Pauson-Khand-reactie
De Pauson-Khand-reactie is een organische reactie tussen een alkyn, een alkeen en koolstofmonoxide tot een 2-cyclopenten-1-onderivaat:[1]

De reactie is formeel een [2+2+1]-cycloadditie en werd aanvankelijk geactiveerd met een stoichiometrische equivalent dikobaltoctacarbonyl. Later zijn nieuwere en efficiëntere katalytische methoden ontwikkeld op basis van transitiemetalen, waaronder rodium,[2] molybdeen,[3] ijzer[4] en iridium.
In het geval van asymmetrische alkenen en alkynen treedt regioselectiviteit op. Dit kan leiden tot mengsels van verschillende reactieproducten, hetgeen meestal ongewenst is. Daarom wordt van intramoleculaire cycloadditie gebruikgemaakt, waar dit probleem veel minder optreedt:[5]

De opbrengst van de reactie is lager wanneer gebruikgemaakt wordt van niet-terminale alkynen of sterk gesubstitueerde alkenen.
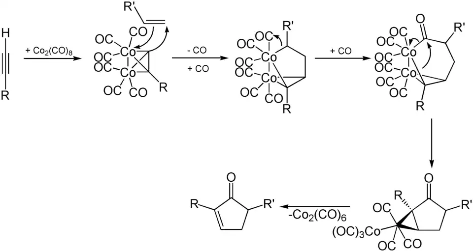
Reactiemechanisme
Het mechanisme van de Pauson-Khand-reactie is niet volledig opgehelderd. Aanvankelijk worden twee carbonylliganden van kobalt onttrokken. Als intermediair wordt een complex gevormd tussen het ontstane dikobalthexacarbonyl en het alkyn, waarbij een tetrahedraan ontstaat (vergelijkbaar met de Nicholas-reactie). Na dissociatie van een CO-ligand grijpt de additie van het alkeen plaats, waarna de CO-ligand opnieuw complexeert met kobalt. Vervolgens wordt met koolstofmonoxide de carbonylgroep ingevoerd en treedt ringsluiting op.

Zie ook
- ↑ (en) P.L. Pauson & I.U. Khand (1977) - Ann. N.Y. Acad. Sci., 295, p. 2
- ↑ (en) N. Jeong, B.K. Sung, J.S. Kim, S.B. Park, S.D. Seo, J.Y. Shin, K.Y. In & Y.K. Choi (2002) - Pauson–Khand-type reaction mediated by Rh(I)catalysts, Pure Appl. Chem., 74 (1), pp. 85–91
- ↑ (en) J. Kent (1995) - A new allenic Pauson-Khand cycloaddition for the preparation of α-methylene cyclopentenones, Tetrahedron Letters, 36 (14), p. 2407-2410
- ↑ (en) B.A. Seigal, M.H. An & M.L. Snapper (2005) - Intramolecular [2+2+1] Cycloadditions with (Cyclobutadiene)tricarbonyliron, Angewandte Chemie (International Edition), 44 (31), pp. 4929-4932
- ↑ (en) N. Jeong, S.H. Hwang, Y. Lee & Y.K. Chung (1994) - Catalytic version of the Intramolecular Pauson-Khand Reaction, Journal of the American Chemical Society, 116 (7), p. 3159-3160