Delay discounting
| Deel van een serie artikelen over Psychologie | ||
|---|---|---|
| ||
| Basisdisciplines | ||
|
functieleer | ||
| Andere disciplines | ||
|
humanistische psychologie | ||
| Gerelateerde onderwerpen | ||
| Portaal:Psychologie |
Delay discounting is het verschijnsel dat de subjectieve waarde van zaken daalt met de afstand in de tijd, met uitstel. Delay discounting, ook "temporal discounting" genoemd, is een Engels begrip uit de leerpsychologie. Er bestaat geen standaard Nederlandse term voor. Men zou het kunnen vertalen als ‘ontwaarding door afstand in de tijd’. Veruit het bekendste is de delay discounting van bekrachtigers of beloningen. Als men je vraagt om een inspanning te doen in ruil voor 10 euro die je onmiddellijk daarna krijgt, kan dat aantrekkelijk zijn. Als men je vraagt om dezelfde inspanning te doen in ruil voor 10 euro, maar dan pas na een jaar, dan is dat heel wat minder aantrekkelijk. Hoe verder in de tijd verwijderd, hoe lager de subjectieve waarde; dat is de kern van delay discounting.[1]
Situering
Delay discounting is een begrip uit de psychologie, meer bepaald uit de gedragsanalyse of het behaviorisme. Het is te situeren in theorieën en onderzoek rond operante conditionering, binnen de leerpsychologie dus. Omdat het te maken heeft met het maken van keuzes, wordt het ook geplaatst bij de zogenaamde gedragseconomie (‘behavioral economy’).
Onderzoek
Typische experimenten
Onderzoek rond delay discounting kent reeds een geschiedenis van tientallen jaren. Veel onderzoek gebeurt en gebeurde bij dieren.[2] In typisch onderzoek rond delay discounting kunnen duiven bijvoorbeeld kiezen uit volgende mogelijkheden:
| Gele knop | SS | |||||
| Keuze | ||||||
| Rode knop | LL |
Ze kunnen kiezen uit twee knoppen om op te pikken. Een knop (bijvoorbeeld de gele) leidt snel tot een kleine beloning (SS = smaller sooner); bijvoorbeeld na 1 seconde krijgen ze gedurende 2 seconden toegang tot voedsel. De andere knop (bijvoorbeeld de rode) leidt na een langere wachttijd tot een grotere beloning (LL = larger later); bijvoorbeeld na 4 seconden wachten krijgen ze 6 seconden toegang tot voedsel. Meestal kiezen dieren voor de onmiddellijke kleinere beloning in plaats van de uitgestelde grotere. De waarde van de beloning is gedaald door het uitstel.
