Di-tert-butyldicarbonaat
| Di-tert-butyldicarbonaat | ||||
|---|---|---|---|---|
| Structuurformule en molecuulmodel | ||||
| ||||
Structuurformule van di-tert-butyldicarbonaat
| ||||
| ||||
Molecuulmodel van di-tert-butyldicarbonaat
| ||||
| Algemeen | ||||
| Molecuulformule | C10H18O5 | |||
| IUPAC-naam | Di-tert-butyldicarbonaat | |||
| Andere namen | di-tert-butylpyrocarbonaat, Boc-anhydride, Boc2O | |||
| Molmassa | 218,25 g/mol g/mol | |||
| SMILES | O=C(OC(=O)OC(C)(C)C)OC(C)(C)C
| |||
| InChI | 1/C10H18O5/c1-9(2,3)14-7(11)13-8(12)15-10(4,5)6/h1-6H3
| |||
| CAS-nummer | 24424-99-5 | |||
| PubChem | 90495 | |||
| Wikidata | Q175718 | |||
| Waarschuwingen en veiligheidsmaatregelen | ||||
| ||||
| H-zinnen | H226 - H315 - H319 - H330 - H335 | |||
| EUH-zinnen | geen | |||
| P-zinnen | P260 - P284 - P305+P351+P338 - P310 | |||
| Fysische eigenschappen | ||||
| Aggregatietoestand | vast | |||
| Kleur | kleurloos | |||
| Dichtheid | 1,02 g/cm³ | |||
| Smeltpunt | 22–24 °C | |||
| Kookpunt | 56–57 (0.5 mmHg) °C | |||
| Goed oplosbaar in | organische oplosmiddelen | |||
| Onoplosbaar in | water | |||
| Geometrie en kristalstructuur | ||||
| Dipoolmoment | 0 D | |||
| Tenzij anders vermeld zijn standaardomstandigheden gebruikt (298,15 K of 25 °C, 1 bar). | ||||
| ||||
Di-tert-butyldicarbonaat is een reagens dat regelmatig gebruikt wordt bij organische syntheses.[1] Deze carbonaatester reageert met amines en geeft zo N-tert-butoxycarbonyl- of zogenaamde t-BOC-derivaten. Deze derivaten gedragen zich niet als amines, wat de mogelijkheid biedt om transformaties uit te voeren die in een ander geval met het amine zouden gereageerd hebben. Het t-BOC kan dan later verwijderd worden van het amine door zuren te gebruiken. Met andere woorden: t-BOC doet dienst als beschermende groep, bijvoorbeeld in de synthese van peptiden. Het reageert slechts zelden met basen en nucleofielen.
Synthese
Di-tert-butyldicarbonaat is goedkoop, dus het wordt meestal aangekocht. Industrieel wordt het bereid uit tert-butanol, koolstofdioxide en fosgeen, met DABCO als base:[2]

Synthese van di-tert-butyldicarbonaat.
Deze syntheseroute wordt momenteel commercieel gebruikt door Chinese en Indische producenten. Europese en Japanse bedrijven gebruiken de reactie van natrium-tert-butoxide met koolstofdioxide, gekatalyseerd door p-tolueensulfonzuur of methaansulfonzuur. Dit proces vereist echter een distillatie om een zeer zuiver product te verkrijgen.
Di-tert-butyldicarbonaat is ook beschikbaar als een 70% oplossing in tolueen of THF. Aangezien het een laag smeltpunt heeft, wordt het vaak in vloeibare toestand opgeslagen en behandeld.
Toepassingen
Bescherming van een aminegroep
De t-BOC-groep kan aan een amine geaddeerd worden in waterig midden. Er wordt dan gebruikgemaakt van di-tert-butyldicarbonaat in aanwezigheid van een base zoals natriumbicarbonaat. De bescherming van het amine kan ook doorgaan in een oplossing van acetonitril, met 4-dimethylaminopyridine (DMAP) als base.
Het verwijderen van de t-BOC-groep in aminozuren gebeurt met sterke zuren, zoals geconcentreerd trifluorazijnzuur of trifluorazijnzuur in dichloormethaan. Dit is ook mogelijk met zoutzuur in methanol[3][4][5] of met kaliumcarbonaat in methanol bij kamertemperatuur.[6]
Andere toepassingen
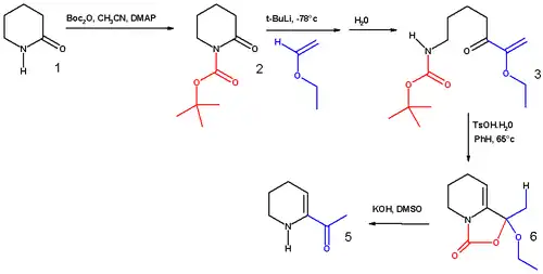
De synthese van 6-acetyl-1,2,3,4-tetrahydropyridine, een belangrijk aroma in brood, gevormd uit 2-piperidon, wordt uitgevoerd met behulp van di-tert-butyldicarbonaat.[7] De eerste stap in deze reactie is de vorming van het carbamaat, uit de reactie van het secundaire amine met di-tert-butyldicarbonaat in acetonitil, met DMAP als base:

Synthese van 6-acetyl-1,2,3,4-tetrahydropyridine
Externe link
- ↑ M. Wakselman (2004) - Di-t-butyl Dicarbonate, Encyclopedia of Reagents for Organic Synthesis (Ed: L. Paquette), J. Wiley & Sons, New York. DOI:10.1002/047084289
- ↑ (en) B.M. Pope, Y. Yamamoto & D.S. Tarbell (1988) - Di-tert-butyl dicarbonate, Organic Syntheses, 6, p. 418. Gearchiveerd op 1 november 2013.
- ↑ (en) R.M. Williams, P.J. Sinclair, D.E. DeMong, D. Chen & D. Zhai (2003) - Asymmetric synthesis of N-tert-butoxycarbonyl α-amino acids. Synthesis of (5S,6R)-4-tert-butoxycarbonyl-5,6-diphenylmorpholin-2-one, Organic Syntheses, 80, p. 18. Gearchiveerd op 23 september 2012.
- ↑ E. A. Englund, H. N. Gopi, D. H. Appella (2004). An Efficient Synthesis of a Probe for Protein Function: 2,3-Diaminopropionic Acid with Orthogonal Protecting Groups. Org. Lett. 6 (2): 213–215. PMID 14723531. DOI: 10.1021/ol0361599.
- ↑ D. M. Shendage, R. Fröhlich, G. Haufe (2004). Highly Efficient Stereoconservative Amidation and Deamidation of α-Amino Acids. Org. Lett. 6 (21): 3675–3678. PMID 15469321. DOI: 10.1021/ol048771l.
- ↑ Saul Jaime-Figueroa, Alejandro Zamilpa, Angel Guzmán, and David J. Morgans,Jr. (2001). N-3-Alkylation of uracil and derivatives via N-1-BOC protection. Synthetic Communication 31 (24): 3739–3746. DOI: 10.1081/SCC-100108223.
- ↑ Tyler J. Harrison and Gregory R. Dake (2005). An Expeditious, High-Yielding Construction of the Food Aroma Compounds 6-Acetyl-1,2,3,4-tetrahydropyridine and 2-Acetyl-1-pyrroline. J. Org. Chem. 70 (26): 10872–10874. PMID 16356012. DOI: 10.1021/jo051940a.



