoom waaraan de substitutie plaatsvindt, het centrale koolstofatoom, een chiraal koolstofatoom is, dan is het mogelijk de stereochemie van de reactie te bestuderen. Bij de SN1 substitutie van R-1-broom-1-fenylethaan in water[1] (een solvolyse) ontstaat een racemaat van 50% R-1-fenylethanol en 50% S-1-fenylethanol. Zie onderstaande afbeelding.

De verklaring luidt als volgt. Het carbokation dat na de eerste reactiestap ontstaat heeft een vlakke structuur. Het centrale koolstofatoom is in dit ion namelijk sp2 gehybridiseerd. Het ion bevindt zich in een zee van nucleofiele watermoleculen. Watermoleculen kunnen met evenveel kans aan beide kanten binden. Er ontstaat dus een racemaat. In dit geval kan men spreken over een puur SN1 mechanisme.
Factoren die de SN1 reactie beïnvloeden
De structuur van de groepen aan het centrale koolstofatoom.[2] SN1 reacties vinden alleen plaats als het intermediaire carbokation gestabiliseerd wordt. Principieel is het beter te kijken naar de structuur van de overgangstoestand maar het is zeer waarschijnlijk dat deze sterk lijkt op die van het carbokation. Stabilisatie van het carbokation betekent dat de positieve lading over een aantal atomen is verdeeld. Verdeling van positieve lading vindt plaats door middel van (a) mesomerie, (b) inductief effect of (c) het naburig groep effect.
In de onderstaande tabel staan de relatieve solvolysesnelheden van enige broomalkanen in water.
| Relatieve solvolysesnelheid van broomalkanen in water bij 500C[3] | |
|---|---|
| Verbinding | Relatieve reactiesnelheid |
| broommethaan | 1,05 |
| broomethaan | 1,00 |
| 2-broompropaan | 11,6 |
| 2-methyl-2-broompropaan | 1.200.000 |
Aangenomen mag worden dat de primaire broomalkanen bij deze solvolyse een SN2 mechanisme volgen. De relatieve SN1 reactiesnelheden voor broommethaan en broomethaan zullen dus nog veel kleiner zijn dan de in de tabel vermelde waarden. De relatief grote reactiesnelheid van 2-methyl-2-broompropaan wordt toegeschreven aan het elektrondonerend inductief effect van de methylgroepen.
Het effect van fenylgroepen aan het centrale koolstofatoom op de solvolysesnelheid is in de volgende tabel te zien:
| Relatieve solvolysesnelheid in 40% ethanol, 60% ethoxyethaan[3] | |
|---|---|
| Verbinding | Relatieve reactiesnelheid |
| fenylchloormethaan | 1,0 |
| difenylchloormethaan | 2000 |
| trifenylchloormethaan | 30.000.000 |
De verdeling van de positieve lading van het intermediaire carbokation over de fenylgroepen wordt verklaard door mesomerie:

De aard van het nucleofiele deeltje. Omdat in de snelheidsbepalende stap het nucleofiele deeltje geen rol speelt is de reactiesnelheid bij een SN1 reactie onafhankelijk van de aard van het nucleofiele deeltje.
De aard van het oplosmiddel. Een polair oplosmiddel zal de vorming van een carbokation bevorderen, met name ook als het oplosmiddel goed waterstofbruggen kan vormen. Oplosmiddelen als water, methanol en ethanol zijn daarom gunstig voor reacties die via een SN1 mechanisme verlopen.[4] Omdat de reactiesnelheid samenhangt met het verschil in vrije enthalpie tussen uitgangstoestand en overgangstoestand, kan het effect van verandering van oplosmiddel op de stabiliteit van het apolaire substraatmolecuul in sommige gevallen van doorslaggevende betekenis zijn.[5]
Opmerkingen
- SN1 en SN2 zijn twee uiterste mechanismen. Het is goed mogelijk dat beide mechanismen een rol spelen in een nucleofiele substitutie, bijvoorbeeld doordat in bepaalde omstandigheden beide mechanismen ongeveer even snel verlopen. Ook is het mogelijk dat de eerste stap van het SN1 mechanisme gedeeltelijk verloopt, er ontstaat dan een ionpaar, vervolgens gaat het nucleofiele deeltje aan het positieve deel van het ionpaar binden terwijl de leaving groep dan helemaal loslaat.
- Omdat nucleofiele deeltjes ook een basisch karakter hebben, treden vaak eliminatiereacties op als nevenreactie van nucleofiele substitutie.
- Bronnen en referenties
- R.Breslow, Organic Reaction Mechanisms, an Introduction (New York: W. A. Benjamin, 1969), Ch. 3
- J.F.J. Engbersen en AE. de Groot, Inleiding in de Bio-organische Chemie, (Wageningen: Pudoc 1986), Ch. 6
- J.M. Harris and C. C. Wamser, Fundamentals of Organic Reaction Mechanisms, (New York: Wiley&Sons, 1976), Ch. 4