Kwantumbiologie
Kwantumbiologie bestudeert biologische processen en aspecten waar de klassieke fysica en biologie geen nauwkeurige beschrijving van kunnen geven en waar de kwantumtheorie op wordt toegepast. Alle biochemische processen in levende organismen zijn in wezen gebaseerd op kwantummechanica, maar in de kwantumbiologie wordt uitsluitend gekeken naar niet-triviale kwantumverschijnselen. Deze processen betreffen het vangen van fotonen door chromoforen met de vorming van excitons en de daarop volgende overdracht met coherentie naar het reactiecentrum gedurende fotosynthese, tunneling in DNA mutatie en bij enzymatische katalyse, kwantumverstrengeling in magnetoceptie.[1][2]
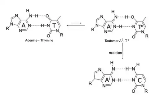
DNA mutatie

Het erfelijke materiaal dat zich in de kern en in andere organellen van de cel bevindt bestaat uit DNA. Het DNA muteert volgens een bepaalde mutatiesnelheid die beïnvloed kan worden door externe factoren zoals ioniserende straling, waaronder UV-straling en Röntgenstraling, door chemicaliën (mutagenen) en door virussen. Het DNA kan ook spontaan muteren, door factoren die op macroscopisch niveau niet aanwijsbaar zijn. Reeds in 1953 werd door Francis Crick en James Watson, de ontdekkers van de structuur van de DNA helix, voorgesteld dat mutaties in dit molecuul spontaan zouden kunnen zijn. Zij merkten op dat ieder van de vier nucleobasen in het DNA (Guanine, Adenine, Cytosine en Thymine) twee tautomere vormen kunnen aannemen die elkaar afwisselen.[3][4][5] Als de base zich op het moment van replicatie in de energetisch ongunstige tautomere vorm bevindt, kunnen mutaties optreden.
Al in 1963 suggereerde Per-Olov Löwdin dat kwantummechanica aan de basis zou kunnen staan van spontane mutaties in het DNA. Hij stelde voor dat de overdracht van protonen tussen de gepaarde nucleobasen in de dubbele DNA-helix werd gevolgd door de tautomerisatie van dezelfde nucleobasen. De overdracht van protonen tussen gepaarde nucleotiden langs de waterstofbruggen met de vorming van energetisch minder gunstige tautomeren zou worden vergemakkelijkt door protontunneling.[6] Het kwantummechanisme van protontunneling stelt de waterstofkern, ofwel de proton, in staat energiebarrières te passeren die met de mechanismen van de klassieke fysica niet kunnen worden overwonnen. De op deze wijze ontstane tautomeren kunnen zich op een andere wijze paren met de tegenoverliggende nucleobase. Guanine vormt normaal gesproken een paar met Cytosine maar kan ook een paar vormen met de tautomeer van Cytosine. Thymine vormt een paar met Adenine, maar kan op analoge wijze ook een paar vormen met de tautomeer van Adenine.[7] Dit betekent niet dat er veranderingen zijn in de geometrische vorm van de tautomeer ten opzichte de oorspronkelijke base of dat er zich vervormingen van de helix voordoen. Als de twee strengen echter worden gescheiden terwijl de DNA-basen zich in hun tautomere vorm bevinden, kunnen ze aanleiding geven tot mutaties wanneer ze als sjabloon dienen in de volgende replicatiecyclus. In dat geval namelijk, zelfs als de tautomere vormen van korte duur zijn, kan guanine een paar vormen met thymine en adenine met cytosine, wat de vorming van een substitutie van de base ofwel een puntmutatie betekent.[1][8] Een studie uit 2021 toont aan dat dit proces bij het basenpaar Adenine -Thymine, na berekening van de rol van tunneling, statistisch onwaarschijnlijk is. Bij het basenpaar Guanine - Cytosine geldt dit proces daarentegen wel.[9] De rol van protontunneling bij DNA-mutaties wordt door sommige auteurs echter van weinig tot geen belang geacht voor puntmutaties en wordt daarom in twijfel getrokken.[10]
Enzymatische katalyse

