Hydroxymethylfurfural
| Hydroxymethylfurfural | ||||
|---|---|---|---|---|
| Structuurformule en molecuulmodel | ||||
| ||||
Structuurformule van hydroxymethylfurfural
| ||||
| Algemeen | ||||
| Molecuulformule | C6H6O3 | |||
| IUPAC-naam | 5-(hydroxymethyl)-2-furaldehyde | |||
| Andere namen | HMF, hydroxymethylfurfural, 5-(hydroxymethyl)furfural, furaan-2-aldehyde, fural, furaan-2-carbaldehyde, furaancarbonal, 2-formylfuraan, ω-hydroxymethylfurfural | |||
| Molmassa | 126,11 g/mol | |||
| SMILES | O=Cc1ccc(CO)o1
| |||
| InChI | 1/C6H6O3/c7-3-5-1-2-6(4-8)9-5/h1-3,8H,4H2
| |||
| CAS-nummer | 67-47-0 | |||
| EG-nummer | 200-654-9 | |||
| PubChem | 237332 | |||
| Wikidata | Q414606 | |||
| Waarschuwingen en veiligheidsmaatregelen | ||||
| ||||
| H-zinnen | H315 - H319 - H335 | |||
| EUH-zinnen | geen | |||
| P-zinnen | P261 - P305+P351+P338 | |||
| LD50 (ratten) | (oraal) 2500[1] mg/kg | |||
| Fysische eigenschappen | ||||
| Aggregatietoestand | vast | |||
| Kleur | wit | |||
| Dichtheid | 1,29 g/cm³ | |||
| Smeltpunt | 32-35[1] °C | |||
| Kookpunt | (bij 1,3 hPa) 114–116[1] °C | |||
| Tenzij anders vermeld zijn standaardomstandigheden gebruikt (298,15 K of 25 °C, 1 bar). | ||||
| ||||
Hydroxymethylfurfural of HMF is een organische verbinding, meer bepaald een derivaat van furfural. Zonder nadere aanduiding wordt de verbinding bedoeld die systematisch als 5-(hydroxymethyl)-2-furfural bekendstaat. De plaatsaanduiding '5' geeft aan dat 3- en 4-(hydroxymethyl)-2-furfural mogelijke isomeren zijn, naast isomeren met de aldehydegroep op de positie 3. HMF kan geproduceerd worden uit verschillende hexosen (suikers zoals glucose of fructose) en uit stoffen die hexosen bevatten (bijvoorbeeld cellulose[2] of zetmeel).
Hydroxymethylfurfural is, evenals zijn stamverbinding furfural, een veelzijdig tussenproduct waarmee andere nuttige verbindingen kunnen gemaakt worden. Op hun beurt vormen deze stoffen potentiële vervangers van uit aardolie afgeleide stoffen.[3][4][5]
Deze organische verbinding werd voor het eerst beschreven door de Franse scheikundige Louis Camille Maillard in 1912, in onderzoek naar niet-enzymatische reacties van glucose.
Synthese
De synthese van hydroxymethylfurfural start, net als die van furfural, met koolhydraten. Voor HMF wordt een hexose, een suiker met 6 koolstofatomen, gedehydrateerd. Traditioneel gebeurde dit in warm tot heet water, met een zuur als katalysator. Het nadeel van deze methode is het grote aantal - ongewenste - nevenproducten als levulinezuur, mierenzuur, gepolymeriseerd HMF en gerehydrateerd HMF. De opbrengst aan hydroxymethylfurfural kan verhoogd worden door het gevormde HMF continu uit het reactiesysteem te extraheren met een organische oplosmiddel op basis van methylisobutylketon, met kleinere hoeveelheden DMSO, 2-butanol of polyvinylpyrrolidon.[6][7] In een andere methode (2007) vindt de omzetting van suikers in HMF plaats in een ionische vloeistof. Een metaalhalide, bijvoorbeeld chroom(II)chloride, wordt als katalysator gebruikt voor de reactie van glucose naar fructose[3]. Met fructose wordt een opbrengst van meer dan 90% gerealiseerd, glucose geeft ruim 70% HMF.[8]
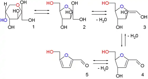
In bovenstaande figuur zijn de verschillende evenwichtsreacties weergegeven tussen fructose en HMF. Zowel de pyranosevorm van fructose (1) als de furanosevorm ervan (2) kunnen als uitgangsstof gebruikt worden. De furanosevorm komt in de natuur vaker voor, maar de pyranosevorm is ook een bekende stof. De volgende twee tussenproducten 3 en 4 worden niet geïsoleerd, zij ontstaan door het afsplitsen van water. Bij het afsplitsen van de laatste molecule water ontstaat HMF.