Bij mensen worden gelijkaardige effecten gevonden. Bij kinderen is dat vooral bekend onder de term ‘delay of gratification’.[3] Maar ook bij volwassenen speelt delay discounting een rol. Soms laat men mensen analoge keuzes maken als de duiven uit hoger genoemd voorbeeld. Het meest typische onderzoek bij mensen gebeurt echter door ze herhaaldelijk op een computer hypothetische keuzes te laten maken in de stijl van: “Wat verkies je:
- €10 nu of €20 binnen 6 maanden
- €10 nu of €20 binnen 2 weken
- €10 nu of €100 binnen 1 jaar
- …”
Op deze manier kan men nagaan wat de subjectieve waarde van een bepaald bedrag is na een week, een maand, een jaar, … Een dergelijke vragenlijstmethode is anders dan het maken van reële keuzes. Doch onderzoek toont aan dat de resultaten vergelijkbaar zijn.[4][5]
Hyperbolische vervalcurve

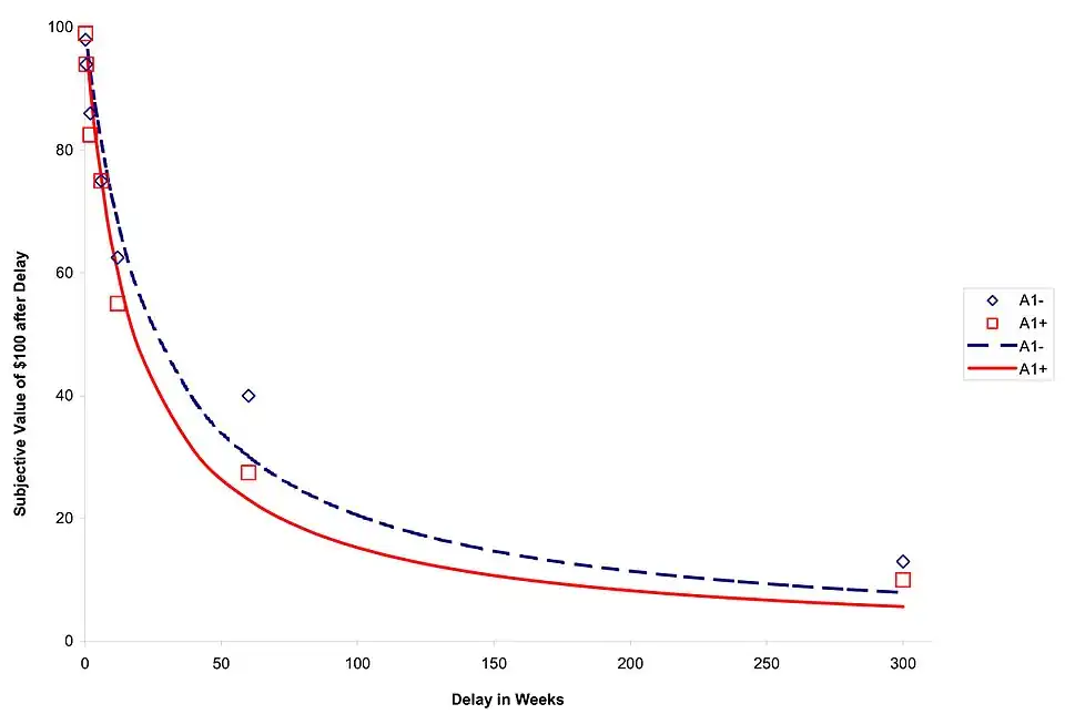
Door dieren en mensen herhaaldelijk keuzes te laten maken, kan men nagaan hoe de subjectieve waarde van een bekrachtiger evolueert. Bijna steeds wordt gevonden dat er snel een sterke ontwaarding plaatsvindt, die daarna langzaam nog verder daalt. Als men de curve uittekent, bekomt men meestal een hyperbolische vervalcurve. De grafiek toont bijvoorbeeld de vervalcurves van 100 dollar van 2 personen. Op het moment zelf is 100 dollar uiteraard 100 dollar waard (0-waarde op de x-as). Na 50 weken is 100 dollar nog minder dan 40 dollar waard. Dit betekent dat als men mag kiezen tussen 40 dollar nu of 100 dollar binnen 50 weken, dat men dan 40 dollar nu verkiest. Na 300 weken is 100 dollar minder dan 10 dollar waard. Men verkiest dus onmiddellijk 10 dollar boven 100 dollar binnen 300 weken.
Beloning, straf en inspanning
Veruit het meeste onderzoek gebeurde naar de ontwaarding van beloningen. Minder gekend, maar even belangrijk zijn de bevindingen in verband met de ontwaarding van straf en inspanning.
Delay discounting geldt evenzeer voor straf: een grotere, uitgestelde straf wordt verkozen boven een kleinere onmiddellijke.[7] Hetzelfde geldt voor inspanning. Inspanning is niet hetzelfde als straf, maar mensen en dieren verkiezen uitgestelde grotere inspanningen boven kleine onmiddellijke.[8] Hoe verder weg in de tijd, hoe minder erg het lijkt. Dit is het omgekeerde van beloningen: hoe verder weg in de tijd, hoe minder aantrekkelijk die lijken.
