Halogeenadditie
Een halogeenadditie is een chemische reactie waarbij een halogeen-molecuul wordt geaddeerd (toegevoegd) aan de dubbele binding (structuurformule: C=C) van een alkeen.
Reactievergelijking
De algemene reactievergelijking van de halogeenadditie is:
- C=C + X2 → X-C-C-X
X stelt hier een van de halogenen broom of chloor voor. Geschikte oplosmiddelen zijn CH2Cl2 of CCl4. Het product is een vicinaal dihalogenide.
Het reactietype is een halogenering en een elektrofiele additie.
Stereochemie
Bij 2-buteen en andere symmetrisch gesubstitueerde alkenen blijkt de additie van broom stereospecifiek te zijn. Additie van broom aan trans-2-buteen geeft als product meso-2,3-dibroombutaan.[1] Daarnaast is waargenomen dat additie van broom aan cis-2-buteen een racemaat geeft bestaande uit 50% S,S-2,3-dibroombutaan en 50% R,R-2,3-dibroombutaan. (Zie figuur 1).

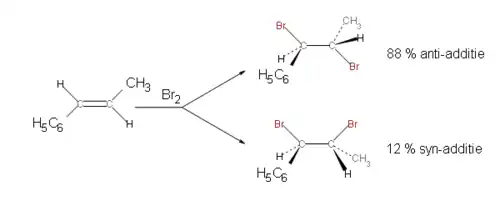
Dit betekent dat bij reactie van 2-buteen met Cl2 of Br2 100% anti-additie optreedt. Bij additie aan trans-1-fenylpropeen is de mate van anti-additie afhankelijk van het reagens. Het aandeel anti-additie is 12% bij de additie van HBr, 33% bij die van Cl2 en 88% bij die van Br2.[1] (Zie figuur 2).

Reactiemechanisme
Uitgaande van de stereochemie van de additie van halogenen aan alkenen kunnen reactiemechanismen worden afgeleid. Reactiemechanismen voor de additie van halogeen X2 (d.w.z.van broom of chloor) aan een alkeen zijn in figuur 3 beschreven.

In de eerste stap van de reactie nadert een halogeen molecuul de elektronenrijke C=C dubbele binding. Het halogeen atoom dat zich het dichtst bij de C=C binding bevindt, wordt partieel positief geladen omdat zijn elektronen worden afgestoten door de π-elektronen van de dubbele binding. Dit halogeenatoom is nu elektrofiel en wordt vervolgens door de π-elektronen van de C=C dubbele binding aangevallen. Eén, twee of drie tussenproducten kunnen ontstaan, een positief gebrugd ion, een open ionpaar en/of een vrij carbokation; in alle gevallen blijft een halogenide-ion over. De aard van het gevormde eindproduct hangt af van de relatieve stabiliteit van het tussenproduct. De anti-additie van halogeen aan 2-buteen is alleen te verklaren met behulp van het gebrugde ion als tussenproduct. Bij additie van broom wordt dat tussenproduct bromoniumion genoemd. Dit gebrugde ion lijkt verreweg het stabielst in dit geval.

In de volgende stap zal het overblijvende halogenide-ion een van de twee koolstofatomen van de ontstane driering aanvallen vanaf de tegenoverliggende, minst gehinderde kant van het gebrugde ion, (zie figuur 3). Tegelijkertijd zal de binding tussen het halogeenatoom van het gebrugde ion en datzelfde koolstofatoom verbroken worden. In figuur 4 is dit voor het bromoniumion getekend. Uitgaande van een symmetrisch alkeen als 2-buteen maakt het niet uit welk koolstofatoom door halogenide wordt aangevallen. In beide gevallen is er sprake van anti-additie en ontstaat hetzelfde product.

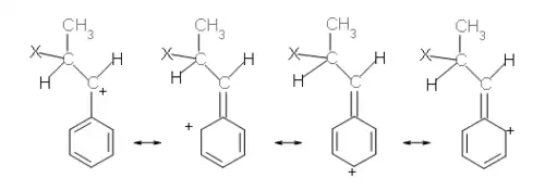
Bij de additie van broom aan trans-1-fenylpropeen is er enige syn-additie, de stabiliteit van het bromoniumion lijkt niet veel groter dan die van het open ionpaar en/of het vrije carbokation. Bij de additie van chloor is de mate van syn-additie nog groter en mag geconcludeerd worden dat de stabiliteit van open ionpaar en/of het vrije carbokation, in vergelijking met die van het gebrugde ion, nog meer is toegenomen. Deze toename van stabiliteit wordt onder meer toegeschreven aan het effect van conjugatie bij het carbokation.[2] Bij het carbokation is sprake van mesomerie, zie figuur 5.

Zie ook
- J.M. Harris and C. C. Wamser, Fundamentals of Organic Reaction Mechanisms, (New York: Wiley&Sons, 1976), Ch. 4
- R. Breslow, Organic Reaction Mechanisms, an Introduction (New York: W. A. Benjamin, 1969), Ch. 4
- R.T. Morrison and R.N. Boyd, Organic Chemistry, 3rd edition, (New Delhi: Prentice-Hall of India, 1976), Ch. 6 and 7
- J.F.J. Engbersen en AE. de Groot, Inleiding in de Bio-organische Chemie, (Wageningen: Pudoc 1986), Ch. 3