Franck-Condon-principe

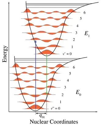
Het Franck-Condon-principe is een regel in de spectroscopie, molecuulfysica en kwantumchemie waarmee de intensiteit van de trillingsovergangen verklaard kan worden. Trillingsovergangen zijn de gelijktijdige verandering van elektronen- en trillingsenergie in een molecuul ten gevolge van de absorptie of emissie van een foton met de juiste energie. Het principe stelt dat tijdens een elektronenovergang een verandering in trillingsenergie waarschijnlijker is naarmate de twee golffuncties meer overlap vertonen.
Het principe werd vernoemd naar James Franck en Edward Condon.
Samenvatting
Het Franck-Condon-principe heeft een brede semiklassieke basis in het oorspronkelijke werk van James Franck uit 1927. Elektronenovergangen zijn in essentie momentaan vergeleken met de beweging van atoomkernen. Dus als tijdens de elektronenovergang ook een overgang naar een ander trillingsniveau plaatsvindt, moet de nieuwe trillingstoestand momentaan compatibel zijn met de positie en impulsmomenten van de atoomkernen in het oude elektronenniveau. In het semiklassieke beeld van trilling (of oscillatie) wordt aan deze voorwaarde voldaan in de omkeerpunten van de beweging: daar is het impulsmoment nul.
| Vanuit klassiek gezichtspunt is het Franck–Condon-principe de benadering dat een elektron-overgang het meest waarschijnlijk optreedt zonder verandering van de positie van atoomkernen van het betrokken molecuul of zijn omgeving. Het molecuul verkeert vervolgens in een Franck–Condontoestand, en de betrokken overgang wordt een verticale overgang genoemd. Kwantummechanisch geformuleerd: de intensiteit van de vibratie-overgang is evenredig met het kwadraat van de overlap tussen de golffuncties voor trilling die betrokken zijn bij de overgang.
|