Indium(III)chloride
| Indium(III)chloride | ||||
|---|---|---|---|---|
| Algemeen | ||||
| Molecuulformule | ||||
| Andere namen | Indiumchloride Indiumtrichloride | |||
| Molmassa | 221,18 g/mol | |||
| SMILES | Cl[In](Cl)Cl
| |||
| CAS-nummer | 10025-82-8 | |||
| PubChem | 24812 | |||
| Wikidata | Q415500 | |||
| Beschrijving | witte vlokken | |||
| Waarschuwingen en veiligheidsmaatregelen | ||||
| ||||
| H-zinnen | H302 - H314[1] | |||
| P-zinnen | P260 - P303+P361+P353 - P305+P351+P338 - P301+P330+P331 - P405 - P501[1] | |||
| EG-Index-nummer | 233-043-0 | |||
| VN-nummer | 3260 | |||
| Fysische eigenschappen | ||||
| Dichtheid | 3,46 g/cm³ | |||
| Smeltpunt | 586 °C | |||
| Kookpunt | 800 °C | |||
| Oplosbaarheid in water | 1950 g/L | |||
| Goed oplosbaar in | THF, Ethanol | |||
| Geometrie en kristalstructuur | ||||
| Kristalstructuur | monoklien | |||
| Tenzij anders vermeld zijn standaardomstandigheden gebruikt (298,15 K of 25 °C, 1 bar). | ||||
| ||||
Indium(III)chloride, ook wel indiumtrichloride is de chemische verbinding van indium en chloor met de formule . Dit zout is een witte, vlokachtge vaste stof die in de organische synthese toegepast wordt als lewiszuur. Het is eveneens de makkelijkst toegankelijke oplosbare indium-verbinding.[2]
Synthese en structuur
Als relatief elektropositief metaal reageert indium snel met chloorgas tot . Het zout is zeer goed oplosbaar in water en vervloeid makkelijk met waterdamp uit de lucht.[3] Er is ook een synthese beschreven waarbij gebruik gemaakt wordt van een elektrochemische cel waarbij een mengsel van benzeen en methanol als oplosmiddel fungeert.[4]
Net als AlCl3 en TlCl3, kristalliseert InCl3 als een dichtste stapeling van chloride-ionen waarin octaëdrische gecoördineerde indium(III)-ionen in lagen een plaats vinden.[5] Deze structuur komt ook voor in YCl3,[6] maar niet GaCl3. Gallium staat in het periodiek systeem in dezelfde groep, maar een periode eerder en kristalliseet als dimeer: .[6] Gesmolten geleidt de elektrische stroom,[5] terwijl , ook in dezelfde groep als indium, maar nog een periode eerder dan gallium, dit niet doet maar overgaat in een moleculair dimeer .[7]
Reacties
is een lewiszuur en vormt makkelijk complexen met liganden "L" van het type , en . Met het chloride-ion worden bijvoorbeeld het tetraëdrische , het ion als trigonale bipyramide en het octaëdrische -ion gevormd..[5]
Opgelost in ether reageert met lithiumhydride, , waarbij gevormd wordt. Deze instabiele verbinding ontleed al beneden 0 °C,[8] en wordt in de organische synthese in situ gegenereerd en gebruikt als reducerend reagens[9] en als uitgangsstof voor tertiaire amine- en fosfine-complexen van indigaan, .[10]
Trimethylindium, kan op basis van op verschillende manieren bereid worden. De reacties verlopen in di-ethylether. Methyllithium of het grignard-reagens leiden beide tot . Triethylindium ontstaat op vergelkijkbare wijze als als grignard-reagens wordt ingezet.[11]
