Baeyer-Emmerling-indoolsynthese
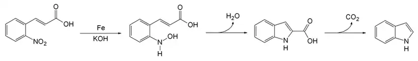
De Baeyer-Emmerling-indoolsynthese is een organische reactie waarbij o-nitrokaneelzuur met ijzerpoeder in sterk basisch milieu wordt omgezet tot indool. De methode werkt ook met gesubstitueerde derivaten.

De reactie werd in 1869 ontdekt en beschreven door Adolf von Baeyer en A. Emmerling.
Reactiemechanisme
In de eerste stap wordt de nitrogroep gereduceerd door ijzer tot een hydroxylamine, dat intramoleculair cyclisereert. Hierbij wordt water afgesplitst. Het ontstane carbonzuur decarboxyleert vervolgens tot indool:
