Pfitzinger-reactie
De Pfitzinger-reactie (ook wel Pfitzinger-Borsche-reactie genoemd) is een organische reactie, waarbij isatine met een carbonylverbinding en een base reageert tot een carbonzuur-chinolinederivaat.[1]

Reactiemechanisme
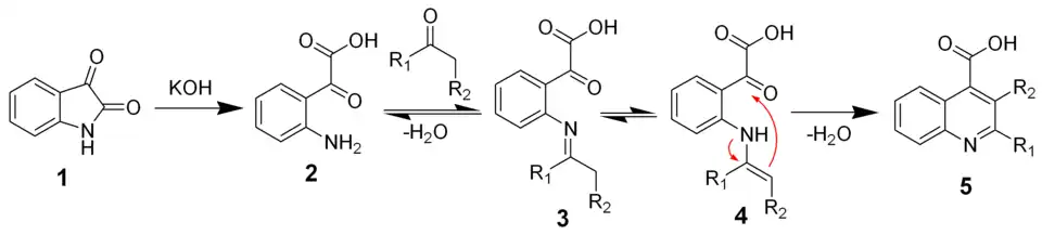
De reactie start met de opening van de vijfring in isatine met behulp van kaliumhydroxide tot het α-ketocarbonzuur 2. Dit intermediair is stabiel en kan als zodanig worden geïsoleerd. De vervolgreactie betreft een zuur-gekatalyseerde vorming van een imine (3) en een enamine (4) uit reactie van het ketocarbonzuur en een equivalent van een carbonylverbinding. Beide structuren staan in evenwicht met elkaar, maar het is het enamine dat via een condensatiereactie zal cycliseren tot het chinolinederivaat (5).

Zie ook
Bronnen, noten en/of referenties
- ↑ (de) W. Pfitzinger (1886), J. Prakt. Chem., 33, p. 100