Een enzym is een proteïne die een substraat bindt waarna de conformatie van het complex verandert, er een chemische reactie plaatsvindt en er vervolgens een product losgelaten wordt. De klassieke fysica beschrijft een enzymatische reactie als een reactie waarbij een energie barrière overwonnen dient te worden. Deze barrière kan hoger of lager liggen waardoor de reactie respectievelijk langzamer of sneller zal gaan. Onderzoekers observeerden dat om een snellere enzymatische reactie te krijgen de temperatuur hoger moest zijn. Toch kwam het ook voor dat bij lage temperaturen de reactie sneller ging.[11][12] Dit effect werd toegeschreven aan kwantumtunneling. Een kwantum, of proton in dit geval, is zowel een deeltje als een golf. Bij kwantumtunneling is het mogelijk dat de golf van een proton door de barrière propageert waardoor deze alsnog, en zelfs sneller, de reactie voltooit. Lichtere deeltjes kunnen over langere afstanden tunnelen. Ook is de breedte van de barrière van belang. De amplitude van de golflengte neemt namelijk af wanneer het proton zich door de barrière verplaatst. Zo is in de klassieke fysica de hoogte van de barrière van belang, maar in de kwantumwereld is de breedte ervan bepalend voor de snelheid waarmee de reactie zich voltooit.[11]
Fotosynthese
Fotosynthese is een biochemisch proces, dat de basis vormt van al het leven, door zonlicht om te zetten in energie voor de synthese van organische moleculen die ten goede komen aan de groei van bacteriën en planten. De efficiëntie van het hele proces is niet erg hoog en ligt rond de 10%, terwijl de efficiëntie van de overbrenging van fotonen en elektronen in de reactiecentra zelf maximaal is.

Fotosynthetische antennes bestaan uit een collectie biologische pigmenten zoals (bacterie)chlorofylen en carotenoïden, meestal bij elkaar gehouden door eiwitcomplexen. Wanneer de pigmenten licht vangen ontstaat er een collectieve excitatie, ook wel “excitons” genoemd. Deze excitons vinden hun weg naar het reactiecentrum met behulp van kwantum coherentie. Er is veel onderzoek gedaan naar het Fenna-Matthews-Olson (FMO) complex.[13] Pas in 2007 werd daarbij aangetoond dat niet alleen bij lage temperaturen maar ook bij kamertemperatuur een coherentie gemeten kon worden die zelfs van langere duur was, wel 600 femtoseconden. Er wordt daarom ook wel gedacht dat middelmatige ruis niveaus van de omgeving waarin de complexen liggen zelfs bijdragen aan de duur van de coherentie.[1] Coherentie staat de excitons toe de snelste weg te vinden naar het reactiecentrum voordat de energie verloren gaat in fluorescentie.
.jpg)
Magnetoceptie
Magnetoreceptie (of magnetoceptie) door het radicale-paar mechanisme werd reeds in 1978 als hypothese voorgesteld door Schulten.[14] De auteurs veronderstelden dat het mechanisme van deze magneetreceptoren overeenkomsten zou kunnen vertonen met wat men al wist van fotosynthese. De daarop volgende onderzoeken bevestigden deze hypothese.[15] De magnetoreceptie door het radicale-paar mechanisme is afhankelijk van het licht. In het netvlies van het oog van trekvogels, zoals het roodborstje, zijn bepaalde eiwitten gevonden, de cryptochromen[16] Er zijn bij veel soorten dieren cryptochromen in het oog gevonden. In zoogdieren zoals de muis en de mens, hebben cryptochromen uitsluitend de rol van regelaars van het circadiaan ritme.[17] Bij de monarchvlinder is het gehele magnetische kompas ingebouwd in een lichtgevoelige antenne.[18]
Mechanisme