Met metallisch indium reageert bij hoge temperatuur tot op het oog verbindingen met een lagere valentie van indium. Deze verbindingen worden echter meestal beter beschreven als gemengde indium(I)indium(III)-verbindingen. Voorbeelden zijn: In5Cl9, In2Cl3 en InCl.[5]
InCl3 als katalysator
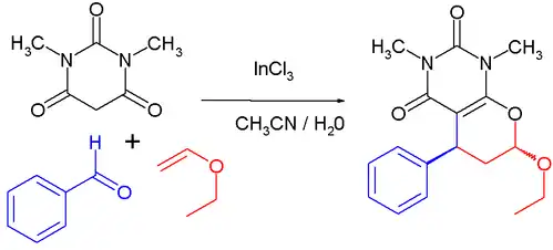
Indium(III)chloride wordt als lewiszuur ingezet als katalysator in organische reacties als de Friedel-Craftsacylerings en Diels-Alderreacties. Als voorbeeld van de laatste reactie kan onderstaand voorbeeld dienen. De reactie wordt uitgevoerd bij kamertemperatuur met een 1 mol% katalysator in een acetonitril-water mengsel. De eerste stap is een Knoevenagel-condensatie tussen het barbituurzuur (zwart) en het aldehyde (blauw). De tweede stap is de Diels-Alderreactie tussen het condensatieproduct en de onverzadigde ether (rood). Met de katalisator is de opbrengst 90% en het transisomeer vertegenwoordigt daarvan 70%. Zonder katalysator is de opbrengst slechts 65% met 50% trans product.[12] De aanduiding trans heeft betrekking op de oriëntatie van de fenylring (blauw) en de ethoxygroep aan de ring. Trans wil zeggen dat de ene groep naar boven wijst, terwijl de andere naar onder staat.
- Dit artikel of een eerdere versie ervan is een (gedeeltelijke) vertaling van het artikel Indium(III) chloride op de Engelstalige Wikipedia, dat onder de licentie Creative Commons Naamsvermelding/Gelijk delen valt. Zie de bewerkingsgeschiedenis aldaar.
- ↑ a b c Indium(III) Chloride. American Elements. Gearchiveerd op 17 november 2022. Geraadpleegd op May 15, 2019.
- ↑ Araki, S.; Hirashita, T. "Indium trichloride" in Encyclopedia of Reagents for Organic Synthesis (Ed: L. Paquette) 2004, J. Wiley & Sons, New York. DOI:10.1002/047084289X.
- ↑ Indium Trichloride
- ↑ Habeeb, J. J.; Tuck, D. G. "Electrochemical Synthesis of Indium(III) Complexes" Inorganic Syntheses, 1979, volume XIX, ISBN 0-471-04542-X
- ↑ a b c d Egon Wiberg, Arnold Frederick Holleman (2001) Inorganic Chemistry, Elsevier ISBN 0123526515
- ↑ a b Wells, A.F. Structural Inorganic Chemistry, Oxford: Clarendon Press, 1984. ISBN 0-19-855370-6.
- ↑ Greenwood, Norman N.; Earnshaw, Alan (1997). Chemistry of the Elements (2nd ed.). Butterworth-Heinemann. ISBN 978-0-08-037941-8.
- ↑ Anthony John Downs (1993). Chemistry of aluminium, gallium, indium, and thallium. Springer. ISBN 0-7514-0103-X.
- ↑ Main Group Metals in Organic Synthesis vol 1, ed. Hisashi Yamamoto, Koichiro Oshima, Wiley VCH, 2004, ISBN 3527305084
- ↑ The Group 13 Metals Aluminium, Gallium, Indium and Thallium: Chemical Patterns and Peculiarities, Simon Aldridge, Anthony J. Downs, Wiley, 2011, ISBN 978-0-470-68191-6
- ↑ Main Group compounds in Inorganic Syntheses, vol 31, By Schultz, Neumayer, Marks; Ed., Alan H. Cowley, John Wiley & Sons, Inc., 1997, ISBN 0471152889
- ↑ An efficient synthesis of novel pyrano[2,3-d]- and furopyrano[2,3-d]pyrimidines via Indium-Catalyzed Multicomponent Domino Reaction Prajapati, D. Mukut Gohain, M. Beilstein Journal of Organic Chemistry 2006, 2:11 DOI:10.1186/1860-5397-2-11


