Herz-reactie
De Herz-reactie, genoemd naar de chemicus Richard Herz, is de omzetting van een aniline-derivaat (1) naar een zogenaamd Herz-zout (2) met zwavelmonochloride, gevolgd door hydrolyse van dit Herz-zout (2) naar het overeenkomstige natriumthiolaat (3):

Toepassingen
Benzothiazolen
Het natriumthiolaat 3 kan worden omgezet naar een intermediair zinkmercaptide met zinksulfaat, gevolgd door reactie van het mercaptide met bijvoorbeeld benzoylchloride, ter vorming van 1,3-benzothiazol 4.

Kleurstoffen
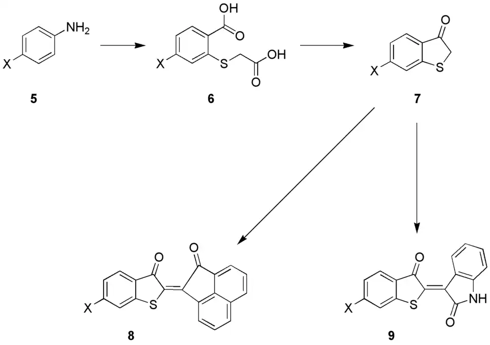
Aniline (5) wordt in drie stappen omgezet naar verbinding 6, namelijk (1) omzetting naar ortho-aminothiol via de Herz-reactie (aniline en zwavelmonochloride), gevolgd door (2) omzetting naar een ortho-aminoarylthioglycolzuur en (3) omzetting van de aromatische aminefunctie naar een nitril via de Sandmeyer-reactie. In een laatste stap wordt het nitril gehydrolyseerd en bekomt men 6. Deze wordt omgezet naar 7 via ringsluiting en decarboxylatie. Deze stof (thio-indoxyl, 7) is een belangrijk intermediair in de synthese van enkele kleurstoffen. Condensatie met acenafteenchinon geeft 8, een kleurstof van het Ciba-Scarlet-type, terwijl condensatie van 7 met isatine resulteert in thio-indigo-kleurstof 9.

Referenties
- W. Warburton. Chem Rev 57 (1957), p. 1011