Magnetoreceptie door radicale-paar mechanisme is afhankelijk van licht. De flavoproteïnen die zich in het netvlies bevinden, bezitten elektronenacceptors of oxidators zoals het Flavina-adenina-dinucleotide (FAD) die verantwoordelijk zijn voor de redoxreacties.[19] FAD ligt diep in het cryptochroom dat enkele aminozuren Tryptofaan (Trp) bevat die belangrijk zijn voor de elektronenoverdracht. Wanneer het cryptochroom door een foton geraakt wordt, springt een elektron van FAD naar de eenheden Tryptofaan die de acceptors zijn.[19] Daarbij worden twee vrije radicalen gevormd die bijzonder reactief zijn.[15] De elektronen van dit radicale paar zijn verstrengeld in hun spin, maar op een zekere afstand van elkaar. De elektronen van dit radicale paar schommelen tussen de toestand van singlet en triplet, waarbij ze respectievelijk of een parallelle spin ofwel een tegenovergestelde spin hebben waarna de twee radicalen een chemisch product vormen. Het product is afhankelijk van of er zich een singlet of een triplet voordeed en dat hangt weer af van het Aardmagnetisch veld.[20] Het chemisch product van deze reactie zou een neurotransmitter kunnen zijn, maar dit is nooit aangetoond.[21] Daarmee is de hypothese ontstaan dat de vogel het Aardmagnetisch veld kan zien. Het Aardmagnetisch veld neemt in intensiteit toe naar de geomagnetische polen. Ook de afbuiging, de inclinatie van het magnetisch veld ten opzichte van het Aardoppervlak, neemt toe naar de polen en is vrijwel nul op de magnetische evenaar. De vogel neemt deze inclinatie en intensiteit waar[22] wat hem toestaat zijn positie te bepalen zowel voor wat betreft de breedtegraad als de lengtegraad ten opzichte van een vertrekpunt.[21][23]Dit is aangetoond met verschillende trekvogels, waaronder de karekiet.[24]
Magnetoreceptie door middel van het radicale-paar mechanisme, waarbij de elektronen van het paar radicalen verstrengeld zijn, is een kwantummechanisch proces en behoort daarmee tot de kwantumbiologie.[25][11]
Vorming van aminozuren
Ketens van aminozuren ofwel peptiden kunnen onder speciale omstandigheden verkregen worden die vergelijkbaar zijn met die in de ruimte. Dat wil zeggen in een omgeving van stofdeeltjes bij minus 263 graden Celsius onder vacuüm. Nadat een molecuul van een amine keteen (NH2CH=C=O) met een molecuul water bindt vormt zich het aminozuur glycine. Vervolgens ontstaan er in afwezigheid van water peptiden tot wel 11 eenheden van glycine. Hierbij vindt de transfer van een proton plaats vanaf het stikstof naar het koolstofatoom van de CH groep. De onderzoekers veronderstellen dat het hierbij gaat om kwantum tunneling, waarbij de energie barrière te hoog is voor deze reactie volgens de klassieke chemie en het proton zich als het ware door de barrière verplaatst.[26]
- ↑ a b c (en) Kim, Y, Al-Khalili J, McFadden J (26 January 2021). Quantum Biology: An Update and Perspective. Gearchiveerd op 30 december 2022. Quantum Reports 2021, 3, 1–48
- ↑ (en) Marais, A, et al. (14 november 2018). The future of quantum biology. Gearchiveerd op 22 september 2022. Journal of the Royal Society Interface 2018, 15, 184
- ↑ (en) Watson, James D., Crick Francis (25 april 1953). Molecular Structure of Nucleic Acids: A Structure for Deoxyribose Nucleic Acid. Gearchiveerd op 4 augustus 2023. Nature 171, pages 737–738 (1953)
- ↑ Molecular Structure of Nucleic Acids | Learn Science at Scitable. www.nature.com. Geraadpleegd op 25 januari 2023.
- ↑ (en) Watson, J. D., Crick, F. H. C. (1953-05). Genetical Implications of the Structure of Deoxyribonucleic Acid. Gearchiveerd op 4 juni 2023. Nature 171 (4361): 964–967. ISSN:1476-4687. DOI:10.1038/171964b0.
- ↑ (en) Löwdin, Per-Olov (1 juli 1963). Proton Tunneling in DNA and its Biological Implications. Gearchiveerd op 14 augustus 2023. Review of Modern Physics 35, 724, 1963
- ↑ (en) Slocombe, L., Al-Khalili J.S., Sacchi M. (29 januari 2021). Quantum and classical effects in DNA point mutations: Watson–Crick tautomerism in AT and GC base pairs. Phys. Chem. Chem. Phys. 2021,23, 4141-4150
- ↑ (en) Srivastava, R (21 August 2019). The Role of Proton Transfer on Mutations. Gearchiveerd op 22 april 2023. Frontiers in Chemistry 2019, 7
- ↑ (en) Slocombe, L., S. Al-Khalili, J., Sacchi, M. (2021). Quantum and classical effects in DNA point mutations: Watson–Crick tautomerism in AT and GC base pairs. Physical Chemistry Chemical Physics 23 (7): 4141–4150. DOI:10.1039/D0CP05781A.
- ↑ (en) Gheorghiu, A, et al. (16 October 2020). The influence of base pair tautomerism on single point mutations in aqueous DNA. Gearchiveerd op 9 januari 2023. Interface Focus, The Royal Society 2020, 10 (6)
- ↑ a b c (en) Brookes, Jennifer C (31 mei 2017). Quantum effects in biology: golden rule in enzymes, olfaction, photosynthesis and magnetodetection. Gearchiveerd op 6 december 2022. Proceedings of the Royal Society A 2017
- ↑ (en) Cha, Y, C.J. Murray, J.P. Klinman (10 March 1989). Hydrogen Tunneling in Enzyme Reactions. Gearchiveerd op 23 september 2022. Science Vol. 243, Issue 4896 pp 1325-1330
- ↑ (en) Cao, J, et al. (3 april 2020). Quantum biology revisited. Science 6, 14
- ↑ (en) Schulten, Klaus, Svenberg C.E., Weiler A. (1 januari 1978). A Biomagnetic Sensory Mechanism Based on Magnetic Field Modulated Coherent Electron Spin Motion. Gearchiveerd op 24 maart 2023. Zeitschrift fur Physikalische Chemie 1978
- ↑ a b (en) Hiscock, H.G., et al. (26 april 2016). The quantum needle of the avian magnetic compass. PNAS 2016
- ↑ (en) Günther, A, et al. (4 januari 2018). Double-Cone Localization and Seasonal Expression Pattern Suggest a Role in Magnetoreception for European Robin Cryptochrome 4. Gearchiveerd op 17 februari 2023. Current Biology 2018
- ↑ (en) Miyamoto, Y, et al. (26 mei 1998). Vitamin B2-based blue-light photoreceptors in the retinohypothalamic tract as the photoactive pigments for setting the circadian clock in mammals. Gearchiveerd op 17 februari 2023. PNAS 1998
- ↑ (en) Gegear, R.J., et al. (24 januari 2010). Animal cryptochromes mediate magnetoreception by an unconventional photochemical mechanism. Gearchiveerd op 21 augustus 2023. Nature 2010
- ↑ a b (en) Wiltschko, R, et al. (1 mei 2016). Light-dependent magnetoreception in birds: the crucial step occurs in the dark. Gearchiveerd op 17 februari 2023. The Royal Society Interface 2016
- ↑ (en) Adams, B, et al. (24 oktober 2018). An open quantum system approach to the radical pair mechanism. Gearchiveerd op 17 februari 2023. Nature > Scientific Reports 2018
- ↑ a b (en) Wiltschko, Roswita, Wiltschko Wolfgang (4 september 2019). Magnetoreception in birds. Gearchiveerd op 12 januari 2022. Journal of the Royal Society Interface 2019
- ↑ Henrik Mouritsen (2022). Magnetoreception in birds and its use for long-distance migration. Elsevier, 233–256.
- ↑ Heyers, Dominik Manns, Martina Luksch, Harald Güntürkün, Onur Mouritsen, Henrik. A Visual Pathway Links Brain Structures Active during Magnetic Compass Orientation in Migratory Birds. Public Library of Science.
- ↑ (en) Chernetsov, N, et al. (11 september 2017). Migratory Eurasian Reed Warblers Can Use Magnetic Declination to Solve the Longitude Problem. Gearchiveerd op 30 maart 2023. Current Biology 2017
- ↑ (en) Fay, T.P., et al. (2020). How quantum is radical pair magnetoreception?. Faraday discussions 2020
- ↑ (en) Krasnokutski, S.A., et al. (10-02-2022). A pathway to peptides in space through the condensation of atomic carbon. Gearchiveerd op 3 december 2022. Nature Astronomy 6, 381-386