Algemene formulering van het principe van delay discounting
De vaststelling dat delay discounting niet alleen geldt voor beloningen, maar eveneens voor onprettige zaken, leidde Mazur tot volgende algemene formulering: “Wanneer het uitstel van een stimulus toeneemt, dan heeft die stimulus minder en minder effect op het keuzegedrag; ongeacht of het om een aangename of onaangename stimulus gaat”.[9]
Impulsiviteit en zelfbeheersing
Het verkiezen van een onmiddellijke kleinere beloning is een vorm van impulsiviteit. Impulsievere mensen hebben een steilere vervalcurve. Omgekeerd is het wachten op een latere grotere beloning een vorm van zelfbeheersing. Mensen maken vaak allerlei goede voornemens, maar als het zover is, komt er niks van. Zo kan men zich ’s avonds voornemen om ’s morgens vroeg op te staan en niet te blijven liggen zoals men anders wel doet. Als het dan ochtend is, blijft men toch weer liggen. Dit kan verklaard worden vanuit een omgekeerde hyperbolische vervalcurve.
Lange tijd vooraf (zowel nu, op tijdstip 0 – T0 - als later op tijdstip 1 - T1) is het opstaan (LL) aantrekkelijker omdat dat nadien tot positieve effecten leidt. De aantrekkelijkheid van het blijven liggen (SS) is voordien kleiner. Het gaat dan om een keuze tussen twee uitgestelde zaken. Als de ochtend is aangebroken (T2), staat men echter voor een andere keuze: onmiddellijk blijven liggen in dat warme knusse bed (onmiddellijke kleine beloning) of opstaan en pas na een tijdje (T3) daar de voordelen van ondervinden (uitgestelde grotere beloning). Op dat ogenblik veranderen velen hun keuze. Zelfbeheersing betekent de eerste langetermijnkeuze volhouden. Soms wordt dit ook wil of wilskracht genoemd. Belangrijke auteurs in dit verband zijn onder meer George Ainslie en Howard Rachlin.[10][11][12] Zij deden basisonderzoek, maar schreven ook over allerlei toepassingsgebieden.
Toepassingsgebieden
Er zijn heel wat toepassingsgebieden voor delay discounting. Enkele worden kort aangestipt.
- Verslaving
- Er zijn verbanden gevonden tussen delay discounting en allerlei vormen van verslaving: drugs,[13] alcohol,[14][15] roken,[16] gokken.[17]
- Gezondheid en zorg voor het milieu
- Sport doen en niet te veel eten vergt keuzes maken op langere termijn: men levert nu inspanning voor resultaten op lange termijn, of men laat genot op korte termijn achterwege voor betere gezondheid op lange termijn. Delay discounting kan maken dat mensen het hier moeilijk mee hebben.[18] Ook het percentage lichaamsvetten blijkt gerelateerd te zijn aan een sterkere delay discounting van prikkels in verband met eten.[19] Ook onze zorg voor het leefmilieu blijkt onderhevig te zijn aan het fenomeen van delay discounting.[20]
- Uitstelgedrag (procrastinatie)
- Door tijdig te beginnen kleine inspanningen te leveren voor studies, verslagen en dergelijke kan men veel problemen voorkomen. Toch zijn mensen geneigd dit uit te stellen en verkiezen ze dikwijls de grotere inspanning op het einde. Als het dan zover is, hebben ze spijt dat ze er niet vroeger aan begonnen zijn. Dit kan onder meer een combinatie zijn van delay discounting van inspanning en het kiezen voor aangename zaken op korte termijn.[21]
Rol van emoties
Stress en negatieve emoties kunnen maken dat men meer keuzes gaat maken voor een kleinere opbrengst op kortere termijn. Delay discounting wordt dus versterkt. Sommige positieve emoties hebben ook dit effect, bijvoorbeeld seksuele opwinding bij mannen.[22]
Deze rol van emoties kan evolutionair verklaard worden: emoties kunnen signalen geweest zijn die aangaven dat er snel gehandeld moest worden (zowel in positieve als negatieve zin). Dit doen vergrootte mogelijks de kans op overleving of voortplanting.
Externe link
- ↑ De Groot, F., & Dom, G. (2005). Impulsiviteit (delay discounting) en zelfcontrole: een gedragsanalytische verkenning. Gedragstherapie, 38, 107-130.
