Hantzsch-pyrroolsynthese
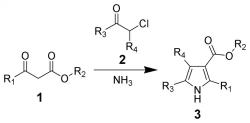
De Hantzsch-pyrroolsynthese is een organische reactie, waarbij een β-ketoester (1) met ammoniak of een primair amine en met een α-gehalogeneerd keton (2) reageert tot een gesubstitueerd pyrrool (3):[1]

De reactie werd vernoemd naar de Duitse scheikundige Arthur Rudolf Hantzsch.
Zie ook
- Knorr-pyrroolsynthese
- Paal-Knorr-synthese
Bronnen, noten en/of referenties
- ↑ (en) A.R. Hantzsch (1890), Ber., 23, p. 1474