Hoewel de reacties allemaal evenwichten zijn ligt met name het evenwicht tussen 4 en HMF (5) vooral aan de kant van HMF. De vorming van de aromatische furaanring in HMF is daarbij doorslaggevend. Doordat gaande van fructose naar HMF het aantal hydroxylgroepen afneemt wordt de oplosbaarheid in water kleiner en stijgt de oplosbaarheid in oplosmiddelen als methylisobutylketon. Extractie van HMF uit de waterlaag laat de evenwichten vervolgens naar HMF aflopen.
Een ander recent proces gebruikt ook een tweefasensysteem, maar met een ionische vloeistof waarin de suiker omgezet wordt naar HMF, en een organische fase waarin het gevormde HMF oplost en waarmee het afgescheiden kan worden. De katalysator is een metaalcomplex van een N-heterocyclisch carbeen, het organische oplosmiddel THF.[9]
Toepassingen
HMF is een veelzijdige verbinding, met een aldehyde-, een furaan- en een hydroxylgroep. Bovendien is de mogelijkheid tot polymerisatie aanwezig.
- In vroeger dagen werd HMF als voedingsadditief toegepast: de geur van producten zou ermee verbeterd worden.
- Na oxidatie van de alcoholgroep in HMF ontstaat het dialdehyde diformylfuraan (DFF). DFF kan gebruikt worden voor de synthese van polymeren[10] en van geneesmiddelen, fungiciden en liganden.
- Andere oxidatieproducten van HMF zijn hydroxymethylfuraancarbonzuur, formylfuraancarbonzuur en 2,5-furaandicarbonzuur. De laatste verbinding is voorgesteld als vervanger van tereftaalzuur, een belangrijk bestanddeel van PET-plastic.
- Katalytische reductie leidt tot 2,5-dimethylfuraan, een biobrandstof met een octaangetal van 119 en een energiedichtheid van 33,7 MJ/kg.[11]
- HMF blijkt intracellulair specifiek te binden aan de hemoglobinevariant (HbS) die verantwoordelijk is voor sikkelcelanemie. Verkennende in-vivotests met transgene HbS-muizen geven aan dat oraal toegediend HMF de sikkelvorming in bloed voorkomt.[12]
Omdat HMF en de verbindingen die eruit afgeleid zijn, afkomstig zijn uit hernieuwbare bronnen (biomassa), bieden ze de mogelijkheid om vergelijkbare stoffen, die uit aardolie afgeleid zijn, te vervangen.
HMF in natuurproducten en voedsel
In verse producten als honing en vruchtensap komt HMF in kleine hoeveelheden voor. HMF wordt gevormd tijdens bewerkingen van koolhydraatrijk voedsel. Koken, drogen, branden (van koffie), roken en bakken. Ook het sterilisatieproces van UHT-melk leidt tot sporen HMF in dit zuivelproduct. Samen met andere geur- en kleurstoffen ontstaat HMF tijdens de Maillardreactie. Tijdens opslag, afhankelijk van bewaartijd, de temperatuur en de zuurgraad, kan de hoeveelheid HMF in deze levensmiddelen toenemen.[13][14]
- HMF kan ontstaan uit de suikers die aanwezig zijn in honing. Het HMF-gehalte is een maat voor de versheid van de honing: in verse honing is er erg weinig aanwezig, maar naarmate de honing langer bewaard wordt, wordt er meer HMF gevormd; bij hoge temperatuur gaat dit sneller. In de Europese Unie zijn maximumgehalten voor HMF in honing vastgesteld: 40 mg/kg algemeen en 80 mg/kg voor honing afkomstig uit tropische gebieden.[15][16]
- Diverse soorten gebrande koffie bevatten 300 tot 2900 mg/kg HMF.[17]
- In gedroogde pruimen kan tot 2200 mg/kg HMF voorkomen.