- ↑ Green, L., Myerson, J. & Calvert, A. L. (2010). Pigeons’ discounting of probabilistic and delayed reinforcers. Journal of the Experimental Analysis of Behavior, 94, 113-123.
- ↑ Mischel, W., Shoda, Y., & Rodriguez, M.L. (1989). Delay of gratification in children. Science, 244, 933-938.
- ↑ Johnson, M. W., & Bickel, W. K. (2002). Within-subject comparison of real and hypothetical money rewards in delay discounting. Journal of the Experimental Analysis of Behavior, 77, 129-146.
- ↑ Navarick, D.J. (2004). Discounting of delayed reinforcers: measurement by questionnaires versus operant choice procedures. The Psychological Record, 54, 505-522.
- ↑ Eisenberg, D.T.A., MacKillop, J., e.a. (2007). Examining impulsivity as an endophenotype using a behavioral approach: a DRD2 TaqI A and DRD4 48-bp VNTR association study. Behavioral and Brain Functions, 3:2.
- ↑ Deluty, M. Z. (1978). Self-control and impulsiveness involving aversive events. Journal of Experimental Psychology: Animal Behavior Processes, 4, 250-266.
- ↑ Neef, N. A., & Lutz, M. N. (2001). A brief computer-based assessment of reinforcer dimensions affecting choice. Journal of Applied Behavior Analysis, 34, 57-60.
- ↑ Mazur, J. E. (1998). Procrastination by pigeons with fixed-interval response requirements. Journal of the Experimental Analysis of Behavior, 69, 185-197: p. 195
- ↑ Ainslie, G. (2001). Breakdown of will. New York: Cambridge University Press.
- ↑ Ainslie, G., & Monterosso, J. (2003). Will as intertemporal bargaining: implications for rationality. University of Pennsylvania Law Review, 151, 825-862.
- ↑ Rachlin, H. (2000). The science of self-control. Cambridge: Harvard university Press.
- ↑ Kirby, K .N., & Petry, N. M. (2004). Heroin and cocaine abusers have higher discount rates for dalayed rewards than alcoholics or non-drug-using controls. Addiction, 99, 461-471.
- ↑ Dom G, D'Haene P, Hulstijn W, Sabbe B. (2006). Delay discounting and early onset alcoholism: reflections on the comments by Bickel and Yi (2006) and Petry (2006). Addiction, 101, 293-294.
- ↑ Petry, N. M. (2001). Delay discounting of money and alcohol in actively using alcoholics, currently abstinent alcoholics, and controls. Psychopharmacology, 154, 243-250.
- ↑ Reynolds, B., Richards, J.B., Horn, K., & Karraker, K. (2004). Delay discounting and probability discounting as related to cigarette smoking status in adults. Behavioural Processes, 65, 35-42.
- ↑ Dixon, M. R., Marley, J., & Jacobs, E. A. (2003). Delay discounting by pathological gamblers. Journal of Applied Behavior Analysis, 36, 449-458.
- ↑ Feldman, S.R., Chen, G.J., e.a. (2002). Effects of systematic asymmetric discounting on physician-patient interactions: a theoretical framework to explain poor compliance with lifestyle counselling. BMC Medical Informatics and Decision Making, 2:8.
- ↑ Rasmussen, E.B., Lawyer, S.R., & Reilly, W. (2010). Percent body fat is related to delay and probability discounting for food in humans. Behavioural Processes, 83, 23-30.
- ↑ Hardisty, D.J., & Weber, E. U. (2009). Discounting future green: money versus the environment. Journal of Experimental Psychology: General, 138, 329-340.
- ↑ Ainslie, G. (2010). Procrastination, the basic impulse. In C. Andreou and M. D. White (Eds.), The Thief of Time: Philosophical Essays on Procrastination (pp. 11-27). New York, Oxford.
- ↑ Wilson, M., & Daly, M. (2003). Do pretty women inspire men to discount the future? Proceedings of the Royal Society of London B (Supplement).
