Dibenzylideensorbitol
| Dibenzylideensorbitol | ||||
|---|---|---|---|---|
| Structuurformule en molecuulmodel | ||||
| ||||
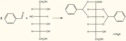
Fischerprojectie van (1,3:2,4)dibenzylideensorbitol
| ||||
| Algemeen | ||||
| Molecuulformule | C20H22O6 | |||
| Andere namen | bis-O-(benzylideen)-D-glucitol | |||
| Molmassa | 358,391 g/mol | |||
| SMILES | OC(C(C(O)COCc1ccccc1)O)C(O)COCc1ccccc1
| |||
| InChI | 1S/C20H22O6/c21-11-15(22)17-18-16(24-20(25-17)14-9-5-2-6-10-14)12-23-19(26-18)13-7-3-1-4-8-13/h1-10,15-22H,11-12H2
| |||
| CAS-nummer | 32647-67-9 | |||
| EG-nummer | 251-136-4 | |||
| Wikidata | Q2484016 | |||
| Beschrijving | wit poeder | |||
| Fysische eigenschappen | ||||
| Aggregatietoestand | vast | |||
| Kleur | wit | |||
| Tenzij anders vermeld zijn standaardomstandigheden gebruikt (298,15 K of 25 °C, 1 bar). | ||||
| ||||
Dibenzylideensorbitol (DBS) is een organische verbinding, die ontstaat door de reactie van sorbitol met benzaldehyde. Het is een di-acetaal.
Synthese
De bereiding van DBS gebeurt door de reactie van 1 mol sorbitol met 2 mol benzaldehyde in water of een organisch oplosmiddel zoals cyclohexaan en met een zure katalysator, bijvoorbeeld zwavelzuur, bij verhoogde temperatuur[1]. Nevenproducten zijn mono- en tribenzylideensorbitol.
De reactievergelijking, in Fischerprojectie, is:
Deze vergelijking toont de vorming van (1,3:2,4)dibenzylideensorbitol. Andere isomeren kunnen ook gevormd worden, net als de nevenproducten mono- en tribenzylideensorbitol.
Toepassingen
Dibenzylideensorbitol wordt gebruikt als gelvormer. In vele niet-polaire organische vloeistoffen, waaronder ook polymeren zoals polyethyleenglycol, vormen de moleculen van DBS reeds bij lage concentraties microscopische driedimensionale netwerken, die samengehouden worden door waterstofbruggen tussen de moleculen van DBS onderling. Daardoor wordt de vloeistof herleid tot een zachte of harde gel. DBS, dat niet-toxisch is, wordt o.m. gebruikt in deodorant-sticks waarin propyleenglycol een typisch oplosmiddel is[2]. Ook van vloeibare siliconen kan DBS een gel maken[3].
De stof wordt ook gebruikt als een additief voor polyolefinen, zoals polypropyleen. Een kleine hoeveelheid (0,1 tot 0,7%) bijgemengd met deze polymeren verhoogt de transparantie en vermindert de krimp bij het spuitgieten. DBS fungeert als nucleatiekern en verbetert de kristallisatie van polypropyleen zodat de transparantie verhoogt[4].
- ↑ Voorbeeld: U.S. Patent 3721682, "manufacture of benzylidene sorbitols" van 20 maart 1973 aan New Japan Chemical Company Ltd. Gearchiveerd op 22 juni 2023.
- ↑ Voorbeeld: US Patent 5490979, "Clear antiperspirant stick gelled with dibenzylidene sorbitol and containing a guanidine compound as gel stabilizer, and process of making same" van 13 februari 1996 aan The Mennen Company
- ↑ Janet M. Smith en Dimitris E. Katsoulis, "Gelation of silicone fluids using 1,3:2,4-dibenzylidene sorbitol". J. Mater. Chem., 1995, 5, 1899-1903. DOI:10.1039/JM9950501899
- ↑ U.S. Patent 4016118, "Polyolefin plastic compositions" van 5 april 1977 aan E.C. Chemical Industries & Co., Ltd. en C. Itoh & Co., Ltd. Gearchiveerd op 22 juni 2023.