- In donker bier (de donkere kleur is het gevolg van het mouten, drogen bij 150 tot 225 °C) wordt tot 13,3 mg/L gevonden.[18]
- Levensmiddelen uit een bakkerij bevatten van 4,1 – 151 mg/kg HMF.[19]
- HMF wordt ook aangetroffen in glucose-fructosestroop (Engels: High-Fructose Corn Syrup of HFCS). In verse siroop worden hoeveelheden tot 20 mg/kg HMF aangetroffen; tijdens - te warme - opslag kan het gehalte stijgen.[14] Voor imkers kan dit problemen opleveren omdat HFCS als bijvoedingen voor honingbijen gebruikt wordt. De giftigheid van HMF voor bijen vormt dan het probleem.[14]
Afhankelijk van de precieze bereidingswijze kan het gehalte HMF in levensmiddelen grote variaties vertonen. Voor het inschatten van de opname van HMF via het voedsel moet naast het eetpatroon dus ook met de bereidingswijze rekening gehouden worden. In de westerse wereld is koffie een van de voornaamste bronnen van HMF. De dagelijkse opname blijft doorgaans beperkt tot 5 – 10 mg HMF.[13]
Metabolisme
Een van de voornaamste metabolieten van HMF bij mensen is 5-hydroxymethyl-2-furoëzuur (Engels: 5-(hydroxymethyl)-2-furoic acid: HMFA) wat vervolgens via de nieren het lichaam verlaat. Een andere metaboliet van HMF is 5-sulfoxymethylfurfural (SMF), een zeer reactieve verbinding die makkelijk aducten vormt met DNA of eiwitten. In-vitro-experimenten en studies bij ratten geven aan dat HMF mogelijk toxisch en carcinogeen is.[20] Bij mensen is geen relatie bekend tussen HMF en ziektes.
Mogelijke carcinogeniteit
Het Amerikaanse National Institute of Environmental Health Sciences kent HMF een hoog carcinogeen risico toe. De reden hiervoor is de carcinogeniteit van 5-sulfooxymethylfurfural en andere van HMF en furfural afgeleide verbindingen. HMF zelf is op dit gebied eigenlijk nog niet voldoende onderzocht om definitieve uitspraken mogelijk te maken (maart 2013). De relatie tussen kanker en HMF is gebaseerd op oudere studies. Het verwante 5-Sulfooxymethylfurfural is wel mutageen en carcinogeen.[21] Voor HMF zelf is in studies geen "kankerbevorderende eigenschappen" aangetoond.[22][23] De mogelijke misinterpretatie van de carcinogene eigenschappen hangt mogelijkerwijs samen met het feit dat HMF pas sinds kort als zuivere verbinding (> 99 %) geïsoleerd kan worden. Zuiver HMF is een witte vaste stof, en niet geel. De gele kleur is afkomstig van andere verbindingen, eventueel metabolieten van HMF.
Analyse van hydroxymethylfurfural
Hydroxymethylfurfural is een belangrijke tussenstap in de zuur gekatalyseerde afbraak van hexoses en de Maillardreactie. Dit gegeven biedt de mogelijkheid het gehalte hydroxymethylfurfural te gebruiken als maat voor de thermische geschiedenis en veroudering van voedselproducten. Meestal kunnen de (trage) afbraakreacties van hydroxymethylfurfural zelf verwaarloosd worden.[24]
De klassieke bepaling van hydroxymethylfurfural maakt gebruik van spectrofotometrie. Vaak werd gebruikgemaakt van de methode van White, waarbij het verschil in absorbantie gemeten wordt tussen een direct gemeten monster, en een monster dat eerst met natriumwaterstofsulfiet gereduceerd is.[25] De Winklermethode maakt gebruik van een kleurreactie tussen hydroxymethylfurfural, p-toluïdine en barbituurzuur (DIN 10751-1). Fotometrische bepalingen hebben als nadeel dat ze soms ook voor verwante verbindingen een positief signaal geven, waardoor hogere HMF-waarden worden gerapporteerd dan er werkelijk aanwezig zijn.
