Henryreactie
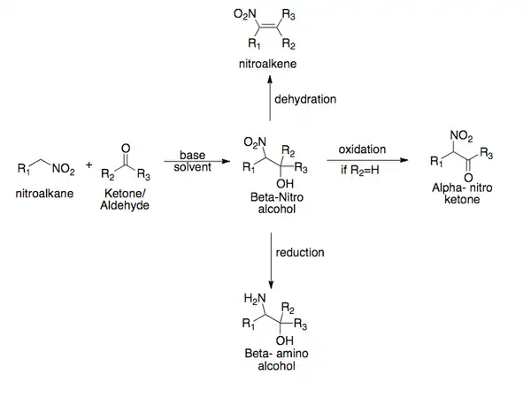
De henryreactie, die ook de nitroaldolreactie wordt genoemd, is een organische reactie tussen een nitroalkaan en een carbonylverbinding (een aldehyde of een keton), waarin een bèta-of 2-nitroalcohol (het nitroaldol) wordt gevormd. De reactie is nauw verwant aan de klassieke aldol-reactie. Ze wordt gekatalyseerd door een base:

Zolang de resulterende β-hydroxynitroverbinding nog α-waterstofatomen heeft kan de reactie nog een keer verlopen, zoals blijkt uit de synthese van Tromethamine.
De reactie is genoemd naar de Belgische scheikundige Louis Henry, die ze in 1895 beschreef.[1]
Toepassingen
De henryreactie is een nuttig instrument in de organische scheikunde omdat de reactieproducten kunnen omgezet worden in andere nuttige verbindingen. Door dehydratie ontstaat een nitroalkeen dat eventueel verder door hydrogenering in een nieuw nitroalkaan kan omgezet worden. Door reductie ontstaat een 2-aminoalcohol. En ingeval het een secundair alcohol is kan het door oxidatie worden omgezet in een alfa-nitroketon.

Reactie-omstandigheden
De henryreactie is een klassieke koolstof-koolstof-bindingsvormende reactie. Ze wordt vooral uitgevoerd met alifatische of aromatische aldehyden en nitroalkanen. Het is een reversibele reactie; de omgekeerde reactie wordt de retro-henryreactie genoemd.
De henryreactie kan met een veelvoud aan katalysatoren uitgevoerd worden: zowel organische als anorganische basen of quaternaire ammoniumzouten zijn mogelijk. Met sterke basen kan echter de Cannizzaro-reactie (auto-redox-reactie van de carbonylverbinding) als ongewenste nevenreactie optreden.
Asymmetrische henryreactie
De henryreactie is in principe niet stereoselectief: wanneer een prochirale carbonylverbinding aan de reactie deelneemt ontstaan beide optische isomeren. Er zijn echter chirale katalysatoren bekend die een stereoselectieve henryreactie mogelijk maken. Deze worden gebruikt in de asymmetrische synthese van farmaceutische stoffen en de totaalsynthese van natuurlijke stoffen. Een van de eerste asymmetrische nitroaldolreacties werd gebruikt voor de synthese van (S)-propranolol, de meest actieve van de optische isomeren van deze bètablokker. De katalysator was een complex van lanthaan met een zuiver enantiomeer van bèta-binaftol als ligand.[2]
Intramoleculaire henryreactie
Zoals vele andere chemische reacties kan de henryreactie ook intramoleculair uitgevoerd worden, op voorwaarde dat de molecule zowel een carbonyl- als een nitrogroep bevat. De reactie leidt dan tot een ringvormige structuur. In onderstaand voorbeeld wordt glutaaraldehyde omgezet in 2-nitrocyclohexaan-1,3-diol door twee opeenvolgende henryreacties. De eerste is een gewone henryreactie met nitromethaan, de tweede is een intramoleculaire henryreactie. Beide worden in één reactiestap doorgevoerd.[3]

- ↑ L. Henry (1895) - Formation synthétique d'alcools nitrés, Compt. Rend. Hebd. Séances Acad. Sci., 120, pp. 1265-1268. Gearchiveerd op 4 mei 2021.
- ↑ (en) H. Sasai, N. Itoh, T. Suzuki & M. Shibasaki (1993) - Catalytic asymmetric nitroaldol reaction: An efficient synthesis of (S) propranolol using the lanthanum binaphthol complex, Tetrahedron Letters, 34, pp. 855-858
- ↑ (en) M. Eberle, M. Missbach & D. Seebach (1990) - Enantioselective saponification with pig liver esterase (PLE): (1S,2S,3R)-3-hydroxy-2-nitrocyclohexyl acetate Organic Syntheses, 69, p. 19