Reimer-Tiemann-reactie
De Reimer-Tiemannreactie is een organische reactie die gebruikt wordt om fenolen op de ortho-, of 2-plaats, te formyleren.[1][2][3][4] De reactie is voor het eerst beschreven door Karl Ludwig Reimer en Ferdinand Tiemann. De reactie is een van de varianten op de elektrofiele aromatische substitutie. In zijn eenvoudigste form is het product salicylaldehyde:

Reactiemechanisme
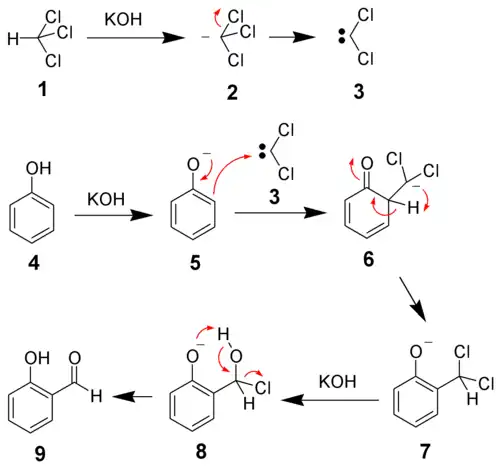
Chloroform (1) reageert met een sterke base en vormt het chloroform-carbanion (2). Dit anion elimineert heel snel een chloride-ion waarbij dichloorcarbeen ontstaat (3). Het gevormde dichloorcarbeen reageert uiteindelijk op de ortho-positie van het fenolaat-ion (5) waarbij een dichloormethylfenol (7) ontstaat. Na basische hydrolyse wordt het eindproduct (9) gevormd.

Zie ook
- Duffreactie
- Gattermannreactie