Tegenwoordig vindt de analyse plaats met behulp van HPLC in combinatie met fotometrische uv-detectie (bijvoorbeeld DIN 10751-3). Hoewel de gehaltebepaling nog steeds fotometrisch verloopt, vindt eerst scheiding in afzonderlijke componenten plaats, waardoor het gemeten signaal nu alleen maar afkomstig kan zijn van HMF.
Test-kits voor snelle analyse zijn ook beschikbaar.[26][27]
Zie ook
Externe link
- ↑ a b c Productinformatie van Merck: 5-hydroxymethylfurfural, geraadpleegd op: 18 maart 2013.
- ↑ Yu Su, Heather M. Brown, Xiwen Huang, Xiao-Dong Zhou, James E. Amonette, Z. Conrad Zhang. (2009). Single-step conversion of cellulose to 5-hydroxymethylfurfural (HMF), a versatile platform chemical Applied Catalysis A: General. 361 pag.: 117 DOI:10.1016/j.apcata.2009.04.002
- ↑ a b Andreia A. Rosatella, Svilen P. Simeonov, Raquel F. M. Frade, Carlos A. M. Afonso. Critical Review 5-Hydroxymethylfurfural (HMF) as a building block platform: Biological Properties, Synthesis and Synthetic Applications Green Chem.. 13 pag.: 754 DOI:10.1039/c0gc00401d
- ↑ Robert-Jan van Putten, Jan C. van der Waal, Ed de Jong, Carolus B. Rasrendra, Hero J. Heeres, Johannes G. de Vries. Hydroxymethylfurfural, A Versatile Platform Chemical Made from Renewable Resources Chemical Reviews Article ASAP. DOI:10.1021/cr300182k
- ↑ George W. Huber, Sara Iborra, Avelino Corma. (2006). Synthesis of Transportation Fuels from Biomass: Chemistry, Catalysts, and Engineering Chem.Rev.. 106 (9): pag.: 4044 DOI:10.1021/cr068360d Internetpagina: MIT Technology Review
- ↑ Yuriy Román-Leshkov, Juben N. Chheda, James A. Dumesic. (2006). Phase Modifiers Promote Efficient Production of Hydroxymethylfurfural from Fructose Science. 312 (5782): pag.: 1933–1937 DOI:10.1126/science.1126337
- ↑ T. Ståhlberg, W. Fu, J.M. Woodley, A. Riisager. (2011). Synthesis of furfural in Ionic Liquids: Paving the Way to Renewable Chemicals ChemSusChem. DOI:10.1002/cssc.201000374
- ↑ Haibo Zhao, Johnathan E. Holladay, Heather Brown, Z. Conrad Zhang. (2007). Metal Chlorides in Ionic Liquid Solvents Convert Sugars to 5-Hydroxymethylfurfural Science. 316 (5782): pag.: 1597–1600 DOI:10.1126/science.1141199
- ↑ Yugen Zhang, Jin Y.G. Chan. Production of hydroxymethylfurfural U.S. Patent Application 2009/0313889 A1.
