Acetanilide
| Acetanilide | ||||
|---|---|---|---|---|
| Chemische structuur | ||||
| ||||
| ||||
| Farmaceutische gegevens | ||||
| Metabolisatie | 90 tot 95% lever | |||
| Uitscheiding | renaal | |||
| Databanken | ||||
| CAS-nummer | 103-84-4 | |||
| PubChem | 904 | |||
| Chemische gegevens | ||||
| Molecuulformule | C8H9NO | |||
| IUPAC-naam | N-phenylacetamide | |||
| Molmassa | 135,17 g/mol | |||
| Smeltpunt | 111-115°C | |||
| Kookpunt | 304°C | |||
| Oplosbaarheid | 1,4 g/L | |||
| ||||
Acetanilide is een witte kristallijne organische stof. In het menselijk lichaam kan deze stof worden omgezet in acetaminofen (paracetamol), waardoor het vroeger werd gebruikt als pijnstiller. Later werd ontdekt dat acetanilide stof toxische effecten heeft in het lichaam. Het is een belangrijke chemische bouwsteen voor andere medicijnen zoals de sulfa's.
Geschiedenis
Acetanilide werd in eerste instantie geïntroduceerd in 1886 als geneesmiddel (onder de merknaam antifebrine) dat koorts doet afnemen.[1] Niet veel later werd ontdekt dat deze stof pijn verzachtend werkt, en daarom werd voorgeschreven ter bestrijding van bijvoorbeeld hoofdpijn en menstruatiepijn. Het werd hierdoor vaak ter vervanging van aspirine ingenomen.
In 1948 kwamen Julius Axelrod en Bernard Brodie tot de ontdekking dat acetanilide een toxische stof is voor de mens, door methemoglobine-vorming. Acetanilide kan in het lichaam worden omgezet in paracetamol en in aniline. Paracetamol zorgt voor de afname van pijn en koorts, terwijl het in geringe hoeveelheid gevormde omzettingsproduct aniline zeer toxisch bleek te zijn. Dit is de reden waarom tegenwoordig enkel zuiver Paracetamol verkrijgbaar is als pijnstiller, zodat bij normaal gebruik dit toxische effect niet zal optreden.[2]
Structuur en reactiviteit
Acetanilide is een organische stof bestaande uit een benzeenring met een acetamide-groep. De IUPAC naam van acetanilide is N-fenylacetamide. Het is een geconjugeerd molecuul. Een benzeenring is een aromaat, er zijn dus gemeenschappelijke pi elektronen die rond circuleren. Dit zorgt voor stabiliteit waardoor het vormen van bindingen moeilijk is. De dubbele bindingen in een benzeenring geven wel de mogelijkheid om in het menselijk lichaam te worden gemetaboliseerd tot een epoxide waardoor ze kunnen hydroxyleren.
Beschikbare vorm
Acetanilide kan slechts in één vorm voorkomen. Er zit slechts één vertakking aan de benzeenring waardoor je geen verschil in ortho-, meta- en paraoriëntatie kan krijgen.
Synthese
Acetanilide wordt gesynthetiseerd uit aniline en azijnzuuranhydride. Deze reactie vindt plaats bij kamertemperatuur.[3]
Metabolisme
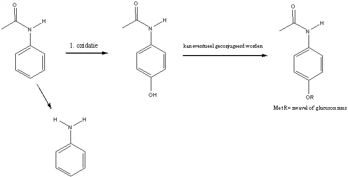
In het menselijk lichaam kan acetanilide worden gemetaboliseerd naar zowel acetaminofen (paracetamol) als in aniline. Hierbij wordt maar een klein deel omgezet in het zeer toxische aniline.[2]
Paracetamol wordt op zijn beurt weer voor een klein deel omgezet in N-acetyl-p-benzochinonimine. Deze stof bindt covalent aan eiwitten in de lever, wat leidt tot necrose van de levercellen (hepatocyten).[4] De hoeveelheid acetanilide die uiteindelijk wordt omgezet in N-acetyl-p-benzochinonimine is maar heel klein en dit toxische effect treedt dus pas op bij overdosis.
De stof die vooral invloed heeft op de toxiciteit van acetanilide is aniline. Deze stof veroorzaakt de ziekte methemoglobinemie door hemoglobine om te zetten naar methemoglobine. Aniline heeft een LD50 van 440 mg/kg in laboratorium ratten en de aniline veroorzaakt behalve methemoglobinemie de volgende toxische effecten in mensen: ernstige hoofdpijn, lichaamstrillingen, hartkloppingen, coma en uiteindelijk dood. Het is niet duidelijk of aniline carcinogeen is, de IARC heeft aniline geclassificeerd als een groep 3 carcinogeen, wat betekent dat er niet voldoende bewijs is voor de carcinogeniteit van aniline.[5]
Toxicologie en veiligheid
Acetanilide kan oog- en huidirritatie veroorzaken. Dit kan leiden tot overgevoeligheid van de huid en eventuele allergische reacties bij herhaaldelijke blootstelling. Bij inslikken kan het leiden tot schade aan het spijsverteringskanaal, stuiptrekkingen, methemoglobinemie, en eventueel de dood. Inademing kan leiden tot irritaties van de luchtwegen, methemoglobinemie, stuiptrekkingen, tachycardie, dyspnea en de dood. Ook kan deze stof leiden tot leverschade.
De LD50 in ratten bedraagt 800 mg/kg.[6]
Methemoglobinemie
Methemoglobinemie ontstaat doordat methemoglobine door het lichaam niet meer of in mindere mate omgezet kan worden naar hemoglobine. Hierdoor is de structuur van hemoglobine veranderd wat ervoor zorgt dat mensen blauw kleuren. Doordat methemoglobine Fe3+ bevat in plaats van Fe2+, zal het geen zuurstof kunnen transporteren, wat ook leidt tot kortademigheid en er kan lichtheid in het hoofd waargenomen worden. Het zuurstoftekort kan uiteindelijk ook leiden tot aanvallen, coma en in het ergste geval tot de dood.[7]
Externe link
- (en) Gegevens van acetanilide in de GESTIS-stoffendatabank van het IFA
- ↑ Chan A, Hepp P. Das Antifebrin, ein neues Fiebermittel. Centralbl Klein Med 1886;7:561–564.
- ↑ a b B.B. Brodie, J. Axelrod, The fate of acetanilide in man, 1948
- ↑ Kenneth J. Balkus Jr.*, Alla K. Khanmamedova and Ryan Woo: Fries rearrangement of acetanilide over zeolite catalysts, 1997, Department of Chemistry, University of Texas at Dallas, Richardson, TX, 75083-0688, USA
- ↑ Timbrell, J.: Introduction tot toxicology, 3rd edition, New York, 2009
- ↑ Dikshith T.S.S., Diwan P.V., "Industrial guide to chemical and drug safety", Published by Wiley-IEEE, 2003, pagina 221.
- ↑ "Acetanilide", Mallinckrodt Chemicals. Geraadpleegd op 26 maart 2009.
- ↑ Lee D.C., Ferguson K.L., “Contributor Information and disclosures: Methemoglobinemia”, North Shore University Hospital, augustus 2007


