Hunsdiecker-reactie
De hunsdiecker-reactie is de organische reactie waarin een organisch halogenide wordt gevormd door de reactie van het zilverzout van een carbonzuur met een halogeen (meestal dibroom of dichloor). De reactie is genoemd naar het Duitse echtpaar Heinz en Cläre Hunsdiecker.[1]

Tijdens de reactie wordt de carboxygroep vervangen door een halogeenatoom en ontstaat CO2 en een zilverhalogenide; de hunsdiecker-reactie is dus een decarboxylatieve halogenering. Het organisch halogenide heeft een koolstofatoom minder dan het oorspronkelijke zilverzout. Zo kan men uitgaande van in de levende natuur aangetroffen vetzuren, die een even aantal koolstofatomen bezitten, halogeniden vormen met een oneven aantal koolstofatomen, die niet in de natuur voorkomen.
De reactie gaat op in afwezigheid van water. Naast zilverzouten kunnen ook kwik- of thalliumzouten gebruikt worden.
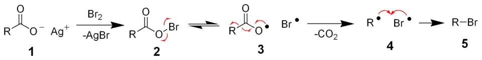
Reactiemechanisme
Men neemt aan dat de reactie verloopt volgens een radicalair mechanisme:

Het zilverzout 1 reageert snel met (in dit geval) broom tot de intermediaire verbinding 2; dit is een instabiele verbinding die opsplitst in een paar vrije radicalen 3. Decarboxylering door homolytische splitsing van de koolstof-koolstofbinding vormt de radicalen 4, die kunnen recombineren tot het organische halogenide 5.
Verwante reacties
Simonini-reactie
De reactie van een zilverzout van een carbonzuur met di-jood, in een verhouding van 2:1, noemt men de simonini-reactie, naar Angelo Simonini.[2][3] In deze reactie ontstaat een ester:

Kochi-reactie
De kochi-reactie[4] is een alternatief voor de hunsdiecker-reactie voor de vorming van organische halogeniden, in het bijzonder van secundaire en tertiaire alkylchlorides. In deze reactie worden een carbonzuur en een chloridezout zoals lithiumchloride gereageerd in aanwezigheid van lood(IV)acetaat. In deze reactie gebeurt ook een decarboxylering, zodat het zuurchloride een koolstofatoom minder telt dan het carbonzuur.
- ↑ U.S. Patent 2176181, "Method of manufacturing organic chlorine and bromine derivatives" van 17 oktober 1939 aan Cläre Hunsdiecker, Egon Vogt en Heinz Hunsdiecker. Gearchiveerd op 20 juni 2016.
- ↑ Simonini, A. (1892). Über den Abbau der fetten Säuren zu kohlenstoffärmeren Alkoholen. Monatshefte für Chemie 13 (1): 320–325. DOI: 10.1007/BF01523646.
- ↑ Simonini, A. (1893). Über den Abbau der fetten Säuren zu kohlenstoffärmeren Alkoholen. Monatshefte für Chemie 14 (1): 81–92. DOI: 10.1007/BF01517859.
- ↑ Jay K. Kochi (1965). A New Method for Halodecarboxylation of Acids Using Lead(IV) Acetate. J. Am. Chem. Soc. 87 (11): 2500-2502. DOI: 10.1021/ja01089a041.