Epoxy

Epoxy (ook wel polyepoxide) is een epoxide-polymeer opgebouwd uit 2 koolstofatomen (C) en 1 zuurstofatoom (O) in een ringvormige structuur.
Eigenschappen
Epoxy is een thermohardende kunststof. Tijdens productie is epoxy dun-vloeibaar en leent zich voor het impregneren van vezelmateriaal. Na uitharding noemt men de combinatie met glasvezel of andere vezels composiet. Composieten zijn licht en sterk, weer- en waterbestendig en worden onder andere toegepast in boten. Daarnaast wordt epoxy gebruikt als basis voor producten. Een paar voorbeelden daarvan zijn epoxylijm/epoxyhars, verf, vloeren en printplaten.
Epoxy heeft een druk- en treksterkte die twee keer groter is dan die van beton. Door zijn vloeistofdichtheid kan het worden toegepast in vele bewerkingen, waaronder als vloertoepassing. Zowel in de industrie als in de esthetische markt vindt dit materiaal zijn weg. Nadeel is wel dat epoxy onder UV-licht verkleurt. Om deze reden wordt er vaak gebruik gemaakt van een UV-blocker, dit vermindert vergeling.
Lijm/hars
Epoxyhars of Epoxylijm is de bekendste toepassing van epoxy.
Epoxyharsen vormen een groep polymeren met een belangrijke toepassing in coatings. Het is een tweecomponentenlijm en wordt voor vele toepassingen gebruikt, zowel industrieel, huishoudelijk als in de vliegtuigmodelbouw. Hij kan aangebracht worden als afdeklaag (coating), maar ook in combinatie met glasvezels. Epoxylijm wordt ook veel toegepast als reparatielijm, waarbij dan een vaste stof als vulstof wordt gebruikt ( “vloeibaar staal” of “vloeibaar hout”).
De lijm is in 1939 ontwikkeld door IG Farben in Duitsland.
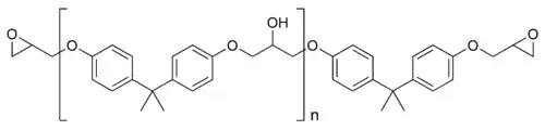
Een van de oudste bekende epoxyharsen (Zwitserse octrooiaanvraag uit 1943[1]) is het reactieproduct van bisfenol A met epichloorhydrine.Blauwe epoxyhars wordt gebruikt in de petrologie om slijpplaatjes mee te impregneren. Op die manier kan de porositeit van gesteente worden bepaald; wat blauw oplicht in een slijpplaatje is poriënruimte. De polymerisatiegraad, n, ligt tussen 0 en 25. Door uitharding ("curing") verkrijgt men hieruit een thermohardend polymeer. Deze uitharding of vernetting gebeurt door het polymeer te mengen met een vernetter ("curing agent") en het mengsel gedurende enige tijd (minuten tot uren) te verwarmen rond de 100 °C. De juiste temperatuur en duur hangt af van de gebruikte vernetter (amines, zuuranhydriden, fenolen zijn hiervoor o.a. gebruikt). Enkele vernetters zijn tri-ethyleentetramine, benzeen-1,3-dimethanamine en isophorondiamine. Ze worden opgelost in benzylalcohol.
Vloer
Epoxyvloeren zijn populair geworden voor industriële toepassingen door de slijtvastheid en vloeistofdichtheid. Epoxyvloeren worden sinds 2013 - en mogelijk nog eerder - voor vele toepassingen gebruikt, met name in bedrijfsruimtes, parkeergarages, fabrieken of winkels. Het uiterlijk van een epoxyvloer wordt ervaren als modern of industrieel. Epoxyvloeren zijn te krijgen in alle kleuren. In woningen worden epoxyvloeren sinds 2019 niet vaak meer toegepast, omdat een polyurethaan vloer comfortabeler is. Epoxy voelt koud aan, is gevoelig voor krassen en kan gaan scheuren als de ondergrond niet stabiel is.
Een nadeel van epoxyvloeren zijn de gezondheidsrisico's voor de verwerkers en gebruikers van het gebouw. Tijdens het aanbrengen en uitharden moet voldoende geventileerd worden en Arboregels nageleefd worden. De ruimten waarin de lucht van de epoxyvloer zich verspreidt, kunnen op dat moment niet gebruikt worden.
Risico's
Het gebruik van epoxy is niet zonder gezondheidsrisico. Zeker een op de 5 verwerkers ontwikkelt een allergie als de epoxy nog niet volledig is uitgehard; tijdens de verwerking wordt daarom gebruikgemaakt van beschermende handschoenen om huidcontact te voorkomen. Bekende allergische reacties zijn eczeem, roodheid en zwellingen. Daarnaast zijn de verharders bijtend en kunnen brandwonden veroorzaken. De dampen die vrijkomen tijdens de verwerking, kunnen schadelijk zijn voor de luchtwegen en ogen; hierdoor kunnen luchtwegallergie, ademhalingsproblemen of astma ontstaan. Voor sommige epoxyharsen wordt het dan ook aanbevolen een dampmasker te dragen tijdens de verwerking. Oplosmiddelen in epoxy kunnen blijvende schade toebrengen aan het zenuwstelsel, lever, nieren en hersenen. Veel nieuwere epoxysoorten bevatten geen oplosmiddelen meer.
- A. Rudin, The elements of Polymer Science and Engineering, Academic Press, ISBN 0-12-601685-2
- ↑ Cf. U.S. Patent 2444333, "Process for the manufacture of thermosetting synthetic resins by the polymerization of alkylene oxide derivatives" van 29 juni 1948 aan Pierre Castan voor De Trey Frères, Zurich.