Polybenzimidazool
Een polybenzimidazool (PBI) is een synthetisch polymeer, gekenmerkt door benzimidazoolgroepen in de repeterende eenheden van de polymeerketen. Een benzimidazoolgroep bestaat uit een imidazoolring en een benzeenring die een gemeenschappelijke zijde hebben. PBI is een hoogperformante kunststof bestand tegen hoge temperaturen en mechanische belasting.
Vorming
De benzimidazoolgroep wordt bekomen door de reactie van een aromatisch diamine met een carbonzuur of een ester van een carbonzuur. De twee aminegroepen moeten gebonden zijn aan naast elkaar gelegen koolstofatomen van een benzeenring; dit is in de zogenaamde ortho-configuratie. Als men deze polymeriseert verkrijgt men polymeren met één benzimidazoolgroep per repeterende eenheid in de keten . Men kan ook één aromatische verbinding nemen die zowel een carbonzuurgroep als twee ortho-aminegroepen bezit, bijvoorbeeld 4-carboxy-3',4'-diaminodifenylether.
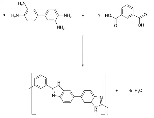
Lineaire polymeren met twee benzimidazoolgroepen per repeterende eenheid verkrijgt men met aromatische verbindingen met vier aminegroepen (bis-ortho-amines) en dicarbonzuren of esters van dicarbonzuren . Wanneer ook de carbonzuren aromatisch zijn, verkrijgt men polymeren met uitstekende thermische en mechanische eigenschappen. Voorbeelden van tetra-amines zijn 1,2,4,5-tetra-aminobenzeen en 3,3',4,4'-tetra-aminobifenyl. Aromatische dicarbonzuren zijn bijvoorbeeld ftaalzuur, isoftaalzuur of tereftaalzuur. Een commercieel verkrijgbaar polymeer van dit type is Celazole PBI[1], dit is poly[2,2’-(m-fenyleen)-5,5’-bibenzimidazool][2]. Het is het polymeer van 3,3',4,4'-tetra-aminobifenyl en isoftaalzuur. De synthese hiervan kan als volgt voorgesteld worden:

Ontwikkeling
De eerste polybenzimidazolen werden in de jaren 1950 ontwikkeld[3].
In 1961 kondigden H. Vogel en C.S. Marvel de synthese aan van volledig aromatische polybenzimidazolen met een hoge thermische stabiliteit, waaronder het vermelde poly[2,2’-(m-fenyleen)-5,5’-bibenzimidazool].[4]. De polymerisatie gebeurde in twee stappen: eerst werd een polymeer met een intermediair moleculair gewicht gevormd door de monomeren te verhitten tot boven hun smeltpunt. Het reactieproduct werd na stolling tot poeder vermalen en in een tweede stap in vaste toestand verhit tot 350 à 500 °C waarbij het verder polymeriseerde tot een hoogmoleculair polymeer.
Met financiering van het Amerikaanse leger en de Amerikaanse luchtmacht werd de ontwikkeling van dit materiaal verder onderzocht, met name voor de toepassing in kleefstoffen, laminaten en vezels die aan hoge temperaturen konden blootgesteld worden. Relatief sterke, thermisch stabiele PBI-vezels kon men spinnen van PBI opgelost in polaire aprotische oplosmiddelen, zoals dimethylsulfoxide of dimethylaceetamide. Deze bleken ook goede vlamvertragende eigenschappen te hebben. De NASA en de luchtmacht[5] financierden verder onderzoek met het oog op de toepassing van het materiaal in onder meer pakken voor piloten en ruimtevaarders. Een probleem daarbij was, dat de vezels bij hoge temperaturen sterk krompen, waardoor de drager aan vlammen kon worden blootgesteld. Om dat te vermijden worden de vezels nabehandeld met zuur, zodat men sulfonzure groepen op de imidazoolringen substitueert. De gesulfoneerde vezels vertonen nog een krimp van circa 6%. Het zijn deze gestabiliseerde vezels die sedert 1983 commercieel verkrijgbaar zijn.
Eigenschappen
Typische eigenschappen van (vast) PBI zijn[6]:
- dichtheid: ca. 1,3 g/cm3
- treksterkte 160 MPa
- rek bij breuk 3%
- compressiemodulus 5,9 GPa
- wrijvingscoëfficiënt t.o.v. staal 0,15
- permittiviteit 3,3
- glastemperatuur ca. 425 °C
- maximale gebruikstemperatuur: ca. 400 °C; kortstondig tot meer dan 700 °C
- kan gebruikt worden tot −196 °C
- chemische bestendigheid: goed, behalve tegen zuren en basen
- onoplosbaar in water; oplosbaar in polaire aprotische oplosmiddelen
- brandt niet aan de lucht
- kleur: zwart
Toepassingen
PBI-vezels worden gebruikt in beschermende kledij voor militaire piloten, ruimtevaarders, brandweerlui, racepiloten en lassers; in temperatuurbestendige handschoenen, in wandbekleding van vliegtuigen. Het materiaal wordt aangeboden als alternatief voor asbest en als hoogtemperatuurfilterweefsel. Naast vezels kunnen ook dunne films, membranen of deklagen (coatings) gemaakt worden uit PBI opgelost in dimethylaceetamide.
Voorwerpen uit "puur" PBI kunnen niet gemaakt worden met gebruikelijke technieken voor thermoplastische kunststoffen zoals spuitgieten of extruderen, omdat vast PBI zich gedraagt als een thermoharder (hoogmoleculair PBI heeft geen smeltpunt). PBI-poeder wordt onder hoge druk en temperatuur samengeperst en de bekomen vormen worden verder mechanisch afgewerkt. Ze worden gebruikt als precisie-onderdelen die bestand moeten zijn tegen hoge temperaturen en belastingen en goede slijtvastheid en chemische bestendigheid moeten vertonen: lagers, glijlagers, pakkingen en dergelijke. Toepassingsgebieden zijn de chemische en petrochemische nijverheid, de halfgeleiderindustrie, de lucht- en ruimtevaart, of bij solderen. Er zijn ook polymeerlegeringen van PBI met andere polymeren op de markt, die wel met spuitgieten of extruderen kunnen verwerkt worden (Celazole T-serie).
- ↑ Merknaam van PBI Performance Products, Inc. (oorspronkelijk van Hoechst-Celanese)
- ↑ U.S.Patent 4483977, "high molecular weight polybenzimidazoles" van 20 november 1984 aan Celanese Corp.
- ↑ U.S.Patent 2895948, "Polybenzimidazoles" van 21 juli 1959 aan E.I. du Pont de Nemours and Company.
- ↑ U.S. Patent 3174947, "Polybenzimidazoles and their preparation" van 23 maart 1965 aan de University of Illinois Foundation
- ↑ Fireblocking fibers (NASA artikel)
- ↑ Bron: CelazolePBI.com