Pinacolomlegging
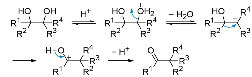
De pinacolomlegging of pinacol-pinacolonomlegging is een organische reactie waarbij een vicinaal diol in zuur milieu wordt omgezet tot een carbonylverbinding (doorgaans een keton):

Het is een typische 1,2-omlegging die vernoemd werd naar de omzetting die optreedt wanneer pinacol (2,3-dimethylbutaan-2,3-diol) wordt behandeld met zwavelzuur (en waarbij pinacolon gevormd wordt). De reactie werd in 1860 voor het eerst beschreven door de Duitse scheikundige Wilhelm Rudolph Fittig, die ook al de pinacolkoppeling ontdekte.[1]
Reactiemechanisme
De reactie start met de protonering van één der hydroxylgroepen, waardoor water als leaving group kan optreden. Daarbij ontstaat een carbokation, dat kan omleggen via een Wagner-Meerwein-omlegging. Arylgroepen migreren het best, tert-butylgroepen iets minder en methylgroepen het slechtst. Het carbokation komt daardoor aan de basis van de andere hydroxylgroep te liggen, hetgeen een grote stabilisatie meebrengt, omdat door afsplitsing van een proton een carbonylgroep gevormd kan worden.

Zie ook
- Tiffeneau-Demjanov-omlegging
- ↑ (de) W.R. Fittig (1860) - Über einige Derivate des Acetons, Annalen der Chemie und Pharmacie, 114 (1), pp. 54-63