Gewald-reactie
De Gewald-reactie is een condensatiereactie tussen een keton of aldehyde en een α-cyanoester, in aanwezigheid van zwavel, die leidt tot vorming van een polygesubstitueerd 2-aminothiofeenderivaat:[1][2][3][4]

Reactiemechanisme
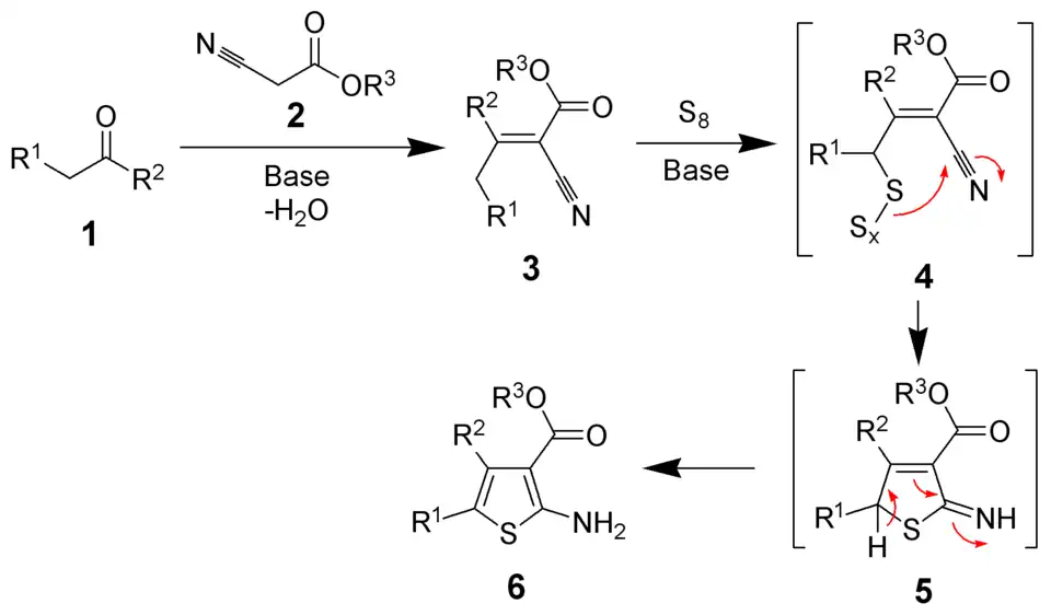
Het reactiemechanisme werd pas einde jaren '90 van de 20e eeuw opgehelderd.[5] De eerste stap is een Knoevenagel-condensatie tussen het keton (1) en de α-cyanoester (2), met vorming van een onverzadigde α-cyanoester (3) als stabiel intermediair. Het mechanisme van de stap waarbij zwavel geaddeerd wordt is onbekend. Het zou via intermediair 4 verlopen, dat cycliseert tot het dihydrothiofeenderivaat 5. Een tautomerisatie leidt tot het 2-aminothiofeenderivaat (6).

Zie ook
Bronnen, noten en/of referenties
- ↑ K. Gewald, E. Schinke & H. Böttcher (1966), Ber., 99, pp. 94-100
- ↑ John A. Joule, Keith Mills: Heterocyclic Chemistry, John Wiley & Sons, 5. Auflage (2010), p. 340, ISBN 978-1-405-13300-5.
- ↑ Bradford P. Mundy, Michael G. Ellerd, Frank G. Favaloro, Jr.: Name Reactions and Reagents in Organic Synthesis, John Wiley & Sons, 2. Auflage (2005) p. 306, ISBN 0-471-22854-0.
- ↑ Christopher Hume: Applications of Multicomponent Reactions in Drug Discovery – Lead Generation to Process Development, p. 311−341, see p. 332−334, In Jieping Zhu, Hugues Bienaymé: Multicomponent Reactions, Wiles-VCH Verlag, 2005, ISBN 978-3-527-30806-4.
- ↑ R.W. Sabnis, D.W. Rangnekar & N.D. Sonawane (1999), J. Heterocyclic Chem., 36, p. 333