Perkin-reactie
De Perkin-reactie is een organische reactie die werd ontwikkeld door William Henry Perkin. Tijdens de reactie worden onverzadigde kaneelzuurderivaten gevormd door de condensatie van aromatische aldehyden en carbonzuuranhydrides met vetzuren.[1]

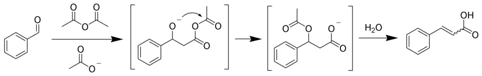
Reactiemechanisme

De reactie start met de deprotonering van het azijnzuuranhydride met een milde base (acetaat), waardoor het overeenkomstige enolaat ontstaat. Dit is een goed nucleofiel en valt hierbij aan op het aromatisch aldehyde. Het intermediair alkoxide dat hierbij ontstaat kan een intramoleculaire nucleofiele additie aan de carbonylgroep uitvoeren, waardoor een anionisch lactonderivaat ontstaat. De ring opent, onder hervorming van de carbonylgroep. Het gevormde carboxylaat kan een nucleofiele additie aan een tweede molecule azijnzuuranhydride uitvoeren, waarbij de overeenkomstige acetaatester ontstaat. Onder invloed van een sterkere base (natriumhydroxide) wordt een proton geabstraheerd en wordt de acetaatgroep uitgestoten. De ontstane dubbele binding is geconjugeerd met het reeds aanwezige anhydridegedeelte. Het uitgestoten acetaat is echter een milde base en kan een nucleofiele carbonyladditie uitvoeren, ditmaal met vorming van het alkoxide van een acetaal. De drijvende kracht voor de volgende reactiestap is de hervorming van de carbonylgroep en het uitstoten van azijnzuuranhydride. Hierbij ontstaat het zout van kaneelzuur, dat na protonering met azijnzuur het gewenste kaneelzuurderivaat oplevert.
Zie ook
- Perkin-omlegging
- ↑ (en) E. Koepp & F. Vögtle (1987), Synthesis: 177