- ↑ Ananda S. Amarasekara, Dalkeith Green, LaToya D. Williams. (2009). Renewable resources based polymers: Synthesis and characterization of 2,5-diformylfuran–urea resin European Polymer Journal. 45 (2): pag.: 595–598 DOI:10.1016/j.eurpolymj.2008.11.012
- ↑ . Sustainable transporation and alternative fuel18 maart 2013 Internetpagina: Sustainable transporation and alternative fuel geraadpleegd op 18 maart 2013
- ↑ O. Abdulmalik, M.K. Safo, Q. Chen, J. Yang, C. Brugnara, K. Ohene-Frempong, D.J. Abraham, T.Asakura. (2005). 5-hydroxymethyl-2-furfural modifies intracellular sickle haemoglobin and inhibits sickling of red blood cells British journal of haematology. 128 (4): pag.: 552–561 DOI:10.1111/j.1365-2141.2004.05332.x
- ↑ a b G. Arribas-Lorenzo, F.J. Morales. (2010). Estimation of dietary intake of 5-hydroxymethylfurfural and related substances from coffee to Spanish population Food and Chemical Toxicology. 48 (2): pag.: 644–649 DOI:10.1016/j.fct.2009.11.046
- ↑ a b c A.I. Ruiz-Matute, M. Weiss, D. Sammataro, J. Finely, M.L. Sanz. (2010). Carbohydrate composition of high-fructose corn syrups (HFCS) used for bee feeding: effect on honey composition J.Agr.Food Chem.. 58 (12): pag.: 7317–7322 DOI:10.1021/jf100758x
- ↑ Richtlijn 2001/110/EG van 20 december 2001 inzake honing. Publicatieblad L10 van 12 januari 2002. Gearchiveerd op 5 augustus 2023.
- ↑ . codex alimentarius standard11 maart 2013 Internetpagina: codex alimentarius standard geraadpleegd op 11 maart 2013
- ↑ M. Murkovic, N. Pichler. (2006). Analysis of 5-hydroxymethylfurfual in coffee, dried fruits and urine Molecular Nutrition & Food Research. 50 (9): pag.: 842–846 DOI:10.1002/mnfr.200500262
- ↑ T. Husøy, M. Haugen, M. Murkovic, D. Jöbstl, L.H. Stølen, T. Bjellaas, C. Rønningborg, H. Glatt, J Alexander. (2006). Dietary exposure to 5-hydroxymethylfurfural from Norwegian food and correlations with urine metabolites of short-term exposure Food and Chemical Toxicology. 46 (12): pag.: 3697–3702 DOI:10.1016/j.fct.2008.09.048
- ↑ A. Ramírez-Jiménez. (2000). Hydroxymethylfurfural and methylfurfural content of selected bakery products Food Research International. 33 (10): pag.: 833 DOI:10.1016/S0963-9969(00)00102-2
- ↑ T. Husøy,M. Haugen, M. Murkovic, D. Jöbstl, L.H. Stølen, T. Bjellaas, C. Rønningborg, H. Glatt, J. Alexander. (2008). Dietary exposure to 5-hydroxymethylfurfural from Norwegian food and correlations with urine metabolites of short-term exposure Food and Chemical Toxicology. 46 (12): pag.: 3697 DOI:10.1016/j.fct.2008.09.048
- ↑ Y.J. LinksSurh, A. Liem, J.A. Miller, S.R. Tannenbaum S.R.. (1994). 5-Sulfooxymethylfurfural as a possible ultimate mutagenic and carcinogenic metabolite of the Maillard reaction product, 5-hydroxymethylfurfural Carcinogenesis. 15 (10): pag.: 2375–2377
- ↑ >H. Xiao, K.L. Parkin. (2007). Isolation and identification of potential cancer chemopreventive agents from methanolic extracts of green onion (Allium cepa) Phytochemistry. 68 (7): pag.: 1059–1067
- ↑ H. Xiao, K.L. Parkin. (2006). Induction of phase II enzyme activity by various selenium compounds Nutr. Cancer. 55 (2): pag.: 210–223
- ↑ . Afbraakreacties van HMF18 maart 2013 Internetpagina: Afbraakreacties van HMF geraadpleegd op 18 maart 2013
- ↑ . AOAC 980.23 Internetpagina: AOAC 980.23
- ↑ J. Schultheiss, D. Jensen, R. Galensa. (2000). Determination of aldehydes in food by high-performance liquid chromatography with biosensor coupling and micromembrane suppressors Journal of Chromatography A. 880 pag.: 233 DOI:10.1016/S0021-9673(99)01086-9
- ↑ Elvira M.S.M. Gaspar, Ana F.F. Lucena. (2009). Improved HPLC methodology for food control – furfurals and patulin as markers of quality Food Chemistry. 114 (4): pag.: 1576 DOI:10.1016/j.foodchem.2008.11.097
furan-2-carbaldehyde_200.svg.png)

